Identifying Urban Functional Zones Using Public Bicycle Rental Records and Point-of-Interest Data
Abstract
1. Introduction
2. Study Area and Data
2.1. Study Area
2.2. Data
3. Methodology
3.1. Topic Modelling
3.1.1. Term Formulation
3.1.2. Vector Calculation
3.1.3. Model Training and Inference
- For each latent land function type ,
- Draw .
- Draw .
- For each TAZ ,
- For each latent land function type f, let , which is where the assumption of POI distribution may affect land use and land function works.
- Draw .
- For the t-th hour in the i-th land unit,
- Draw .
- Draw .
3.2. Semantic Annotation
3.2.1. Region Aggregation
3.2.2. Word Cloud: TF-IDF
4. Results and Analysis
4.1. Exploratory Analysis
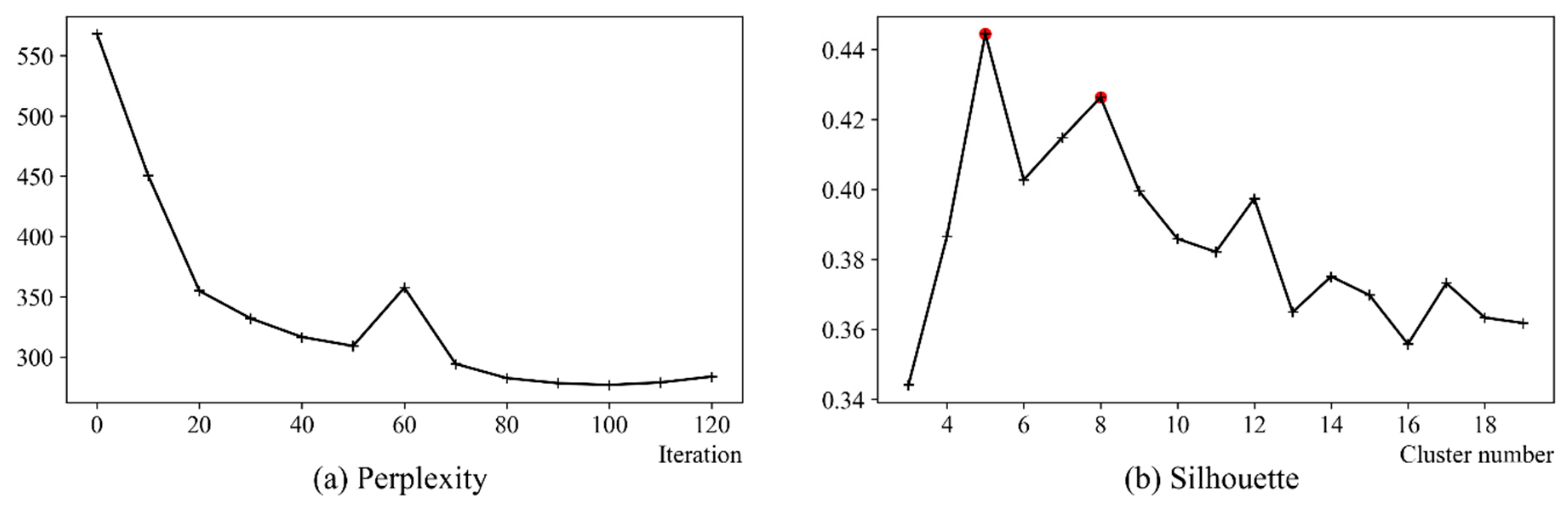
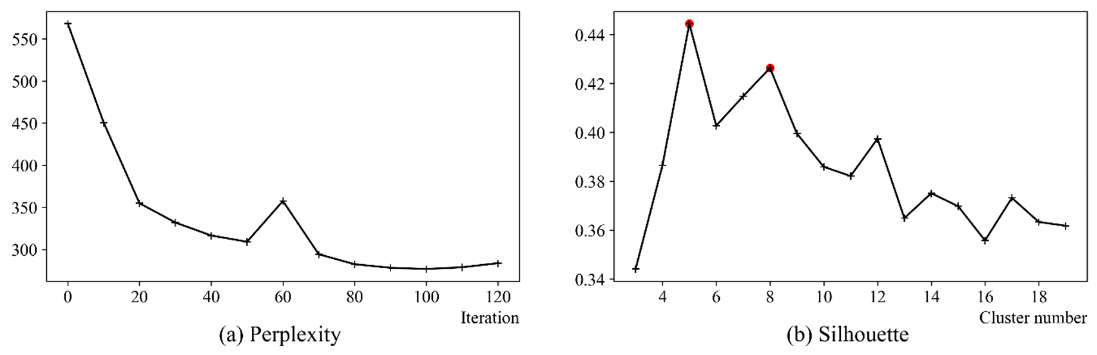
4.2. Clustering Results
4.3. Themed Functions
4.4. Consistency with the Urban Master Plan
5. Discussion
5.1. The Role of POI Data
5.2. Limitations and Possible Solutions
- Mixed land function. Some land functions may inferior to other land functions. For example, middle schools and elementary schools may be surrounded by residential communities within a TAZ. Restaurants and stores are also part of the space. However, we may interpret this region as a residential area instead of education land or business land. Using a finer division (i.e., block level or building level) may help with the problem.
- Semantic difference. The semantic annotation process has a significant influence on the functional zone cluster results. TAZ’s function varies when considering different perspectives. For example, the mountain around West Lake includes biological services (green land), tourism services (business area) and an office building for high-tech companies (industrial land). This error is different from the above because it cannot be solved by using a smaller unit. This kind of mixed function will increase with the development of the complexity of the urban system. We believe that this is quite useful for future urban planners and city managers to understand real multi-functionality.
- Inefficiency in open space/rural area/green-land identification. This kind of defect is caused by our data-driven method. Bicycle rental activities occur less in those areas. Additionally, the POI information comes from the commercial database assigning more weight to human commercial activities. The solution to this error is to introduce multi-source data or remote sensing imaginary as the input of our functional matrix generation process.
