The Bark of Picea abies L., a Waste from Sawmill, as a Source of Valuable Compounds: Phytochemical Investigations and Isolation of a Novel Pimarane and a Stilbene Derivative
Abstract
:1. Introduction
2. Results
2.1. Isolation of Phytoconstituents
2.1.1. Lipophilic Constituents from Cyclohexane and Dichloromethane Extracts
2.1.2. Characterization of a Novel Pimarane Derivative from Lipophilic P. abies Extracts
2.1.3. Hydrophilic Constituents from Methanolic Extract
2.1.4. Characterization of the Novel Stilbenoid Piceaside V from P. abies Methanol Extract
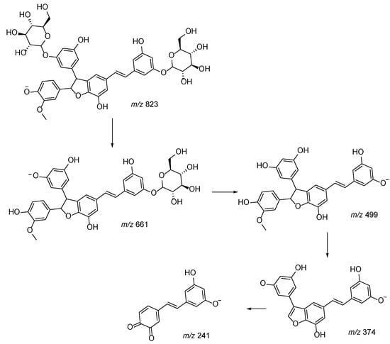
2.2. LC-DAD-MSn Analysis of Methanol Extract
2.3. Antioxidant Properties of Methanolic Extract
2.4. LC-DAD-MSn Characterization of Fractions Isolated from Methanol Extract Showing Higher Scavenging Activity against DPPH
3. Discussion
4. Materials and Methods
4.1. Plant Material
4.2. Extraction and Fractionation of Dried Plant Material
4.3. Flash Chromatography
4.4. Preparative Liquid Chromatography
4.5. Direct MS Infusion and NMR Spectroscopy
4.6. High-Performance Liquid Chromatography–Diode Array Detector–Mass Spectrometry (HPLC-DAD-MSn)
4.7. DPPH Assay
5. Conclusions
Author Contributions
Funding
Institutional Review Board Statement
Informed Consent Statement
Data Availability Statement
Acknowledgments
Conflicts of Interest
References
- Angelis, A.; Hubert, J.; Aligiannis, N.; Michalea, R.; Abedini, A.; Nuzillard, J.-M.; Gangloff, S.C.; Skaltsounis, A.-L.; Renault, J.-H. Bio-Guided Isolation of Methanol-Soluble Metabolites of Common Spruce (Picea abies) Bark by-Products and Investigation of Their Dermo-Cosmetic Properties. Molecules 2016, 21, 1586. [Google Scholar] [CrossRef] [Green Version]
- Pietarinen, S.P.; Willför, S.; Ahotupa, M.O.; Hemming, J.E.; Holmbom, B.R. Knotwood and bark extracts: Strong antioxidants from waste materials. J. Wood Sci. 2006, 52, 436–444. [Google Scholar] [CrossRef]
- Dall’Acqua, S.; Minesso, P.; Comai, S.; Shrestha, B.B.; Gewali, M.B.; Jha, P.K.; Innocenti, G. Triterpene Derivatives from Abies Spectabilis Leaves of Nepalese Origin. Nat. Prod. Commun. 2011, 6, 793–798. [Google Scholar] [CrossRef] [Green Version]
- Dall’Acqua, S.; Minesso, P.; Shresta, B.B.; Comai, S.; Jha, P.K.; Gewali, M.B.; Greco, E.; Cervellati, R.; Innocenti, G. Phytochemical and Antioxidant-Related Investigations on Bark of Abies spectabilis (D. Don) Spach. from Nepal. Molecules 2012, 17, 1686–1697. [Google Scholar] [CrossRef] [Green Version]
- Baldan, V.; Sut, S.; Faggian, M.; Gassa, E.D.; Ferrari, S.; De Nadai, G.; Francescato, S.; Baratto, G.; Dall’Acqua, S. Larix decidua Bark as a Source of Phytoconstituents: An LC-MS Study. Molecules 2017, 22, 1974. [Google Scholar] [CrossRef] [PubMed] [Green Version]
- Krogell, J.; Holmbom, B.; Pranovich, A.; Hemming, J.; Willför, S. Extraction and chemical characterization of Norway spruce inner and outer bark. Nord. Pulp Pap. Res. J. 2012, 27, 6–17. [Google Scholar] [CrossRef]
