Potassium Humate and Plant Growth-Promoting Microbes Jointly Mitigate Water Deficit Stress in Soybean Cultivated in Salt-Affected Soil
Abstract
1. Introduction
2. Results
2.1. Physiological Responses of Soybean to Plant Growth Stimulators under Water Deficit Stress
2.1.1. Ion Accumulation
2.1.2. Efficiency of Soybean Photosynthetic Machinery under Different Water Regimes
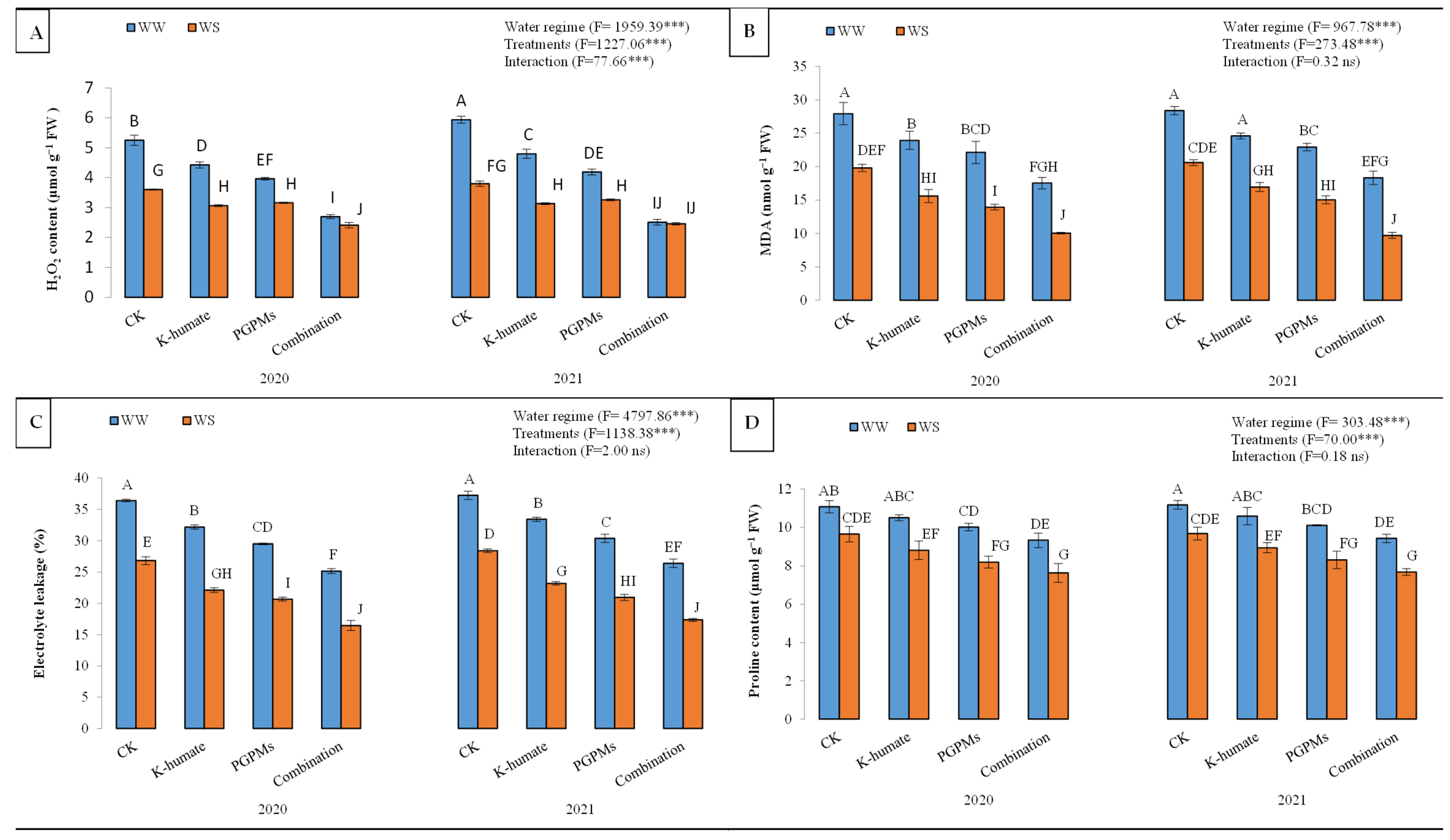
2.1.3. Generation of Oxidants under Water Deficit Stress
2.1.4. Activities of Antioxidant Enzymes in Soybean under Different Water Regimes
2.2. Alterations in Soybean Biometrics and Biochemical Composition under Water Deficit Stress
2.2.1. Plant Biometrics
2.2.2. Biochemical Components in Soybean Leaves Grown under Water Deficit Stress
2.3. Soybean Seed Yield and Nutritional Quality under Water Deficit Stress
2.3.1. Seed Yield-Related Traits
2.3.2. Nutritional Quality of Soybean Seeds under Water Stress Conditions
2.4. Correlation Matrix between Soybean Parameters
3. Discussion
4. Materials and Methods
5. Conclusions
Supplementary Materials
Author Contributions
Funding
Data Availability Statement
Acknowledgments
Conflicts of Interest
References
- Osman, H.S.; Gowayed, S.M.; Elbagory, M.; Omara, A.E.-D.; El-Monem, A.M.A.; Abd El-Razek, U.A.; Hafez, E.M. Interactive Impacts of Beneficial Microbes and Si-Zn Nanocomposite on Growth and Productivity of Soybean Subjected to Water Deficit under Salt-Affected Soil Conditions. Plants 2021, 10, 1396. [Google Scholar]
- Hafez, E.; Farig, M. Efficacy of salicylic acid as a cofactor for ameliorating effects of water stress and enhancing wheat yield and water use efficiency in saline soil. Int. J. Plant Prod. 2019, 13, 163–176. [Google Scholar] [CrossRef]
- Alharbi, K.; Rashwan, E.; Mohamed, H.H.; Awadalla, A.; Omara, A.E.-D.; Hafez, E.M.; Alshaal, T. Application of Silica Nanoparticles in Combination with Two Bacterial Strains Improves the Growth, Antioxidant Capacity and Production of Barley Irrigated with Saline Water in Salt-Affected Soil. Plants 2022, 11, 2026. [Google Scholar] [CrossRef]
- Kheir, A.M.S.; Abouelsoud, H.M.; Hafez, E.M.; Ali, O.A.M. Integrated effect of nano-Zn, nano-Si, and drainage using crop straw–filled ditches on saline sodic soil properties and rice productivity. Arab. J. Geosci. 2019, 12, 471. [Google Scholar] [CrossRef]
- Omara, A.E.D.; Hafez, E.M.; Osman, H.S.; Rashwan, E.; El-Said, M.A.; Alharbi, K.; Abd El-Moneim, D.; Gowayed, S.M. Collaborative Impact of Compost and Beneficial Rhizobacteria on Soil Properties, Physiological Attributes, and Productivity of Wheat Subjected to Deficit Irrigation in Salt Affected Soil. Plants 2022, 11, 877. [Google Scholar] [CrossRef]
- El-Shamy, M.A.; Alshaal, T.; Mohamed, H.H.; Rady, A.M.; Hafez, E.M.; Alsohim, A.S.; Abd El-Moneim, D. Quinoa Response to Application of Phosphogypsum and Plant growth promoting microbesunder Water Stress Associated with Salt-Affected Soil. Plants 2022, 11, 872. [Google Scholar] [CrossRef]
- Hafez, E.M.; Osman, H.S.; Gowayed, S.M.; Okasha, S.A.; Omara, A.E.; Sami, R.; El-Monem, A.M.A.; El-Razek, U.A.A. Minimizing the adversely impacts of water deficit and soil salinity on maize growth and productivity in response to the application of plant growth promoting microbesand silica nanoparticles. Agronomy 2021, 11, 676. [Google Scholar]