6. Conclusions
Author Contributions
Funding
Acknowledgments
Conflicts of Interest
References
- Yuan, N.J.; Zheng, Y.; Xie, X.; Wang, Y.; Zheng, K.; Xiong, H. Discovering Urban Functional Zones Using Latent Activity Trajectories. IEEE Trans. Knowl. Data Eng. 2015, 27, 712–725. [Google Scholar] [CrossRef]
- Stead, D.; Marshall, S. The Relationships between Urban Form and Travel Patterns. An International Review and Evaluation. Eur. J. Transp. Infrastruct. Res. 2001, 1, 113–141. [Google Scholar]
- Zhang, M. The Role of Land Use in Travel Mode Choice: Evidence from Boston and Hong Kong. J. Am. Plan. Assoc. 2004, 70, 344–360. [Google Scholar] [CrossRef]
- Crooks, A.; Pfoser, D.; Jenkins, A.; Croitoru, A.; Stefanidis, A.; Smith, D.; Karagiorgou, S.; Efentakis, A.; Lamprianidis, G. Crowdsourcing urban form and function. Int. J. Geogr. Inf. Sci. 2015, 29, 720–741. [Google Scholar] [CrossRef]
- Gao, S.; Liu, Y.; Wang, Y.; Ma, X. Discovering Spatial Interaction Communities from Mobile Phone Data. Trans. GIS 2013, 17, 463–481. [Google Scholar] [CrossRef]
- Liu, Y.; Liu, X.; Gao, S.; Gong, L.; Kang, C.; Zhi, Y.; Chi, G.; Shi, L. Social Sensing: A New Approach to Understanding Our Socioeconomic Environments. Ann. Assoc. Am. Geogr. 2015, 105, 512–530. [Google Scholar] [CrossRef]
- Liu, X.; Gong, L.; Gong, Y.; Liu, Y. Revealing travel patterns and city structure with taxi trip data. J. Transp. Geogr. 2015, 43, 78–90. [Google Scholar] [CrossRef]
- Toole, J.L.; Ulm, M.; González, M.C.; Bauer, D. Inferring land use from mobile phone activity. In Proceedings of the ACM SIGKDD International Workshop on Urban Computing, Beijing, China, 12–16 August 2012. [Google Scholar]
- Pei, T.; Sobolevsky, S.; Ratti, C.; Shaw, S.; Li, T.; Zhou, C. A new insight into land use classification based on aggregated mobile phone data. Int. J. Geogr. Inf. Sci. 2014, 28, 1988–2007. [Google Scholar] [CrossRef]
- Zhou, X.; Zhang, L. Crowdsourcing functions of the living city from Twitter and Foursquare data. Cartogr. Geogr. Inf. Sci. 2016, 5, 393–404. [Google Scholar] [CrossRef]