- Li, S.-H.; Niu, X.-M.; Zahn, S.; Gershenzon, J.; Weston, J.; Schneider, B. Diastereomeric stilbene glucoside dimers from the bark of Norway spruce (Picea abies). Phytochemistry 2008, 69, 772–782. [Google Scholar] [CrossRef] [PubMed]
- Jablonsky, M.; Vernarecová, M.; Ház, A.; Dubinyová, L.; Skulcova, A.; Sladková, A.; Surina, I. Extraction of phenolic and lipophilic compounds from spruce (Picea abies) bark using accelerated solvent extraction by ethanol. Wood Res. 2015, 60, 583–590. [Google Scholar]
- González, M.A. Aromatic abietane diterpenoids: Their biological activity and synthesis. Nat. Prod. Rep. 2015, 32, 684–704. [Google Scholar] [CrossRef]
- Pferschy-Wenzig, E.-M.; Kunert, O.; Presser, A.; Bauer, R. In Vitro Anti-inflammatory Activity of Larch (Larix decidua L.) Sawdust. J. Agric. Food Chem. 2008, 56, 11688–11693. [Google Scholar] [CrossRef]
- Kinouchi, Y.; Ohtsu, H.; Tokuda, H.; Nishino, H.; Matsunaga, A.S.; Tanaka, R. Potential Antitumor-Promoting Diterpenoids from the Stem Bark of Picea glehni. J. Nat. Prod. 2000, 63, 817–820. [Google Scholar] [CrossRef] [PubMed]
- Kähkönen, M.P.; Hopia, A.I.; Vuorela, H.J.; Rauha, J.P.; Pihlaja, K.; Kujala, T.S.; Heinonen, M. Antioxidant activity of plant extracts containing phenolic compounds. J. Agric. Food Chem. 1999, 47, 3954–3962. [Google Scholar] [CrossRef]
- Co, M.; Fagerlund, A.; Engman, L.; Sunnerheim, K.; Sjöberg, P.J.; Turner, C. Extraction of Antioxidants from Spruce (Picea abies) Bark using Eco-friendly Solvents. Phytochem. Anal. 2012, 23, 1–11. [Google Scholar] [CrossRef] [PubMed]
- Kreps, F.; Burčová, Z.; Jablonský, M.; Ház, A.; Frecer, V.; Kyselka, J.; Schmidt, Š.; Šurina, I.; Filip, V. Bioresource of Antioxidant and Potential Medicinal Compounds from Waste Biomass of Spruce. ACS Sustain. Chem. Eng. 2017, 5, 8161–8170. [Google Scholar] [CrossRef]
- Mulat, D.G.; Latva-Mäenpää, H.; Koskela, H.; Saranpää, P.; Wähälä, K. Rapid Chemical Characterisation of Stilbenes in the Root Bark of Norway Spruce by Off-line HPLC/DAD-NMR. Phytochem. Anal. 2014, 25, 529–536. [Google Scholar] [CrossRef] [PubMed]
- Hammerbacher, A.; Ralph, S.G.; Bohlmann, J.; Fenning, T.M.; Gershenzon, J.; Schmidt, A. Biosynthesis of the Major Tetrahydroxystilbenes in Spruce, Astringin and Isorhapontin, Proceeds via Resveratrol and Is Enhanced by Fungal Infection. Plant Physiol. 2011, 157, 876–890. [Google Scholar] [CrossRef] [PubMed] [Green Version]
- Tanaka, R.; Tsujimoto, K.; In, Y.; Ishida, T.; Matsunaga, S.; Terada, Y. Structure and Stereochemistry of Epoxyserratanes from the Cuticle of Picea jezoensis var. jezoensis. J. Nat. Prod. 2001, 64, 1044–1047. [Google Scholar] [CrossRef] [PubMed]
- Norin, T.; Winell, B.; Enzell, C.R.; Nilsson, J.L.G.; Svensson, S. Extractives from the Bark of Common Spruce, Picea abies L. Karst. Acta Chem. Scand. 1972, 26, 2289–2296. [Google Scholar] [CrossRef]
