Tourism De-Metropolisation but Not De-Concentration: COVID-19 and World Destinations
Abstract
1. Introduction
2. Materials and Methods
2.1. Delimitation of Tourism Destinations
2.2. Calculating Rates of Change between 2019 and 2020–2022
2.3. Controlling Variables and Linear Mixed-Effects Models
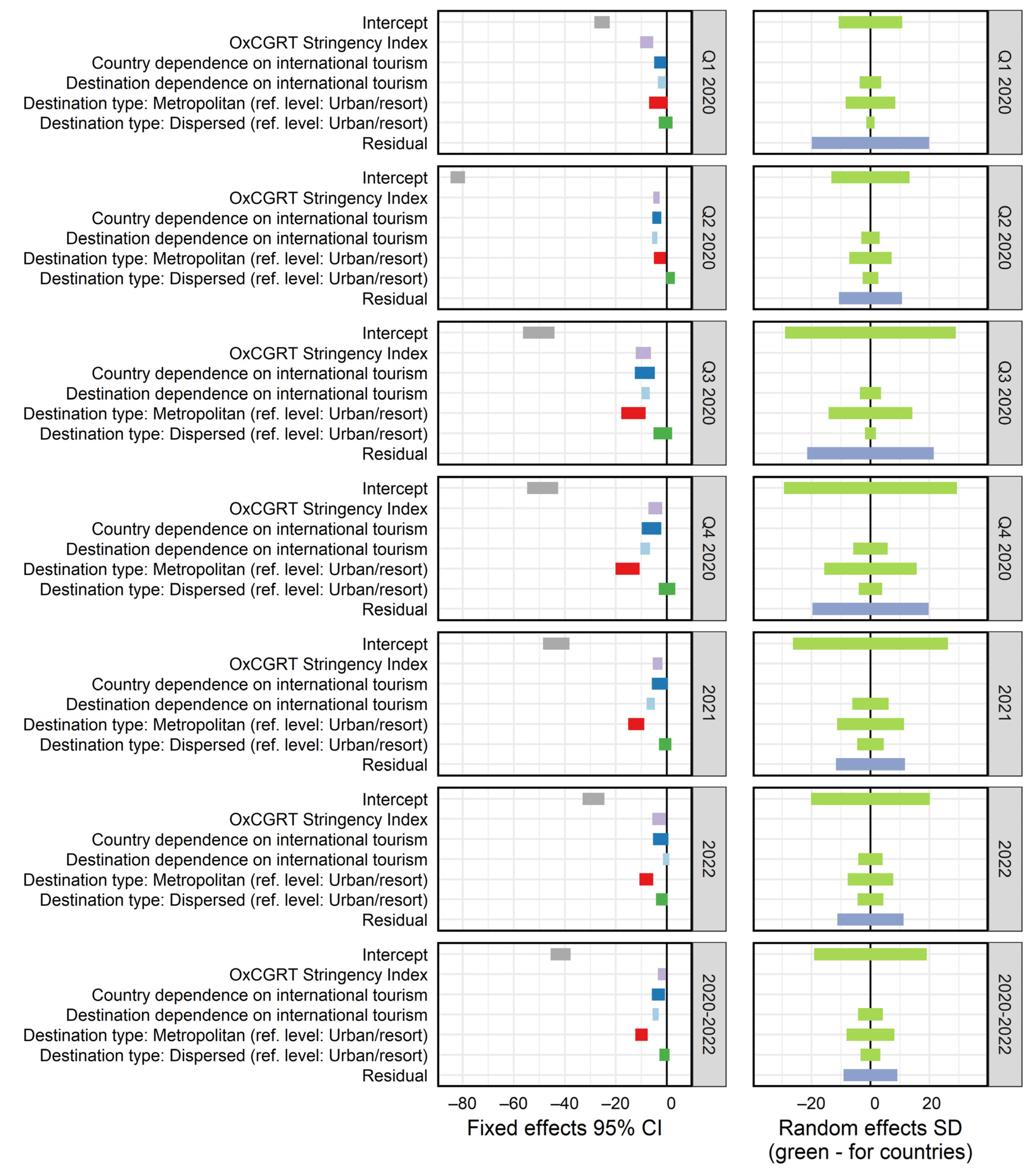
3. Results
4. Discussion
4.1. The Role of Restrictions and Destination Internationalisation
4.2. Towards Tourism De-Metropolisation
4.3. No Tourism De-Concentration
4.4. Limitations of the Study and Methodical Implications
5. Conclusions
Supplementary Materials
Funding
Data Availability Statement
Acknowledgments
Conflicts of Interest
References
- Google COVID-19 Community Mobility Reports. Available online: https://www.google.com/covid19/mobility/ (accessed on 17 May 2022).