- Seleiman, M.F.; Hafez, E.M. Optimizing Inputs Management for Sustainable Agricultural Development. In Mitigating Environmental Stresses for Agricultural Sustainability in Egypt; Awaad, H., Abu-hashim, M., Negm, A., Eds.; Springer: Cham, Switzerland, 2021. [Google Scholar] [CrossRef]
- El-Saadony, F.M.A.; Mazrou, Y.S.A.; Khalaf, A.E.A.; El-Sherif, A.M.A.; Osman, H.S.; Hafez, E.M.; Eid, M.A.M. Utilization Efficiency of Growth Regulators in Wheat under Drought Stress and Sandy Soil Conditions. Agronomy 2021, 11, 1760. [Google Scholar]
- Abdelrasheed, K.G.; Mazrou, Y.; Omara, A.E.-D.; Osman, H.S.; Nehela, Y.; Hafez, E.M.; Rady, A.M.S.; El-Moneim, D.A.; Alowaiesh, B.F.; Gowayed, S.M. Soil Amendment Using Biochar and Application of K-Humate Enhance the Growth, Productivity, and Nutritional Value of Onion (Allium cepa L.) under Deficit Irrigation Conditions. Plants 2021, 10, 2598. [Google Scholar] [CrossRef] [PubMed]
- Osman, H.S.; Rady, A.M.S.; Awadalla, A.; Omara, A.E.-D.; Hafez, E.M. Improving the antioxidants system, growth, and sugar beet quality subjected to long-term osmotic stress by phosphate solubilizing bacteria and compost tea. Inter. J. Plant Prod. 2022, 16, 119–135. [Google Scholar] [CrossRef]
- Moretti, L.G.; Crusciol, C.A.; Kuramae, E.E.; Bossolani, J.W.; Moreira, A.; Costa, N.R.; Alves, C.J.; Pascoaloto, I.M.; Rondina, A.B.L.; Hungria, M.; et al. Effects of growth-promoting bacteria on soybean root activity, plant development and yield. Agron. J. 2020, 112, 418–428. [Google Scholar] [CrossRef]
- Umezawa, T.; Shimuzu, K.; Kato, M.; Ueda, T. Enhancement of salt tolerance in soybean with NaCl pretreatment. Physiol. Plant. 2000, 110, 59–63. [Google Scholar] [CrossRef]
- Phang, T.H.; Shao, G.H.; Lam, H.M. Salt tolerance in soybean. J. Integr. Plant Biol. 2008, 50, 1196–1212. [Google Scholar]
- Singleton, P.W.; Bohlool, B.B. Effect of salinity on nodule formation by soybean. Plant Physiol. 1984, 74, 72–76. [Google Scholar]
- Hafez, E.M.; Gharib, H.S. Effect of foliar application of ascorbic acid on physiological and biochemical characteristics of wheat under water stress. Inter. J. Plant Prod. 2016, 10, 579–596. [Google Scholar]
- Nehela, Y.; Mazrou, Y.S.A.; Alshaal, T.; Rady, A.M.S.; El-Sherif, A.M.A.; Omara, A.E.-D.; Abd El-Monem, A.M.; Hafez, E.M. The Integrated Amendment of Sodic-Saline Soils Using Biochar and Plant growth promoting microbesEnhances Maize (Zea mays L.) Resilience to Water Salinity. Plants 2021, 10, 1960. [Google Scholar] [CrossRef] [PubMed]
- Abdel Megeed, T.M.; Gharib, H.S.; Hafez, E.M.; El-Sayed, A. Effect of some plant growth regulators and biostimulants on the productivity of Sakha108 rice plant (Oryza sativa L.) under different water stress conditions. Appl. Ecol. Environ. Res. 2021, 19, 2859–2878. [Google Scholar]
- Hafez, E.M.; El Hassan, W.H.A.; Gaafar, I.A.; Seleiman, M.F. Effect of Gypsum Application and Irrigation Intervals on Clay Saline-Sodic Soil Characterization, Rice Water Use Efficiency, Growth, and Yield. J. Agric. Sci. 2015, 7, 208. [Google Scholar] [CrossRef]
- Hafez, E.M.; Alsohim, A.S.; Farig, M.; Omara, A.-D.; Rashwan, E.; Kamara, M.M. Synergistic Effect of Biochar and Plant growth promoting microbes on Alleviation of Water Deficit in Rice Plants under Salt-Affected Soil. Agronomy 2019, 9, 847. [Google Scholar] [CrossRef]
- Kamara, M.M.; Rehan, M.; Mohamed, A.M.; El Mantawy, R.F.; Kheir, A.M.S.; Abd El-Moneim, D.; Safhi, F.A.; ALshamrani, S.M.; Hafez, E.M.; Behiry, S.I.; et al. Genetic Potential and Inheritance Patterns of Physiological, Agronomic and Quality Traits in Bread Wheat under Normal and Water Deficit Conditions. Plants 2022, 11, 952. [Google Scholar] [CrossRef]