- Le Milbeau, C.; Lavrieux, M.; Jacob, J.; Bréheret, J.-G.; Zocatelli, R.; Disnar, J.-R. Methoxy-serratenes in a soil under conifers and their potential use as biomarkers of Pinaceae. Org. Geochem. 2013, 55, 45–54. [Google Scholar] [CrossRef] [Green Version]
- Castro, M.A.; Gordaliza, M.; Del Corral, J.M.M.; Feliciano, A.S. The distribution of lignanoids in the order coniferae. Phytochemistry 1996, 41, 995–1011. [Google Scholar] [CrossRef]
- Salem, M.Z.; Elansary, H.O.; Elkelish, A.; Zeidler, A.; Ali, H.M.; El-Hefny, M.; Yessoufou, K. In vitro Bioactivity and Antimicrobial Activity of Picea abies and Larix decidua Wood and Bark Extracts. BioResources 2016, 11, 9421–9437. [Google Scholar] [CrossRef] [Green Version]
- Islam, M.T. Diterpenes and Their Derivatives as Potential Anticancer Agents. Phytother. Res. 2017, 31, 691–712. [Google Scholar] [CrossRef]
- Burmistrova, O.; Simões, M.F.; Rijo, P.D.D.M.; Quintana, J.; Bermejo, J.; Estévez, F. Antiproliferative Activity of Abietane Diterpenoids against Human Tumor Cells. J. Nat. Prod. 2013, 76, 1413–1423. [Google Scholar] [CrossRef] [PubMed] [Green Version]
- González, M.A.; Pérez-Guaita, D.; Correa-Royero, J.; Zapata, B.; Agudelo, L.; Mesa-Arango, A.; Betancur-Galvis, L. Synthesis and biological evaluation of dehydroabietic acid derivatives. Eur. J. Med. Chem. 2010, 45, 811–816. [Google Scholar] [CrossRef] [PubMed]
- Wenkert, E.; Buckwalter, B.L. Cabon-13 nuclear magnetic resonance spectroscopy of naturally occurring substances. X. Pimaradienes. J. Am. Chem. Soc. 1972, 94, 4367–4369. [Google Scholar] [CrossRef]
- Yang, C.-T.; Hou, S.-Q.; Tian, K.; Hu, Q.-F.; Huang, X.-Z.; Jiang, Z.-Y. Newent-Pimarane Diterpenes from the Roots of Aralia dumetorum. Helv. Chim. Acta 2016, 99, 220–224. [Google Scholar] [CrossRef]
- Zhou, L.; Fuentes, E.R.; Hoffmann, J.J.; Timmermann, B.N. Diterpenoids from Grindelia tarapacana. Phytochemistry 1995, 40, 1201–1207. [Google Scholar] [CrossRef]
- Koutsaviti, A.; Ioannou, E.; Couladis, M.; Tzakou, O.; Roussis, V. 1H and 13C NMR spectral assignments of abietane diterpenes from Pinus heldreichii and Pinus nigra subsp. nigra. Magn. Reson. Chem. 2017, 55, 772–778. [Google Scholar] [CrossRef]
- Pan, H.; Lundgren, L.N. Phenolic extractives from root bark of Picea abies. Phytochemistry 1995, 39, 1423–1428. [Google Scholar] [CrossRef]
- Dall’Acqua, S.; Tomè, F.; Vitalini, S.; Agradi, E.; Innocenti, G. In vitro estrogenic activity of Asplenium trichomanes L. extracts and isolated compounds. J. Ethnopharmacol. 2009, 122, 424–429. [Google Scholar] [CrossRef]
- Eklund, P.C.; Backman, M.J.; Kronberg, L.Å.; Smeds, A.I.; Sjöholm, R.E. Identification of lignans by liquid chromatography-electrospray ionization ion-trap mass spectrometry. J. Mass Spectrom. 2007, 43, 97–107. [Google Scholar] [CrossRef] [PubMed]
- Mishra, K.; Ojha, H.; Chaudhury, N.K. Estimation of antiradical properties of antioxidants using DPPH assay: A critical review and results. Food Chem. 2012, 130, 1036–1043. [Google Scholar] [CrossRef]