- Romanillos, G.; García-Palomares, J.C.; Moya-Gómez, B.; Gutiérrez, J.; Torres, J.; López, M.; Cantú-Ros, O.G.; Herranz, R. The city turned off: Urban dynamics during the COVID-19 pandemic based on mobile phone data. Appl. Geogr. 2021, 134, 102524. [Google Scholar] [CrossRef] [PubMed]
- Gössling, S.; Scott, D.; Hall, C.M. Pandemics, tourism and global change: A rapid assessment of COVID-19. J. Sustain. Tour. 2021, 29, 1–20. [Google Scholar] [CrossRef]
- Fang, Y.; Zhu, L.; Jiang, Y.; Wu, B. The immediate and subsequent effects of public health interventions for COVID-19 on the leisure and recreation industry. Tour. Manag. 2021, 87, 104393. [Google Scholar] [CrossRef]
- UNWTO World Tourism Barometer and Statistical Annex, July 2021. Available online: https://doi.org/10.18111/wtobarometereng.2021.19.1.4 (accessed on 24 September 2021).
- Yang, Y.; Altschuler, B.; Liang, Z.; Li, X.R. Monitoring the global COVID-19 impact on tourism: The COVID-19 tourism index. Ann. Tour. Res. 2021, 90, 103120. [Google Scholar] [CrossRef] [PubMed]
- Duro, J.A.; Perez-Laborda, A.; Turrion-Prats, J.; Fernández-Fernández, M. COVID-19 and tourism vulnerability. Tour. Manag. Perspect. 2021, 38, 100819. [Google Scholar] [CrossRef]
- Jang, S.; Kim, J.; Kim, J.; Kim, S.S. Spatial and experimental analysis of peer-to-peer accommodation consumption during COVID-19. J. Destin. Mark. Manag. 2021, 20, 100563. [Google Scholar] [CrossRef]
- Bae, S.Y.; Chang, P.-J. The effect of coronavirus disease-19 (COVID-19) risk perception on behavioural intention towards ‘untact’ tourism in South Korea during the first wave of the pandemic (March 2020). Curr. Issues Tour. 2021, 24, 1017–1035. [Google Scholar] [CrossRef]
- Miao, L.; Im, J.; Fu, X.; Kim, H.; Zhang, Y.E. Proximal and distal post-COVID travel behavior. Ann. Tour. Res. 2021, 88, 103159. [Google Scholar] [CrossRef]
- Pappas, N. COVID19: Holiday intentions during a pandemic. Tour. Manag. 2021, 84, 104287. [Google Scholar] [CrossRef]
- van Wee, B.; Witlox, F. COVID-19 and its long-term effects on activity participation and travel behaviour: A multiperspective view. J. Transp. Geogr. 2021, 95, 103144. [Google Scholar] [CrossRef]
- Crossley, É. Ecological grief generates desire for environmental healing in tourism after COVID-19. Tour. Geogr. 2020, 22, 536–546. [Google Scholar] [CrossRef]
- González-Reverté, F.; Gomis-López, J.M.; Díaz-Luque, P. Reset or temporary break? Attitudinal change, risk perception and future travel intention in tourists experiencing the COVID-19 pandemic. J. Tour. Futures 2022, 4, 249–264. [Google Scholar] [CrossRef]
- Kock, F.; Nørfelt, A.; Josiassen, A.; Assaf, A.G.; Tsionas, M.G. Understanding the COVID-19 tourist psyche: The Evolutionary Tourism Paradigm. Ann. Tour. Res. 2020, 85, 103053. [Google Scholar] [CrossRef] [PubMed]