- Isawa, T.; Sameshima, R.; Mitsui, H.; Minamisawa, K. IS1631 occurrence in Bradyrhizobium japonicum highly reiterated sequence-possessing strains with high copy numbers of repeated sequences RS_ and RSß. Appl. Environ. Microbiol. 1999, 65, 3493–3501. [Google Scholar] [CrossRef] [PubMed]
- Harman, G.E. Multi-functional fungal plant symbionts: New tools to enhance plant growth and productivity. New Phytol. 2011, 189, 647–649. [Google Scholar] [CrossRef] [PubMed]
- Hafez, E.M.; Omara, A.E.D.; Alhumaydhi, F.A.; El-Esawi, M.A. Minimizing hazard impacts of soil salinity and water stress on wheat plants by soil application of vermicompost and biochar. Physiol. Plant. 2021, 172, 587–602. [Google Scholar] [CrossRef]
- Abbasi, M.K.; Tahir, M.M.; Azam, W.; Abbas, Z.; Rahim, N. Soybean yield and chemical composition in response to phosphorus-potassium nutrition in Kashmir. Agron. J. 2012, 104, 1476–1484. [Google Scholar] [CrossRef]
- Nelson, K.A.; Motavalli, P.P.; Stevens, W.E.; Kendig, J.A.; Dunn, D.; Nathan, M. Foliar potassium fertilizer additives affect soybean response and weed control with glyphosate. Int. J. Agron. 2012, 2012, 461894. [Google Scholar]
- Okba, S.K.; Mazrou, Y.; Elmenofy, H.M.; Ezzat, A.; Salama, A.-M. New Insights of Potassium Sources Impacts as Foliar Application on ‘Canino’ Apricot Fruit Yield, Fruit Anatomy, Quality and Storability. Plants 2021, 10, 1163. [Google Scholar] [CrossRef] [PubMed]
- Aytaç, Z.; Gülbandılar, A.; Kürkçüoğlu, M. Humic Acid Improves Plant Yield, Antimicrobial Activity and Essential Oil Composition of Oregano (Origanum vulgare L. subsp. hirtum (Link.) Ietswaart). Agronomy 2022, 12, 2086. [Google Scholar] [CrossRef]
- Turan, M.; Ekinci, M.; Kul, R.; Kocaman, A.; Argin, S.; Zhirkova, A.M.; Perminova, I.V.; Yildirim, E. Foliar Applications of Humic Substances Together with Fe/Nano Fe to Increase the Iron Content and Growth Parameters of Spinach (Spinacia oleracea L.). Agronomy 2022, 12, 2044. [Google Scholar] [CrossRef]
- El-Hashash, E.F.; Abou El-Enin, M.M.; Abd El-Mageed, T.A.; Attia, M.A.E.-H.; El-Saadony, M.T.; El-Tarabily, K.A.; Shaaban, A. Bread Wheat Productivity in Response to Humic Acid Supply and Supplementary Irrigation Mode in Three Northwestern Coastal Sites of Egypt. Agronomy 2022, 12, 1499. [Google Scholar] [CrossRef]
- Wang, N.; Zhang, Q.; Han, W.; Bai, C.; Hou, B.; Liu, Y.; Wang, S. Chemical Characteristics of Dark-Brown Humic-Like Substances Formed from the Abiotic Condensation of Maillard Precursors with Different Glycine Concentrations. Agronomy 2022, 12, 2199. [Google Scholar] [CrossRef]
- Koushik, Ch.; Debarati, B.; Har, N.M.; Kuldeepsingh, K. External potassium (K+) application improves salinity tolerance by promoting Na+ exclusion, K+ accumulation and osmotic adjustment in contrasting peanut cultivars. Plant Physiol. Biochem. 2016, 103, 143–153. [Google Scholar] [CrossRef]
- Ma, Y.; Dias, M.C.; Freitas, H. Drought and Salinity Stress Responses and Microbe-Induced Tolerance in Plants. Front. Plant Sci. 2020, 11, 591911. [Google Scholar] [CrossRef] [PubMed]
- Bharti, N.; Barnawal, D.; Awasthi, A.; Yadav, A.; Kalra, A. Plant growth promoting microbes alleviate salinity induced negative effects on growth, oil content and physiological status in Mentha arvensis. Acta Physiol. Plant. 2014, 36, 45–60. [Google Scholar] [CrossRef]