- Kedare, S.B.; Singh, R.P. Genesis and development of DPPH method of antioxidant assay. J. Food Sci. Technol. 2011, 48, 412–422. [Google Scholar] [CrossRef] [PubMed] [Green Version]
- Fauconneau, B.; Waffo-Teguo, P.; Huguet, F.; Barrier, L.; Decendit, A.; Merillon, J.-M. Comparative study of radical scavenger and antioxidant properties of phenolic compounds from Vitis vinifera cell cultures using in vitro tests. Life Sci. 1997, 61, 2103–2110. [Google Scholar] [CrossRef]
- He, S.; Yan, X. From resveratrol to its derivatives: New sources of natural antioxidant. Curr. Med. Chem. 2013, 20, 1005–1017. [Google Scholar] [PubMed]
- Topal, F.; Nar, M.; Gocer, H.; Kalin, P.; Kocyigit, U.M.; Gülçin, I.; Alwasel, S.H. Antioxidant activity of taxifolin: An activity–structure relationship. J. Enzym. Inhib. Med. Chem. 2016, 31, 674–683. [Google Scholar] [CrossRef]
- Sueishi, Y.; Nii, R.; Kakizaki, N. Resveratrol analogues like piceatannol are potent antioxidants as quantitatively demonstrated through the high scavenging ability against reactive oxygen species and methyl radical. Bioorg. Med. Chem. Lett. 2017, 27, 5203–5206. [Google Scholar] [CrossRef]
- Neiva, D.M.; Luís, Â.; Gominho, J.; Domingues, F.; Duarte, A.P.; Pereira, H. Bark residues valorization potential regarding antioxidant and antimicrobial extracts. Wood Sci. Technol. 2020, 54, 559–585. [Google Scholar] [CrossRef]
- Neiva, D.M.; Araújo, S.; Gominho, J.; Carneiro, A.D.C.; Pereira, H. An integrated characterization of Picea abies industrial bark regarding chemical composition, thermal properties and polar extracts activity. PLoS ONE 2018, 13, e0208270. [Google Scholar] [CrossRef]
- Jyske, T.; Brännström, H.; Sarjala, T.; Hellström, J.; Halmemies, E.; Raitanen, J.-E.; Kaseva, J.; Lagerquist, L.; Eklund, P.; Nurmi, J. Fate of Antioxidative Compounds within Bark during Storage: A Case of Norway Spruce Logs. Molecules 2020, 25, 4228. [Google Scholar] [CrossRef]
- Mannila, E.; Talvitie, A. Stilbenes from Picea abies bark. Phytochemistry 1992, 31, 3288–3289. [Google Scholar] [CrossRef]
- Yang, X.-W.; Li, S.; Shen, Y.-H.; Zhang, W.-D. Phytochemical and Biological Studies of Abies Species. Chem. Biodivers. 2008, 5, 56–81. [Google Scholar] [CrossRef]






| Position | 1H δ (Mult.) | 13C δ (C Type) |
|---|---|---|
| 1 | 1.64–1.77 (2H) | 36.5 (CH2) |
| 2 | 2.06–2.36 (2H) | 33.08 (CH2) |
| 3 | 1.65–1.85 (2H) | 36.4 (CH2) |
| 4 | - | 36.7 |
| 5 | 2.51 (d, 2Hz, 1H) | 46.4 (CH) |
| 6 | 4.03 (d, 2Hz, 1H) | 67.4 (CH) |
| 7 | - | 206.4 |
| 8 | 2.71 (m, 1H) | 43.6 (CH) |
| 9 | 2.91 (dd, J = 10. 3; 9; 1H) | 33.7 (CH) |
| 10 | - | 38.9 |
| 11 | 1.70–1.80 (m, 2H) | 18.0 (CH2) |
| 12 | 2.16 (m, 2H) | 22.7 (CH2) |
| 13 | - | 34.0 |
| 14 | 2.24 (2H) | 24.6 (CH2) |
| 15 | 5.67 (d, J = 15.5; 1H) | 146.5 (CH) |
| 16 | 4.83–4.94 (dd, J = 15.5; 3.3; 2H) | 111.4 (CH2) |
| 17 | 1.37 (s, 3H) | 16.2 (CH3) |
| 18 | 1.30 (s, 3H) | 23.9 (CH3) |
| 19 | - | 180.6 |
| 20 | 1.26 (s, 3H) | 26.22 (CH3) |
| Position | 1H δ (mult.) | 13C δ (C type) |
|---|---|---|