- Li, X.; Gong, J.; Gao, B.; Yuan, P. Impacts of COVID-19 on tourists’ destination preferences: Evidence from China. Ann. Tour. Res. 2021, 90, 103258. [Google Scholar] [CrossRef] [PubMed]
- Park, I.-J.; Kim, J.; Kim, S.S.; Lee, J.C.; Giroux, M. Impact of the COVID-19 pandemic on travelers’ preference for crowded versus non-crowded options. Tour. Manag. 2021, 87, 104398. [Google Scholar] [CrossRef]
- Arbulú, I.; Razumova, M.; Rey-Maquieira, J.; Sastre, F. Can domestic tourism relieve the COVID-19 tourist industry crisis? The case of Spain. J. Destin. Mark. Manag. 2021, 20, 100568. [Google Scholar] [CrossRef]
- Matsuura, T.; Saito, H. The COVID-19 pandemic and domestic travel subsidies. Ann. Tour. Res. 2022, 92, 103326. [Google Scholar] [CrossRef]
- UNWTO Briefing Note–Tourism and COVID-19, Issue 3. Understanding Domestic Tourism and Seizing Its Opportunities. Available online: https://www.e-unwto.org/doi/book/10.18111/9789284422111 (accessed on 12 October 2020).
- Nilsson, J.H. Conceptualizing and contextualising overtourism: The dynamics of accelerating urban tourism. Int. J. Tour. Cities 2020, 6, 657–671. [Google Scholar] [CrossRef]
- Postma, A.; Buda, D.-M.; Gugerell, K. The future of city tourism. J. Tour. Futures 2017, 3, 95–101. [Google Scholar] [CrossRef]
- Desvars-Larrive, A.; Dervic, E.; Haug, N.; Niederkrotenthaler, T.; Chen, J.; Di Natale, A.; Lasser, J.; Gliga, D.S.; Roux, A.; Sorger, J.; et al. A structured open dataset of government interventions in response to COVID-19. Sci. Data 2020, 7, 285. [Google Scholar] [CrossRef]
- Anguera-Torrell, O.; Vives-Perez, J.; Aznar-Alarcón, J.P. Urban tourism performance index over the COVID-19 pandemic. Int. J. Tour. Cities 2021, 7, 565–582. [Google Scholar] [CrossRef]
- Jiricka-Pürrer, A.; Brandenburg, C.; Pröbstl-Haider, U. City tourism pre- and post-covid-19 pandemic–Messages to take home for climate change adaptation and mitigation? J. Outdoor Recreat. Tour. 2020, 31, 100329. [Google Scholar] [CrossRef]
- Kowalczyk-Anioł, J.; Grochowicz, M.; Pawlusiński, R. How a Tourism City Responds to COVID-19: A CEE Perspective (Kraków Case Study). Sustainability 2021, 13, 7914. [Google Scholar] [CrossRef]
- Silva Lopes, H.; Remoaldo, P.C.; Ribeiro, V.; Martín-Vide, J. Effects of the COVID-19 Pandemic on Tourist Risk Perceptions—The Case Study of Porto. Sustainability 2021, 13, 6399. [Google Scholar] [CrossRef]
- Baert, S.; Lippens, L.; Moens, E.; Sterkens, P.; Weytjens, J. The COVID-19 Crisis and Telework: A Research Survey on Experiences, Expectations and Hopes; Institute of Labor Economics: Bonn, Germany, 2020; Available online: http://ftp.iza.org/dp13229.pdf (accessed on 22 March 2023).
- Sorenson, J. The Journey Ahead: How the Pandemic and Technology Will Change Airline Business Travel; IdeaWorksCompany: Shorewood, IL, USA, 2020; Available online: https://ideaworkscompany.com/wp-content/uploads/2020/12/Journey-Ahead-Airline-Business.pdf (accessed on 22 March 2023).