- Dodd, I.C.; Perez-Alfocea, F. Microbial amelioration of crop salinity stress. J. Exp. Bot. 2012, 63, 3415–3428. [Google Scholar] [CrossRef] [PubMed]
- Abdel-Rahman, H.M.; Zaghloul, R.A.; Enas, A.; Hassan, H.R.A.; Salem, A.A. New Strains of Plant growth promoting microbesin Combinations with Humic Acid to Enhance Squash Growth under Saline Stress. Egypt. J. Soil. Sci. 2021, 61, 129–146. [Google Scholar]
- Ehsan, T.; Pichu, R.; Glenn, K. High concentrations of Na+ and Cl– ions in soil solution have simultaneous detrimental effects on growth of faba bean under salinity stress. J. Exp. Bot. 2010, 61, 4449–4459. [Google Scholar] [CrossRef]
- Misra, S.; Dixit, V.K.; Khan, M.H.; Kumar, M.S.; Dviwedi, G.; Yadav, S.; Lehri, A.; Chauhan, P.S. Exploitation of agro-climatic environment for selection of 1-aminocyclopropane-1-carboxylic acid (ACC) deaminase producing salt tolerant indigenous plant growth promoting microbes. Microbiol. Res. 2017, 205, 25–34. [Google Scholar] [CrossRef]
- Li, H.Q.; Jiang, X.W. Inoculation with plant growth-promoting bacteria (PGPB) improves salt tolerance of maize seedling. Russ. J. Plant Physiol. 2017, 64, 235–241. [Google Scholar]
- Ma, W.; Penrose, D.M.; Glick, B.R. Strategies used by rhizobia to lower plant ethylene levels and increase nodulation. Can. J. Microbiol. 2002, 48, 947–954. [Google Scholar]
- Rahi, A.A.; Anjum, M.A.; Iqbal Mirza, J.; Ahmad Ali, S.; Marfo, T.D.; Fahad, S.; Danish, S.; Datta, R. Yield Enhancement and Better Micronutrients Uptake in Tomato Fruit through Potassium Humate Combined with Micronutrients Mixture. Agriculture 2021, 11, 357. [Google Scholar] [CrossRef]
- Hasanuzzaman, M.; Parvin, K.; Anee, T.I.; Masud, A.A.C.; Nowroz, F. Salt Stress Responses and Tolerance in Soybean. In Plant Stress Physiology—Perspectives in Agriculture; Hasanuzzaman, M., Nahar, K., Eds.; IntechOpen: London, UK, 2022; Available online: https://www.intechopen.com/chapters/80766 (accessed on 21 September 2022).
- Araújo, S.S.; Beebe, S.; Crespi, M.; Delbreil, B.; González, E.M.; Gruber, V.; Lejeune-Henaut, I.; Link, W.; Monteros, M.J.; Prats, E.; et al. Abiotic stress responses in legumes: Strategies used to cope with environmental challenges. Crit. Rev. Plant Sci. 2015, 34, 237–280. [Google Scholar] [CrossRef]
- Pagano, M.C.; Miransari, M. The importance of soybean production worldwide. In Abiotic and Biotic Stresses in Soybean Production; Miransari, M., Ed.; Academic Press: San Diego, CA, USA, 2016; pp. 1–26. [Google Scholar]
- Han, H.S.; Lee, K.D. Physiological responses of soybean-inoculation of Bradyrhizobium japonicum with PGPMS in saline soil conditions. Res. J. Agric. Biol. Sci. 2005, 1, 216–221. [Google Scholar]
- Masciarelli, O.; Llanes, A.; Luna, V. A new PGPMS co-inoculated with Bradyrhizobium japonicum enhances soybean nodulation. Microbiol. Res. 2014, 169, 609–615. [Google Scholar] [CrossRef] [PubMed]
- Egamberdieva, D.; Wirth, S.; Jabborova, D.; Räsänen, L.A.; Liao, H. Coordination between Bradyrhizobium and Pseudomonas alleviates salt stress in soybean through altering root system architecture. J. Plant Interact. 2017, 12, 100–107. [Google Scholar] [CrossRef]
- El-Nahrawy, S.; Elbagory, M.; Omara, A.E.-D. Biocompatibility effect of Bradyrhizobium japonicum and Trichoderma strains on growth, nodulation and physiological traits of soybean (Glycine max l.) under water deficit conditions. J. Adv. Microbiol. 2020, 20, 52–66. [Google Scholar] [CrossRef]