| 1 | - | 131.3 |
| 2 | 6.77 (d, J = 1.0; 1H) | 115.2 (CH) |
| 3 | - | 149.2 |
| 4 | - | 145.8 |
| 5 | - | 132.3 |
| 6 | 6.70 (d, J = 1.0; 1H) | 114.2 (CH) |
| 7 | 7.03 (d, J = 15.5, 1H) | 128.3 (CH) |
| 8 | 6.81 (d, J = 15.5 1H) | 125.1 (CH) |
| 9 | - | - |
| 10 | 6.76 (d, J = 1.1; 1H) | 105.1 (CH) |
| 11 | - | 159.5 |
| 12 | 6.49 (d, J = 1.1; 1H) | 105.5 (CH) |
| 13 | - | 159.5 |
| 14 | 6.54 (d, J = 1.1; 1H) | 105.3 (CH) |
| 1′ | - | 131.6 |
| 2′ | 6.80 (d, J = 1.2; 1H) | 112.5 (CH) |
| 3′ | - | 144.5 |
| 4′ | - | 145.5 |
| 5′ | 6.74 (d, J = 7.5; 1H) | 114.8 (CH) |
| 6′ | 6.68 (dd, J = 7.5, 1.1; 1H) | 116.7 (CH) |
| 7′ | 5.41 (d, 1H) | 93.8 (CH) |
| 8′ | 4.40 (d, 1H) | 58.1 (CH) |
| 9′ | - | 143.8 |
| 10′ | 6.42 (d, J = 1.0; 1H) | 109.6 (CH) |
| 11′ | - | 158.7 |
| 12′ | 6.30 (d, J = 1.0; 1H) | 104.1 (CH) |
| 13′ | - | 161.5 |
| 14′ | 6.34 (d, J = 1.0; 1H) | 107.9 (CH) |
| 1″ | 4.80 (1H; J = 7.0) | 101.2 |
| 2″ | 3.47 (1H) | 73.4 |
| 3″ | 3.39 (1H) | 76.7 |
| 4″ | 3.32 (1H) | 70.2 |
| 5″ | 3.65 (1H) | 76.5 |
| 6″ | 3.95–3.71 (2H) | 60.4 |
| 1‴ | 4.78 (1H; J = 7.2) | 101.2 |
| 2‴ | 3.48 (1H) | 73.5 |
| 3‴ | 3.39 (1H) | 75.3 |
| 4‴ | 3.33 (1H) | 69.4 |
| 5‴ | 3.65 (1H) | 75.3 |
| 6‴ | 3.85–3.71 (2H) | 60.8 |
| Compound | Retention Time (min) | [M − H]− m/z | ESI-MSn m/z |
|---|---|---|---|
| Hydroxy-piceaside derivative | 1.42 | 665 | 485-443-305-243 |
| Benzoic acid derivative | 1.44 | 313 | 151-282 |
| Caffeoyl-hexoside | 1.48 | 341 | 203-179-131 |
| Quinic acid * | 1.54 | 191 | 127-111 |
| Caffeic acid derivative | 1.60 | 377 | 341-179 |
| Procyanidin trimer B | 1.93 | 865 | 695-577-407 |
| Protocatechuic acid-hexoside | 2.20 | 315 | 153-109 |
| Ferulic acid * | 4.17 | 193 | 173-145 |
| (epi)-Catechin * | 4.32 | 289 | 245-203 |
| Hydroxy-piceaside derivative | 4.40 | 665 | 485-443 |
| Isorhamnetin * | 5.53 | 315 | 299 |
| Taxifolin-7-O-glucoside * | 5.72 | 465 | 447-303-285 |
| Luteolin-7-O-rhamnoside * | 5.80 | 431 | 285-241 |
| Hydroxy-piceaside derivative | 6.12 | 665 | 485-443-305 |
| Trans-astringin * | 6.71 | 405 | 243 |
| Hydroxy-piceaside derivative | 7.20 | 665 | 503-445-297 |
| Ellagic acid hexoside | 7.31 | 463 | 301 |
| Piceaside A/B | 7.57 | 809 | 647-485-375 |
| Hydroxy-piceaside derivative | 8.22 | 665 | 503-445-297 |
| Piceaside A/B | 9.16 | 809 | 647-485-375-229 |
| Isorhapontigenin | 10.14 | 257 | 241-213 |
| Piceatannol | 10.73 | 243 | 225-201 |
| Hydroxy-piceaside derivative | 11.13 | 665 | 503-445-243 |
| Piceaside A/B | 11.20 | 809 | 647-485-375 |
| Piceaside A/B | 11.61 | 809 | 647-485-375-318 |
| Piceaside G/H | 12.42 | 809 | 646-405 |
| Piceaside C/D | 12.56 | 823 | 661-499 |
| Piceaside C/D | 13.73 | 823 | 661-499 |
| Piceaside C/D | 14.22 | 823 | 661-499 |
| Piceaside G/H | 14.95 | 809 | 646-405-243 |
| Piceaside C/D | 15.27 | 823 | 661-499-257 |
| Taxifolin * | 16.41 | 303 | 285-241-213 |
| Isorhamnetin-pentoside | 16.66 | 447 | 315-300 |
| Piceaside E/F | 16.70 | 823 | 661-499-241 |