- Shaheen, S.; Guzman, S.; Zhang, H. Bikesharing in Europe, the Americas, and Asia: Past, present, and future. Transp. Res. Rec. 2010, 2143, 159–167. [Google Scholar] [CrossRef]
- Zhao, J.; Deng, W.; Song, Y. Ridership and effectiveness of bikesharing: The effects of urban features and system characteristics on daily use and turnover rate of public bikes in China. Transp. Policy 2014, 35, 253–264. [Google Scholar] [CrossRef]
- Dieleman, F.M.; Dijst, M.; Burghouwt, G. Urban Form and Travel Behaviour: Micro-level Household Attributes and Residential Context. Urban Stud. 2016, 39, 507–527. [Google Scholar] [CrossRef]
- Faghih-Imani, A.; Anowar, S.; Miller, E.J.; Eluru, N. Hail a cab or ride a bike? A travel time comparison of taxi and bicycle-sharing systems in New York City. Transp. Res. Part A Policy Pract. 2017, 101, 11–21. [Google Scholar] [CrossRef]
- Froehlich, J.; Neumann, J.; Oliver, N. Measuring the Pulse of the City through Shared Bicycle Programs. In Proceedings of the International Workshop on Urban, Community, and Social Applications of Networked Sensing Systems, Raleigh, NC, USA, 5–7 November 2008. [Google Scholar]
- Froehlich, J.; Neumann, J.; Oliver, N. Sensing and Predicting the Pulse of the City through Shared Bicycling. In Proceedings of the 21st International Joint Conference on Artificial Intelligence (IJCAI), Pasadena, CA, USA, 11–17 July 2009; pp. 1420–1426. [Google Scholar]
- Brien, O.; Cheshire, J.; Batty, M. Mining bicycle sharing data for generating insights into sustainable transport systems. J. Transp. Geogr. 2014, 34, 262–273. [Google Scholar]
- Zhejiang Provincial Bureau of Statistics. Chapter 1: General Survey. In Zhejiang Statistical Yearbook 2017; China Statistics Press: Hangzhou, China, 2018. [Google Scholar]
- Shaheen, S.; Zhang, H.; Martin, E.; Guzman, S. China’s Hangzhou Public Bicycle. Transp. Res. Rec. 2011, 2247, 33–41. [Google Scholar] [CrossRef]
- García-Palomares, J.C.; Gutiérrez, J.; Latorre, M. Optimizing the location of stations in bike-sharing programs: A GIS approach. Appl. Geogr. 2012, 35, 235–246. [Google Scholar] [CrossRef]
- Hangzhou Public Transport Corporation. Introduction of Bicycle Service in Hangzhou. Available online: http://www.ggzxc.cn/about.aspx?c_kind=521&c_kind2=522&c_kind3=531 (accessed on 9 October 2018).