- Kurutas, E.B. The importance of antioxidants which play the role in cellular response against oxidative/nitrosative stress: Current state. Nutr. J. 2016, 15, 71. [Google Scholar] [CrossRef]
- Gholami, H.; Samavat, S.; Ardebili, Z.O. The alleviating effects of humic substances on photosynthesis and yield of Plantago ovate in salinity conditions, International Research. J. Appl. Basic Sci. 2013, 4, 1683–1686. [Google Scholar]
- Ferreira, R.R.; Fornazier, R.F.; Vitória, A.P.; Lea, P.J.; Azevedo, R.A. Changes in antioxidant enzyme activities in soybean under cadmium stress. J. Plant Nutr. 2002, 25, 327–342. [Google Scholar] [CrossRef]
- Alam, M.Z.; Carpenter-Boggs, L.; Hoque, A.; Ahammed, G.J. Effect of soil amendments on antioxidant activity and photo-synthetic pigments in pea crops grown in arsenic contaminated soil. Heliyon 2020, 6, e05475. [Google Scholar] [CrossRef]
- Ahmad, R.; Hussain, S.; Anjum, M.A.; Khalid, M.F.; Saqib, M.; Zakir, I.; Hassan, A.; Fahad, S.; Ahmad, S. Oxidative stress and antioxidant defense mechanisms in plants under salt stress. In Plant Abiotic Stress Tolerance: Agronomic, Molecular and Biotechnological Approaches; Hasanuzzaman, M., Hakeem, K.R., Nahar, K., Alharby, H.F., Eds.; Springer International Publishing: Cham, Switzerland, 2019; pp. 191–205. [Google Scholar]
- Yan, J.M.; Smith, M.D.; Glick, B.R.; Liang, Y. Effects of ACC deaminase containing rhizobacteria on plant growth and expression of Toc GTPases in tomato (Solanum lycopersicum) under salt stress. Botany 2014, 92, 775–781. [Google Scholar] [CrossRef]
- Sokol, N.W.; Slessarev, E.; Marschmann, G.L.; Nicolas, A.; Blazewicz, S.J.; Brodie, E.L.; Firestone, M.K.; Foley, M.M.; Hestrin, R.; Hungate, B.A.; et al. Life and death in the soil microbiome: How ecological processes influence biogeochemistry. Nat. Rev. Microbiol. 2022, 20, 415–430. [Google Scholar] [CrossRef] [PubMed]
- Yaseen, R.; Aziz, O.; Saleem, M.H.; Riaz, M.; Zafar-ul-Hye, M.; Rehman, M.; Ali, S.; Rizwan, M.; Nasser Alyemeni, M.; El-Serehy, H.A.; et al. Ameliorating the drought stress for wheat growth through application of ACC-deaminase containing rhizobacteria along with biogas slurry. Sustainability 2020, 12, 6022. [Google Scholar] [CrossRef]
- Chapman, H.D.; Pratt, P.F. Methods of Analysis for Soils, Plants and Waters. Soil Sci. 1962, 93, 68. [Google Scholar] [CrossRef]
- Lichtenthaler, H.K. Chlorophylls and carotenoids: Pigments of photosynthetic biomembranes. In Methods in Enzymology; Academic Press: Cambridge, MA, USA, 1987; Volume 148, pp. 350–382. [Google Scholar]
- Velikova, V.; Yordanov, I.; Edreva, A. Oxidative stress and some antioxidant systems in acid rain-treated bean plants: Protective role of exogenous polyamines. Plant Sci. 2000, 151, 59–66. [Google Scholar] [CrossRef]
- Du, Z.; Bramlage, W.J. Modified thiobarbituric acid assay for measuring lipid oxidation in sugar-rich plant tissue extracts. J. Agric. Food Chem. 1992, 40, 1566–1570. [Google Scholar] [CrossRef]
- Aebi, H. Catalase in vitro. In Methods in Enzymology; Academic Press: Cambridge, MA, USA, 1984; pp. 121–126. [Google Scholar]
- Beauchamp, C.; Fridovich, I. Superoxide dismutase: Improved assays and an assay applicable to acrylamide gels. Anal. Biochem. 1971, 44, 276–287. [Google Scholar] [CrossRef] [PubMed]
- Vetter, J.L.; Steinberg, M.P.; Nelson, A.I. Enzyme assay, quantitative determination of peroxidase in sweet corn. J. Agric. Food Chem. 1958, 6, 39–41. [Google Scholar] [CrossRef]