| 7-hydroxy-matairesinol * | 17.64 | 373 | 355-311-296 |
| Piceaside G/H | 18.39 | 809 | 646-405 |
| Piceaside E/F | 18.57 | 823 | 661-499-241 |
| Piceaside G/H | 19.13 | 809 | 646-405-243 |
| Piceatannol derivative | 19.17 | 647 | 485-243 |
| Methoxy-piceatannol hexoside | 20.25 | 661 | 499-241 |
| Piceaside E/F | 21.47 | 823 | 661-499-241 |
| Methoxy-piceatannol | 23.43 | 499 | 467-389-241 |
| Quercetin * | 52.13 | 301 | 179-151 |
| Chemical Class | % w/w |
|---|---|
| Flavonoids, expressed as rutin | 0.32 ± 0.01 |
| Piceasides, expressed as resveratrol | 3.56 ± 0.05 |
| No. of Fraction | Identified Compounds | μg/mL | Total μg/mL |
|---|---|---|---|
| 7 | Astringin Piceaside A/B Taxifolin-7-O-glucoside Piceaside G/H | 2.32 ± 0.05 14.68 ± 0.05 9.65 ± 0.07 10.82 ± 0.02 | 37.47 ± 0.20 |
| 8 | Astringin Piceaside A/B Taxifolin-7-O- glucoside Piceaside G/H | 1.97 ± 0.01 13.11 ± 0.12 3.77 ± 0.02 6.82 ± 0.05 | 25.67 ± 0.18 |
| 9 | Piceaside A/B Piceaside G/H | 6.74 ± 0.10 2.16 ± 0.01 | 8.90 ± 0.07 |
| 10 | Methoxy-piceatannol | - | 9.0 ± 0.02 |
Publisher’s Note: MDPI stays neutral with regard to jurisdictional claims in published maps and institutional affiliations. |
© 2021 by the authors. Licensee MDPI, Basel, Switzerland. This article is an open access article distributed under the terms and conditions of the Creative Commons Attribution (CC BY) license (https://creativecommons.org/licenses/by/4.0/).
Share and Cite
Sut, S.; Baldan, V.; Faggian, M.; Ferrarese, I.; Maccari, E.; Teobaldo, E.; De Zordi, N.; Bertoni, P.; Peron, G.; Dall’Acqua, S. The Bark of Picea abies L., a Waste from Sawmill, as a Source of Valuable Compounds: Phytochemical Investigations and Isolation of a Novel Pimarane and a Stilbene Derivative. Plants 2021, 10, 2106. https://doi.org/10.3390/plants10102106
Sut S, Baldan V, Faggian M, Ferrarese I, Maccari E, Teobaldo E, De Zordi N, Bertoni P, Peron G, Dall’Acqua S. The Bark of Picea abies L., a Waste from Sawmill, as a Source of Valuable Compounds: Phytochemical Investigations and Isolation of a Novel Pimarane and a Stilbene Derivative. Plants. 2021; 10(10):2106. https://doi.org/10.3390/plants10102106
Chicago/Turabian StyleSut, Stefania, Valeria Baldan, Marta Faggian, Irene Ferrarese, Erica Maccari, Eduardo Teobaldo, Nicola De Zordi, Paolo Bertoni, Gregorio Peron, and Stefano Dall’Acqua. 2021. "The Bark of Picea abies L., a Waste from Sawmill, as a Source of Valuable Compounds: Phytochemical Investigations and Isolation of a Novel Pimarane and a Stilbene Derivative" Plants 10, no. 10: 2106. https://doi.org/10.3390/plants10102106
APA StyleSut, S., Baldan, V., Faggian, M., Ferrarese, I., Maccari, E., Teobaldo, E., De Zordi, N., Bertoni, P., Peron, G., & Dall’Acqua, S. (2021). The Bark of Picea abies L., a Waste from Sawmill, as a Source of Valuable Compounds: Phytochemical Investigations and Isolation of a Novel Pimarane and a Stilbene Derivative. Plants, 10(10), 2106. https://doi.org/10.3390/plants10102106