- Fonte, C.C.; Martinho, N. Assessing the applicability of OpenStreetMap data to assist the validation of land use/land cover maps. Int. J. Geogr. Inf. Sci. 2017, 31, 2382–2400. [Google Scholar] [CrossRef]
- Yuan, J.; Zheng, Y.; Xie, X. Discovering regions of different functions in a city using human mobility and POIs. In Proceedings of the ACM SIGKDD International Conference on Knowledge Discovery and Data Mining, Beijing, China, 12–16 August 2012; pp. 186–194. [Google Scholar]
- Liu, X.; Long, Y. Automated identification and characterization of parcels with OpenStreetMap and points of interest. Environ. Plan. B Plan. Des. 2016, 43, 341–360. [Google Scholar] [CrossRef]
- Adams, B.; Mckenzie, G. Inferring Thematic Places from Spatially Referenced Natural Language Descriptions. In Crowdsourcing Geographic Knowledge, 1st ed.; Sui, D., Elwood, S., Goodchild, M., Eds.; Springer: Dordrecht, The Netherlands, 2013; pp. 201–221. [Google Scholar]
- Bao, J.; Xu, C.; Liu, P.; Wang, W. Exploring Bikesharing Travel Patterns and Trip Purposes Using Smart Card Data and Online Point of Interests. Netw. Spat. Econ. 2017, 17, 1231–1253. [Google Scholar] [CrossRef]
- Mimno, D.; McCallum, A. Topic Models Conditioned on Arbitrary Features with Dirichlet-Multinomial Regression. In Proceedings of the Twenty-Fourth Conference on Uncertainty in Artificial Intelligence, Helsinki, Finland, 9–12 July 2008; pp. 411–418. [Google Scholar]
- Gao, S.; Janowicz, K.; Couclelis, H. Extracting urban functional regions from points of interest and human activities on location-based social networks. Trans. GIS 2017, 21, 446–467. [Google Scholar] [CrossRef]
- Zhang, Y.; Brussel, M.J.G.; Thomas, T.; van Maarseveen, M.F.A. Mining bike-sharing travel behavior data: An investigation into trip chains and transition activities. Comput. Environ. Urban Syst. 2018, 69, 39–50. [Google Scholar] [CrossRef]
- Jahanshahi, D.; Minaei, M.; Kharazmi, O.A.; Minaei, F. Evaluation and Relocating Bicycle Sharing Stations in Mashhad City using Multi-Criteria Analysis. Int. J. Trans. Eng. 2019, 6, 265–283. [Google Scholar]
- Wang, Y.; Wang, T.; Tsou, M.; Li, H.; Jiang, W.; Guo, F. Mapping Dynamic Urban Land Use Patterns with Crowdsourced Geo-Tagged Social Media (Sina-Weibo) and Commercial Points of Interest Collections in Beijing, China. Sustainability 2016, 8, 1202. [Google Scholar] [CrossRef]
- Li, G.; Xi, L.; Lun, W.; Yu, L. Inferring trip purposes and uncovering travel patterns from taxi trajectory data. Cartogr. Geogr. Inf. Sci. 2015, 43, 103–114. [Google Scholar]
- Frias-Martinez, V.; Frias-Martinez, E. Spectral clustering for sensing urban land use using Twitter activity. Eng. Appl. Artif. Intell. 2014, 35, 237–245. [Google Scholar] [CrossRef]
- Fan, K.; Zhang, D.; Wang, Y.; Zhao, S. Discovering Urban Social Functional Regions Using Taxi Trajectories. In Proceedings of the 2015 IEEE Conference on Ubiquitous Intelligence and Computing, Oslo, Norway, 23–25 June 2016; pp. 356–359. [Google Scholar]
- Rodrigues, F.; Pereira, F.C.; Alves, A.; Jiang, S.; Ferreira, J. Automatic Classification of Points-of-Interest for Land-use Analysis. In Proceedings of the Fourth International Conference on Advanced Geographic Information Systems, Applications, and Services (GEOProcessing), Valencia, Spain, 30 January–4 February 2012. [Google Scholar]