- Weatherley, P.E. Studies in the water relations of the cotton plant. I. The field measurement of water deficits in leaves. New Phytol. 1950, 49, 81–97. [Google Scholar] [CrossRef]
- Bajji, M.; Kinet, J.-M.; Lutts, S. The use of the electrolyte leakage method for assessing cell membrane stability as a water stress tolerance test in durum wheat. Plant Growth Regul. 2002, 36, 61–70. [Google Scholar] [CrossRef]
- Bates, L.S.; Waldren, R.P.; Teare, I.D. Rapid determination of free proline for water-stress studies. Plant Soil 1973, 39, 205–207. [Google Scholar] [CrossRef]
- Misra, P.S.; Mertz, E.T.; Glover, D.V. Studies on corn proteins. VIII. Free amino acid content of opaque-2 double mutants. Cereal Chem. 1975, 52, 844–848. [Google Scholar]
- Bradford, M.M. A rapid and sensitive method for the quantitation of microgram quantities of protein utilizing the principle of protein-dye binding. Anal. Biochem. 1976, 72, 248–254. [Google Scholar] [CrossRef]
- Hendrix, D.L. Rapid extraction and analysis of nonstructural carbohydrates in plant tissues. Crop Sci. 1993, 33, 1306–1311. [Google Scholar] [CrossRef]
- A.O.A.C. Official Methods of Analysis of AOAC International, 18th ed.; Association of Official Analytical Chemists: Washington, DC, USA, 2005. [Google Scholar]
- Sadasivam, S.; Manickam, A. Biochemical Methods, 3rd ed.; New Age International Publishers: New Delhi, India, 2010. [Google Scholar]




| Root Length (cm) | Nodules Dry Mass (mg Plant−1) | Stomatal Conductance (mmol m−2 s−1) | RWC † (%) | |||
|---|---|---|---|---|---|---|
| Water regime | ||||||
| WS | 20.0 ± 0.11 b | 261 ± 2.50 b | 35.5 ± 0.47 b | 71.3 ± 0.18 b | ||
| WW | 26.1 ± 0.36 a | 309 ± 1.90 a | 42.2 ± 0.60 a | 79.5 ± 0.37 a | ||
| Treatments | ||||||
| Control | 19.0 ± 0.42 d | 257 ± 1.31 d | 34.6 ± 0.75 d | 70.3 ± 0.88 d | ||
| K-humate | 24.1 ± 0.21 b | 295 ± 1.01 b | 37.9 ± 0.19 c | 74.1 ± 0.49 c | ||
| PGPMs | 22.1 ± 0.33 c | 279 ± 2.74 c | 39.6 ± 0.46 b | 76.3 ± 0.52 b | ||
| Combination | 27.1 ± 0.16 a | 311 ± 3.00 a | 43.1 ± 0.21 a | 81.0 ± 0.38 a | ||
| Interaction | ||||||
| 2020 | WS | Control | 15.9 ± 0.10 g | 236 ± 3.52 g | 30.9 ± 0.23 h | 65.6 ± 0.35 g |
| K-humate | 20.4 ± 0.28 e | 268 ± 2.47 e | 33.9 ± 0.40 g | 69.4 ± 0.89 f | ||
| PGPMs | 18.4 ± 0.11 f | 253 ± 2.50 f | 35.7 ± 0.47 f | 71.4 ± 0.18 e | ||
| Combination | 22.5 ± 0.36 d | 285 ± 1.90 d | 39.4 ± 0.60 d | 75.8 ± 0.37 c | ||
| WW | Control | 21.0 ± 0.29 e | 275 ± 1.41 e | 37.1 ± 0.32 e | 73.9 ± 0.62 d | |
| K-humate | 26.5 ± 0.2 b | 318 ± 2.34 b | 40.9 ± 0.03 c | 77.4 ± 0.83 c | ||
| PGPMs | 24.4 ± 0.37 c | 305 ± 4.32 c | 42.7 ± 0.37 b | 79.9 ± 0.85 b | ||
| Combination | 30.5 ± 0.39 a | 331 ± 2.48 a | 45.6 ± 0.30 a | 85.2 ± 0.65 a | ||
| 2021 | WS | Control | 17.2 ± 0.42 g | 237 ± 1.31 g | 32.5 ± 0.75 h | 67.3 ± 0.88 g |
| K-humate | 21.8 ± 0.21 e | 269 ± 1.01 e | 34.9 ± 0.19 g | 70.9 ± 0.49 f | ||
| PGPMs | 19.7 ± 0.33 f | 252 ± 2.74 f | 36.5 ± 0.46 f | 72.9 ± 0.52 e | ||
| Combination | 24.0 ± 0.16 d | 290 ± 3.00 d | 40.1 ± 0.21 d | 77.0 ± 0.38 c | ||
| WW | Control | 21.7 ± 0.26 e | 279 ± 1.03 e | 38.0 ± 0.18 e | 74.2 ± 0.55 d | |
| K-humate | 27.5 ± 0.44 b | 324 ± 1.00 b | 41.9 ± 0.29 c | 78.7 ± 0.46 c | ||
| PGPMs | 25.6 ± 0.22 c | 305 ± 2.11 c | 43.7 ± 0.32 b | 80.9 ± 0.48 b | ||
| Combination | 31.4 ± 0.03 a | 338 ± 0.82 a | 47.3 ± 0.19 a | 85.8 ± 0.45 a | ||
| Two-way ANOVA (F-value) | ||||||