- Adamiak, C. Najem krótkoterminowy w Polsce w czasie pandemii COVID-19. Czas. Geogr. 2022, 93, 9–32. [Google Scholar] [CrossRef]
- Šulc, I.; Fuerst-Bjeliš, B. Changes of tourism trajectories in (post)covidian world: Croatian perspectives. Res. Glob. 2021, 3, 100052. [Google Scholar] [CrossRef]
- Marques, C.P.; Guedes, A.; Bento, R. Rural tourism recovery between two COVID-19 waves: The case of Portugal. Curr. Issues Tour. 2022, 25, 857–863. [Google Scholar] [CrossRef]
- Seraphin, H.; Dosquet, F. Mountain tourism and second home tourism as post COVID-19 lockdown placebo? Worldw. Hosp. Tour. Themes 2020, 12, 485–500. [Google Scholar] [CrossRef]
- Vaishar, A.; Šťastná, M. Impact of the COVID-19 pandemic on rural tourism in Czechia Preliminary considerations. Curr. Issues Tour. 2022, 25, 187–191. [Google Scholar] [CrossRef]
- Assaf, A.G.; Kock, F.; Tsionas, M. Tourism during and after COVID-19: An Expert-Informed Agenda for Future Research. J. Travel Res. 2022, 61, 454–457. [Google Scholar] [CrossRef]
- Gierczak-Korzeniowska, B.; Szpara, K.; Stopa, M. Regional tourism during the COVID-19 pandemic: Losses, missed opportunities and new developments for the tourism industry. Turyzm/Tourism 2021, 31, 65–86. [Google Scholar] [CrossRef]
- Ma, A.T.H.; Lam, T.W.L.; Cheung, L.T.O.; Fok, L. Protected areas as a space for pandemic disease adaptation: A case of COVID-19 in Hong Kong. Landsc. Urban Plan. 2021, 207, 103994. [Google Scholar] [CrossRef] [PubMed]
- Poortinga, W.; Bird, N.; Hallingberg, B.; Phillips, R.; Williams, D. The role of perceived public and private green space in subjective health and wellbeing during and after the first peak of the COVID-19 outbreak. Landsc. Urban Plan. 2021, 211, 104092. [Google Scholar] [CrossRef] [PubMed]
- Venter, Z.S.; Barton, D.N.; Gundersen, V.; Figari, H.; Nowell, M.S. Back to nature: Norwegians sustain increased recreational use of urban green space months after the COVID-19 outbreak. Landsc. Urban Plan. 2021, 214, 104175. [Google Scholar] [CrossRef]
- Moreno-Luna, L.; Robina-Ramírez, R.; Sánchez, M.S.-O.; Castro-Serrano, J. Tourism and Sustainability in Times of COVID-19: The Case of Spain. Int. J. Environ. Res. Public Health 2021, 18, 1859. [Google Scholar] [CrossRef]
- Panzer-Krause, S. Rural Tourism in and after the COVID-19 Era: “Revenge Travel” or Chance for a Degrowth-Oriented Restart? Cases from Ireland and Germany. Tour. Hosp. 2022, 3, 399–415. [Google Scholar] [CrossRef]
- McKenzie, G.; Adams, B. A country comparison of place-based activity response to COVID-19 policies. Appl. Geogr. 2020, 125, 102363. [Google Scholar] [CrossRef] [PubMed]
- Gallego, I.; Font, X. Changes in air passenger demand as a result of the COVID-19 crisis: Using Big Data to inform tourism policy. J. Sustain. Tour. 2021, 29, 1470–1489. [Google Scholar] [CrossRef]
- Napierała, T.; Leśniewska-Napierała, K.; Burski, R. Impact of Geographic Distribution of COVID-19 Cases on Hotels’ Performances: Case of Polish Cities. Sustainability 2020, 12, 4697. [Google Scholar] [CrossRef]
- Piccinelli, S.; Moro, S.; Rita, P. Air-travelers’ concerns emerging from online comments during the COVID-19 outbreak. Tour. Manag. 2021, 85, 104313. [Google Scholar] [CrossRef]
- Suau-Sanchez, P.; Voltes-Dorta, A.; Cugueró-Escofet, N. An early assessment of the impact of COVID-19 on air transport: Just another crisis or the end of aviation as we know it? J. Transp. Geogr. 2020, 81, 102749. [Google Scholar] [CrossRef]
- Benítez-Aurioles, B. How the peer-to-peer market for tourist accommodation has responded to COVID-19. Int. J. Tour. Cities 2022, 8, 379–392. [Google Scholar] [CrossRef]
- Boros, L.; Dudás, G.; Kovalcsik, T. The effects of COVID-19 on Airbnb. Hung. Geogr. Bull. 2020, 69, 363–381. [Google Scholar] [CrossRef]
- Gyódi, K. Airbnb and hotels during COVID-19: Different strategies to survive. Int. J. Cult. Tour. Hosp. Res. 2021, 16, 168–192. [Google Scholar] [CrossRef]
- Hu, M.R.; Lee, A.D. Airbnb, COVID-19 Risk and Lockdowns: Global Evidence. 2020. Available online: https://papers.ssrn.com/sol3/papers.cfm?abstract_id=3589141 (accessed on 28 November 2020).