- Zhan, X.; Ukkusuri, S.V.; Zhu, F. Inferring Urban Land Use Using Large-Scale Social Media Check-in Data. Netw. Spat. Econ. 2014, 14, 647–667. [Google Scholar] [CrossRef]
- Abonyi, J.; Feil, B. Cluster Analysis for Data Mining and System Identification, 1st ed.; Springer Science & Business Media: Basel, Switzerland, 2007. [Google Scholar]
- Jain, A.K.; Dubes, R.C. Algorithms for clustering data. Technometrics 1988, 32, 227–229. [Google Scholar]
- Rousseeuw, P.J. Silhouettes: A graphical aid to the interpretation and validation of cluster analysis. J. Comput. Appl. Math. 1987, 1987, 53–65. [Google Scholar] [CrossRef]
- Kling, F.; Pozdnoukhov, A. When a city tells a story: Urban topic analysis. In Proceedings of the 20th International Conference on Advances in Geographic Information Systems, Redondo Beach, CA, USA, 6–9 November 2012. [Google Scholar]
- Vogel, P.; Greiser, T.; Mattfeld, D.C. Understanding Bike-Sharing Systems using Data Mining: Exploring Activity Patterns. Procedia Soc. Behav. Sci. 2011, 20, 514–523. [Google Scholar] [CrossRef]











| Category | Contents |
|---|---|
| traditional words | and, related, parts, comprehensive |
| spatially referenced words | building, house, center, place, places, area, name |
| non-distinctive words | store, food, restaurant, Chinese, service, company, organization, institution, public |
| General | 2016 Master Plan | Cluster k = 5 | Cluster k = 8 |
|---|---|---|---|
| Business | Educational Land\Business Area\Public facilities | 2 | 1,4 |
| Industrial | Industrial Land | 3 | 2,6 |
| Residential | Residential Area | 0,1,4 | 0,3,5,7 |
| Undetected | Green-land\Rural area\Open space | - | - |
| 2016 Master Plan | Business | Industrial | Residential | Undetected | Overall |
|---|---|---|---|---|---|
| k = 5 | 34.3% | 23.7% | 59.4% | 0% | 39.1% |
| k = 8 | 28.8% | 15.1% | 66.8% | 0% | 36.9% |
| Homogeneity | Completeness | V-Score | |
|---|---|---|---|
| DMR | 0.040 | 0.031 | 0.035 |
| LDA (bicycle data only) | 0.021 | 0.019 | 0.020 |
© 2018 by the authors. Licensee MDPI, Basel, Switzerland. This article is an open access article distributed under the terms and conditions of the Creative Commons Attribution (CC BY) license (http://creativecommons.org/licenses/by/4.0/).
Share and Cite
Zhang, X.; Li, W.; Zhang, F.; Liu, R.; Du, Z. Identifying Urban Functional Zones Using Public Bicycle Rental Records and Point-of-Interest Data. ISPRS Int. J. Geo-Inf. 2018, 7, 459. https://doi.org/10.3390/ijgi7120459
Zhang X, Li W, Zhang F, Liu R, Du Z. Identifying Urban Functional Zones Using Public Bicycle Rental Records and Point-of-Interest Data. ISPRS International Journal of Geo-Information. 2018; 7(12):459. https://doi.org/10.3390/ijgi7120459
Chicago/Turabian StyleZhang, Xiaoyi, Wenwen Li, Feng Zhang, Renyi Liu, and Zhenhong Du. 2018. "Identifying Urban Functional Zones Using Public Bicycle Rental Records and Point-of-Interest Data" ISPRS International Journal of Geo-Information 7, no. 12: 459. https://doi.org/10.3390/ijgi7120459
APA StyleZhang, X., Li, W., Zhang, F., Liu, R., & Du, Z. (2018). Identifying Urban Functional Zones Using Public Bicycle Rental Records and Point-of-Interest Data. ISPRS International Journal of Geo-Information, 7(12), 459. https://doi.org/10.3390/ijgi7120459