| Water regime | 5356.73 *** | 5123.95 *** | 3841.98 *** | 2285.00 *** | ||
| Treatments | 1697.19 *** | 1196.70 *** | 1079.61 *** | 673.70 *** | ||
| Interaction | 16.46 *** | 7.07 *** | 3.27 * | 1.72 ns | ||
| Leaves (mg g−1 FW) | |||||
|---|---|---|---|---|---|
| Total Soluble Protein | Free Amino Acids | Total Soluble Sugars | |||
| Water regime | |||||
| WS | 9.62 ± 0.06 b | 30.59 ± 0.81 a | 1.11 ± 0.09 b | ||
| WW | 15.80 ± 0.20 a | 23.46 ± 0.48 b | 2.10 ± 0.05 a | ||
| Treatments | |||||
| Control | 9.16 ± 0.43 d | 31.28 ± 0.09 a | 1.07 ± 0.09 d | ||
| K-humate | 11.65 ± 0.28 c | 28.28 ± 0.50 b | 1.41 ± 0.07 c | ||
| PGPMs | 13.74 ± 0.34 b | 26.34 ± 0.34 c | 1.67 ± 0.04 b | ||
| Combination | 16.30 ± 0.33 a | 22.19 ± 0.37 d | 2.28 ± 0.13 a | ||
| Interaction | |||||
| 2020 | WS | Control | 6.61 ± 0.35 h | 33.7 ± 0.26 a | 0.72 ± 0.07 g |
| K-humate | 7.76 ± 0.43 g | 31.4 ± 0.25 b | 0.97 ± 0.09 fg | ||
| PGPMs | 9.81 ± 0.06 f | 29.2 ± 0.81 c | 1.14 ± 0.09 ef | ||
| Combination | 12.11 ± 0.20 d | 25.6 ± 0.48 e | 1.56 ± 0.05 cd | ||
| WW | Control | 10.60 ± 0.10 e | 27.2 ± 0.40 d | 1.40 ± 0.07 de | |
| K-humate | 14.40 ± 0.10 c | 24.4 ± 0.44 f | 1.80 ± 0.20 c | ||
| PGPMs | 16.59 ± 0.06 b | 22.2 ± 0.35 g | 2.12 ± 0.05 b | ||
| Combination | 19.39 ± 0.38 a | 17.8 ± 0.15 h | 2.91 ± 0.11 a | ||
| 2021 | WS | Control | 7.71 ± 0.43 h | 35.5 ± 0.09 a | 0.70 ± 0.09 g |
| K-humate | 8.92 ± 0.28 g | 32.2 ± 0.50 b | 0.99 ± 0.07 fg | ||
| PGPMs | 10.85 ± 0.34 f | 30.4 ± 0.34 c | 1.21 ± 0.04 ef | ||
| Combination | 13.21 ± 0.33 d | 26.6 ± 0.37 e | 1.62 ± 0.13 cd | ||
| WW | Control | 11.71 ± 0.05 e | 28.6 ± 0.41 d | 1.45 ± 0.12 de | |
| K-humate | 15.51 ± 0.46 c | 25.1 ± 0.24 f | 1.88 ± 0.17 c | ||
| PGPMs | 17.73 ± 0.18 b | 23.6 ± 0.44 g | 2.20 ± 0.21 b | ||
| Combination | 20.48 ± 0.45 a | 18.7 ± 0.31 h | 3.01 ± 0.07 a | ||
| Two-way ANOVA (F-value) | |||||
| Water regime | 5040.51 *** | 3843.99 *** | 907.31 *** | ||
| Treatments | 1218.88 *** | 1097.77 *** | 244.33 *** | ||
| Interaction | 21.76 *** | 2.30 * | 5.68 *** | ||
| # Pods | 100-Seed Weight (g) | Seed Yield (ton ha−1) | Seed Protein (%) | Seed Carbohydrate (%) | |||
|---|---|---|---|---|---|---|---|
| Water regime | |||||||
| WS | 81.4 ± 0.46 b | 16.2 ± 0.41 b | 1.72 ± 0.02 b | 13.91 ± 0.31 b | 12.2 ± 0.53 b | ||
| WW | 96.3 ± 0.95 a | 18.0 ± 0.12 a | 1.99 ± 0.01 a | 22.01 ± 0.04 a | 17.2 ± 0.46 a | ||
| Treatments | |||||||
| Control | 78.3 ± 0.56 d | 15.9 ± 0.01 d | 1.71 ± 0.02 d | 13.18 ± 0.19 d | 11.9 ± 0.11 d | ||
| K-humate | 85.8 ± 0.24 c | 16.8 ± 0.32 c | 1.80 ± 0.01 c | 16.91 ± 0.45 c | 14.1 ± 0.23 c | ||
| PGPMs | 91.8 ± 0.43 b | 17.4 ± 0.46 b | 1.89 ± 0.09 b | 19.16 ± 0.24 b | 15.3 ± 0.11 b | ||
| Combination | 99.3 ± 0.19 a | 18.2 ± 0.07 a | 2.02 ± 0.02 a | 22.58 ± 0.05 a | 17.4 ± 0.17 a | ||
| Interaction | |||||||
| 2020 | WS | Control | 71.3 ± 0.52 h | 14.5 ± 0.48 f | 1.55 ± 0.03 d | 9.72 ± 0.04 h | 9.0 ± 0.25 h |
| K-humate | 78.8 ± 0.48 g | 15.0 ± 0.08 ef | 1.64 ± 0.02 d | 11.98 ± 0.19 g | 10.7 ± 0.09 g | ||
| PGPMs | 82.2 ± 0.46 e | 15.7 ± 0.41 de | 1.76 ± 0.02 c | 13.66 ± 0.31 f | 12.0 ± 0.53 f | ||
| Combination | 86.6 ± 0.95 d | 16.3 ± 0.12 cd | 1.84 ± 0.01 c | 17.96 ± 0.04 d | 14.6 ± 0.46 d | ||
| WW | Control | 80.4 ± 0.56 f | 16.1 ± 0.01 d | 1.81 ± 0.02 c | 15.97 ± 0.19 e | 13.5 ± 0.11 e | |
| K-humate | 89.8 ± 0.24 c | 17.0 ± 0.32 bc | 1.84 ± 0.01 bc | 20.67 ± 0.45 c | 16.3 ± 0.23 c | ||