- Nhamo, G.; Dube, K.; Chikodzi, D. Impacts and Implications of COVID-19 on the Global Hotel Industry and Airbnb. In Counting the Cost of COVID-19 on the Global Tourism Industry; Nhamo, G., Dube, K., Chikodzi, D., Eds.; Springer: Cham, Switzerland, 2020; pp. 183–204. [Google Scholar] [CrossRef]
- Romano, A. The shifting geographies of digital intermediation: The effects of the COVID-19 pandemic on short-term rentals in Italian cities. Digit. Geogr. Soc. 2021, 2, 100019. [Google Scholar] [CrossRef]
- Adamiak, C.; Szyda, B. Combining Conventional Statistics and Big Data to Map Global Tourism Destinations Before COVID-19. J. Travel Res. 2022, 61, 1848–1871. [Google Scholar] [CrossRef]
- Cebeillac, A.; Vaguet, Y. What can we learn from Airbnb data on tourist flows? A case study on Iceland. Espace Popul. Sociétés 2021, 1–22. [Google Scholar] [CrossRef]
- Adamiak, C. Current state and development of Airbnb accommodation offer in 167 countries. Curr. Issues Tour. 2022, 25, 3131–3149. [Google Scholar] [CrossRef]
- Li, J.; Xu, L.; Tang, L.; Wang, S.; Li, L. Big data in tourism research: A literature review. Tour. Manag. 2018, 68, 301–323. [Google Scholar] [CrossRef]
- Ester, M.; Kriegel, H.-P.; Sander, J.; Xu, X. A Density-Based Algorithm for Discovering Clusters in Large Spatial Databases with Noise. In KDD-96 Proceedings; University of Munich: Munich, Germany, 1996; pp. 226–231. Available online: https://www.aaai.org/Papers/KDD/1996/KDD96-037.pdf (accessed on 1 March 2023).
- Hahsler, M.; Piekenbrock, M.; Doran, D. dbscan: Fast Density-Based Clustering with R. J. Stat. Softw. 2019, 91, 1–30. [Google Scholar] [CrossRef]
- The World According to GaWC 2020. Available online: https://www.lboro.ac.uk/gawc/world2020t.html (accessed on 4 January 2021).
- Natural Earth. Available online: https://www.naturalearthdata.com/ (accessed on 4 January 2021).
- NUTS–Nomenclature of Territorial Units for Statistics Statistics: Background. Available online: https://ec.europa.eu/eurostat/web/nuts/background (accessed on 15 February 2021).
- Fradkin, A.; Grewal, E.; Holtz, D. The Determinants of Online Review Informativeness: Evidence from Field Experiments on Airbnb. SSRN Electron. J. 2018, 41, 1–12. [Google Scholar] [CrossRef]
- About Inside Airbnb. Available online: http://insideairbnb.com/about.html (accessed on 15 February 2021).
- Wickham, H. Httr: Tools for Working with URLs and HTTP. R Package Version 1.4.2. Available online: https://CRAN.R-project.org/package=httr (accessed on 22 March 2023).
- Ye, J.; Goh, B. Airbnb to shut domestic business in China from July 30. Reuters 2022. Available online: https://www.reuters.com/markets/asia/airbnb-says-will-shut-domestic-business-china-july-30-2022-05-24 (accessed on 6 February 2023).