| PGPMs | 98.0 ± 0.43 b | 17.6 ± 0.46 b | 1.94 ± 0.09 b | 23.07 ± 0.24 b | 17.5 ± 0.11 b | ||
| Combination | 106.5 ± 0.19 a | 18.9 ± 0.07 a | 2.08 ± 0.02 a | 26.48 ± 0.05 a | 19.6 ± 0.17 a | ||
| 2021 | WS | Control | 76.2 ± 0.11 h | 15.6 ± 0.43 f | 1.61 ± 0.04 d | 10.22 ± 0.44 h | 10.5 ± 0.54 h |
| K-humate | 80.4 ± 0.43 g | 16.8 ± 0.14 ef | 1.69 ± 0.04 d | 13.00 ± 0.13 g | 12.1 ± 0.47 g | ||
| PGPMs | 84.7 ± 0.92 e | 17.2 ± 0.26 de | 1.77 ± 0.03 c | 15.62 ± 0.42 f | 13.0 ± 0.40 f | ||
| Combination | 90.7 ± 0.29 d | 18.1 ± 0.05 cd | 1.92 ± 0.02 c | 19.10 ± 0.60 d | 15.3 ± 0.22 d | ||
| WW | Control | 85.4 ± 0.85 f | 17.6 ± 0.47 d | 1.87 ± 0.08 c | 16.82 ± 0.48 e | 14.6 ± 0.42 e | |
| K-humate | 94.4 ± 0.77 c | 18.2 ± 0.24 bc | 2.01 ± 0.05 bc | 22.01 ± 0.33 c | 17.3 ± 0.27 c | ||
| PGPMs | 102.4 ± 0.38 b | 18.9 ± 0.16 b | 2.11 ± 0.06 b | 24.29 ± 0.24 b | 18.4 ± 0.30 b | ||
| Combination | 113.4 ± 1.00 a | 19.5 ± 0.17 a | 2.24 ± 0.05 a | 26.78 ± 0.45 a | 20.0 ± 0.07 a | ||
| Two-way (F-value) | |||||||
| Water regime | 7451.57 *** | 456.92 *** | 474.03 *** | 7089.50 *** | 2757.70 *** | ||
| Treatments | 2663.32 *** | 130.90 *** | 118.00 *** | 1680.90 *** | 571.63 *** | ||
| Interaction | 77.42 *** | 1.90 ns | 2.26 * | 13.91 *** | 3.55 ** | ||
| Season | Soil Texture | pH ¥ | EC † (dSm−1) | FC ‡ (%) | SOM * (%) | Cations (meq L−1) | Anions (meq L−1) | |||||
|---|---|---|---|---|---|---|---|---|---|---|---|---|
| Na+ | K+ | Mg2+ | Ca2+ | Cl− | HCO3− | SO42− | ||||||
| 2020 | Clay loam | 8.22 ± 0.01 a | 6.88 ± 0.05 a | 28.75 ± 0.09 a | 1.45 ± 0.01 a | 16.74 ± 0.03 b | 9.36 ± 0.01 b | 12.35 ± 0.08 b | 18.63 ± 0.06 a | 22.36 ± 0.04 b | 14.36 ± 0.02 b | 19.66 ± 0.05 b |
| 2021 | Clay loam | 8.17 ± 0.02 b | 6.76 ± 0.04 b | 29.36 ± 0.11 a | 1.39 ± 0.03 b | 17.63 ± 0.05 a | 10.24 ± 0.02 a | 17.26 ± 0.06 a | 17.35 ± 0.08 b | 25.36 ± 0.04 a | 17.54 ± 0.02 a | 22.25 ± 0.03 a |
Publisher’s Note: MDPI stays neutral with regard to jurisdictional claims in published maps and institutional affiliations. |
© 2022 by the authors. Licensee MDPI, Basel, Switzerland. This article is an open access article distributed under the terms and conditions of the Creative Commons Attribution (CC BY) license (https://creativecommons.org/licenses/by/4.0/).
Share and Cite
Alharbi, K.; Rashwan, E.; Hafez, E.; Omara, A.E.-D.; Mohamed, H.H.; Alshaal, T. Potassium Humate and Plant Growth-Promoting Microbes Jointly Mitigate Water Deficit Stress in Soybean Cultivated in Salt-Affected Soil. Plants 2022, 11, 3016. https://doi.org/10.3390/plants11223016
Alharbi K, Rashwan E, Hafez E, Omara AE-D, Mohamed HH, Alshaal T. Potassium Humate and Plant Growth-Promoting Microbes Jointly Mitigate Water Deficit Stress in Soybean Cultivated in Salt-Affected Soil. Plants. 2022; 11(22):3016. https://doi.org/10.3390/plants11223016
Chicago/Turabian StyleAlharbi, Khadiga, Emadeldeen Rashwan, Emad Hafez, Alaa El-Dein Omara, Hossam Hussein Mohamed, and Tarek Alshaal. 2022. "Potassium Humate and Plant Growth-Promoting Microbes Jointly Mitigate Water Deficit Stress in Soybean Cultivated in Salt-Affected Soil" Plants 11, no. 22: 3016. https://doi.org/10.3390/plants11223016
APA StyleAlharbi, K., Rashwan, E., Hafez, E., Omara, A. E.-D., Mohamed, H. H., & Alshaal, T. (2022). Potassium Humate and Plant Growth-Promoting Microbes Jointly Mitigate Water Deficit Stress in Soybean Cultivated in Salt-Affected Soil. Plants, 11(22), 3016. https://doi.org/10.3390/plants11223016