- Malik, A. Airbnb suspends all operations in Russia and Belarus. TechCrunch 2022. Available online: https://techcrunch.com/2022/03/04/airbnb-suspends-all-operations-in-russia-and-belarus (accessed on 6 February 2023).
- Eurostat. Arrivals at Tourist Accommodation Establishments–Monthly Data. Available online: https://ec.europa.eu/eurostat/databrowser/view/tour_occ_arm/default/table?lang=en (accessed on 6 February 2023).
- Cheng, J.; Karambelkar, B.; Xie, Y. Leaflet: Create Interactive Web Maps with the JavaScript ‘Leaflet’ Library. R Package Version 2.0.4.1. Available online: https://CRAN.R-project.org/package=leaflet (accessed on 22 March 2023).
- Pedersen, T.L. Ggforce: Accelerating ‘ggplot2’. R Package Version 0.3.3. Available online: https://CRAN.R-project.org/package=ggforce (accessed on 22 March 2023).
- Tennekes, M. tmap: Thematic Maps in R. J. Stat. Softw. 2018, 84, 1–39. [Google Scholar] [CrossRef]
- Wickham, H. ggplot2: Elegant Graphics for Data Analysis, 2nd ed.; Springer: New York, NY, USA, 2016. [Google Scholar]
- Hale, T.; Angrist, N.; Goldszmidt, R.; Kira, B.; Petherick, A.; Phillips, T.; Webster, S.; Cameron-Blake, E.; Hallas, L.; Majumdar, S.; et al. A global panel database of pandemic policies (Oxford COVID-19 Government Response Tracker). Nat. Hum. Behav. 2021, 5, 529–538. [Google Scholar] [CrossRef]
- Gyimóthy, S.; Braun, E.; Zenker, S. Travel-at-home: Paradoxical effects of a pandemic threat on domestic tourism. Tour. Manag. 2022, 93, 104613. [Google Scholar] [CrossRef]
- The World Bank TCdata360. Available online: https://tcdata360.worldbank.org/ (accessed on 1 February 2022).
- Eurostat. Arrivals at Tourist Accommodation Establishments by NUTS 2 Regions. Available online: https://ec.europa.eu/eurostat/databrowser/view/tour_occ_arn2/default/table?lang=en (accessed on 6 February 2023).
- Barr, D.J.; Levy, R.; Scheepers, C.; Tily, H.J. Random effects structure for confirmatory hypothesis testing: Keep it maximal. J. Mem. Lang. 2013, 68, 255–278. [Google Scholar] [CrossRef] [PubMed]
- Bates, D.; Mächler, M.; Bolker, B.; Walker, S. Fitting Linear Mixed-Effects Models Using lme4. J. Stat. Softw. 2015, 67, 48. [Google Scholar] [CrossRef]
- Okafor, L.; Yan, E. COVID-19 vaccines, rules, deaths, and tourism recovery. Ann. Tour. Res. 2022, 95, 103424. [Google Scholar] [CrossRef] [PubMed]
- UN News. Tedros: COVID-19 Remains an International Health Threat. 2023. Available online: https://news.un.org/en/story/2023/01/1132977 (accessed on 1 February 2023).
- Kock, F.; Josiassen, A.; Assaf, A.G. The xenophobic tourist. Ann. Tour. Res. 2019, 74, 155–166. [Google Scholar] [CrossRef]
- Ioannides, D.; Gyimóthy, S. The COVID-19 crisis as an opportunity for escaping the unsustainable global tourism path. Tour. Geogr. 2020, 22, 624–632. [Google Scholar] [CrossRef]
- Niewiadomski, P. COVID-19: From temporary de-globalisation to a re-discovery of tourism? Tour. Geogr. 2020, 22, 651–656. [Google Scholar] [CrossRef]
- Scott, N.; Laws, E. Tourism crises and disasters: Enhancing understanding of system effects. J. Travel Tour. Mark. 2005, 19, 149–158. [Google Scholar] [CrossRef]
- Zenker, S.; Kock, F. The coronavirus pandemic–A critical discussion of a tourism research agenda. Tour. Manag. 2020, 81, 104164. [Google Scholar] [CrossRef] [PubMed]
- Fox, L. Airbnb’s Brian Chesky on permanent shifts in travel and need for principles in a crisis. PhocusWire 2021, January 18. Available online: https://www.phocuswire.com/Airbnb-travel-trends-and-crises (accessed on 22 March 2023).
- Müller, A.; Wittmer, A. The choice between business travel and video conferencing after COVID-19–Insights from a choice experiment among frequent travelers. Tour. Manag. 2023, 96, 104688. [Google Scholar] [CrossRef] [PubMed]
- Kong, X.; Zhang, A.; Xiao, X.; Das, S.; Zhang, Y. Work from home in the post-COVID world. Case Stud. Transp. Policy 2022, 10, 1118–1131. [Google Scholar] [CrossRef]
- Robinson, B. Remote Work Is Here to Stay and Will Increase into 2023, Experts Say. Forbes 2022. Available online: https://www.forbes.com/sites/bryanrobinson/2022/02/01/remote-work-is-here-to-stay-and-will-increase-into-2023-experts-say (accessed on 22 March 2023).
- Caldarola, B.; Sorrell, S. Do teleworkers travel less? Evidence from the English National Travel Survey. Transp. Res. Part A Policy Pract. 2022, 159, 282–303. [Google Scholar] [CrossRef]
- Wöhner, F. Work flexibly, travel less? The impact of telework and flextime on mobility behavior in Switzerland. J. Transp. Geogr. 2022, 102, 103390. [Google Scholar] [CrossRef]
- Ateljevic, I. Transforming the (tourism) world for good and (re)generating the potential ‘new normal’. Tour. Geogr. 2020, 22, 467–475. [Google Scholar] [CrossRef]
- Koens, K.; Postma, A.; Papp, B. Is Overtourism Overused? Understanding the Impact of Tourism in a City Context. Sustainability 2018, 10, 4384. [Google Scholar] [CrossRef]
- Milano, C. Overtourism and Tourismphobia: Global Trends and Local Contexts; Ostelea School of Tourism & Hospitality: Barcelona, Spain, 2017. [Google Scholar] [CrossRef]
- Kadi, J.; Schneider, A.; Seidl, R. Short-term Rentals, Housing Markets and COVID-19: Theoretical Considerations and Empirical Evidence from Four Austrian Cities. Crit. Hous. Anal. 2020, 7, 47–57. [Google Scholar] [CrossRef]
- Koh, E. The end of over-tourism? Opportunities in a post-COVID-19 world. Int. J. Tour. Cities 2020, 6, 1015–1023. [Google Scholar] [CrossRef]
- Dolnicar, S.; Zare, S. COVID-19 and Airbnb–Disrupting the Disruptor. Ann. Tour. Res. 2020, 83, 102961. [Google Scholar] [CrossRef] [PubMed]
- Cocola-Gant, A. Tourist Apartments, COVID-19, And Platform Capitalism. Finisterra 2020, 55, 211–216. [Google Scholar] [CrossRef]
- Marona, B.; Tomal, M. The COVID-19 pandemic impact upon housing brokers’ workflow and their clients’ attitude: Real estate market in Krakow. Entrep. Bus. Econ. Rev. 2020, 8, 221–232. [Google Scholar] [CrossRef]
- Sequera, J.; Nofre, J.; Díaz-Parra, I.; Gil, J.; Yrigoy, I.; Mansilla, J.; Sánchez, S. The impact of COVID-19 on the short-term rental market in Spain: Towards flexibilisation? Cities 2022, 130, 103912. [Google Scholar] [CrossRef]
- Schuckert, M.; Liu, X.; Law, R. Hospitality and Tourism Online Reviews: Recent Trends and Future Directions. J. Travel Tour. Mark. 2015, 32, 608–621. [Google Scholar] [CrossRef]
- Huang, X.; Li, X.; Lu, L. Travel shaming? Rethinking travel decision making amid a global pandemic. Tour. Manag. 2023, 94, 104658. [Google Scholar] [CrossRef]
- Kuhn, F.; Kock, F.; Lohmann, M. The impact of the SARS-CoV-2 pandemic on tourists’ personal prestige–an experimental study. Int. J. Cult. Tour. Hosp. Res. 2022, 16, 238–258. [Google Scholar] [CrossRef]
- Adamiak, C.; Szyda, B.; Dubownik, A.; García-Álvarez, D. Airbnb Offer in Spain—Spatial Analysis of the Pattern and Determinants of Its Distribution. ISPRS Int. J. Geo-Inf. 2019, 8, 155. [Google Scholar] [CrossRef]
- Medeiros, M.; Xie, J.; Severt, D. Exploring relative resilience of Airbnb and hotel industry to risks and external shocks. Scand. J. Hosp. Tour. 2022, 22, 274–283. [Google Scholar] [CrossRef]
- Sanford, W.; DuBois, D. COVID-19 Impact on Hotels and Short-Term Rentals; AirDNA: Denver, CO, USA, 2020; Available online: https://airdna-website-reports.s3.amazonaws.com/documentation/Hotels+vs+Short+Term+Rentals.pdf (accessed on 22 March 2023).
- Ali, R. How Domestic Travel & Long-Term Stays Saved Airbnb in Pandemic Era. Skift.com. 16 November 2020. Available online: https://skift.com/2020/11/16/how-domestic-travel-long-term-stays-saved-airbnb-in-pandemic-era/ (accessed on 22 March 2023).
- Aharon, D.Y.; Jacobi, A.; Cohen, E.; Tzur, J.; Qadan, M. COVID-19, government measures and hospitality industry performance. PLoS ONE 2021, 16, e0255819. [Google Scholar] [CrossRef]
- Milone, F.L.; Gunter, U.; Zekan, B. The pricing of European airbnb listings during the pandemic: A difference-in-differences approach employing COVID-19 response strategies as a continuous treatment. Tour. Manag. 2023, 97, 104738. [Google Scholar] [CrossRef] [PubMed]
- Wang, Y.; Zhang, H.; Gao, W.; Yang, C. COVID-19-related government interventions and travel and leisure stock. J. Hosp. Tour. Manag. 2021, 49, 189–194. [Google Scholar] [CrossRef]
- Liang, S.; Leng, H.; Yuan, Q.; Yuan, C. Impact of the COVID-19 pandemic: Insights from vacation rentals in twelve mega cities. Sustain. Cities Soc. 2021, 74, 103121. [Google Scholar] [CrossRef] [PubMed]






| Clustering Parameter | Condition for a Country | Value |
|---|---|---|
| ε | 4 km | |
| 2 km | ||
| minPts | 3 | |
| Minimum cluster size | 100 | |
| Type of Destination | Delimitation of Destination | Conditions | Minimum Listings Number | Number of Destinations |
|---|---|---|---|---|
| Metropolitan | Cluster | Capital cities or 1 million + cities or GaWC Research Network (2021) global cities (at least “Sufficiency” level) | 100 or more (see Table 1) | 308 |
| Urban/resort | Cluster | Listings per population ratio at least 3× higher than in the country or at least 3× higher than the mean for countries | 100 or more (see Table 1) | 684 |
| Dispersed | Administrative units | Excluding all clusters and urbanised areas | 100 | 434 |
| No. | Country | Total Destinations | Metropolitan, Urban/Resort, Dispersed Destinations | Top Metropolitan Destination (Thous. Valid Listings) | Top Urban/Resort Destination (Thous. Valid Listings) | Top Dispersed Destination (Thous. Valid Listings) |
|---|---|---|---|---|---|---|
| 1. | United States | 118 | 29, 41, 48 | Los Angeles (6.9) | Panama City (2.2) | California (6.7) |
| 2. | France | 84 | 10, 48, 26 | Paris (12.1) | Avignon (3.8) | Rhône-Alpes (6.4) |
| 3. | Italy | 71 | 8, 42, 21 | Rome (9.0) | La Spezia (5.1) | Toscana (5.5) |
| 4. | China | 55 | 21, 14, 20 | Shanghai (2.7) | Dali (1.0) | Zhejiang (1.2) |
| 4. | United Kingdom | 55 | 9, 15, 31 | London (8.5) | Brighton (0.8) | Highlands and Islands (3.2) |
| 6. | Mexico | 52 | 7, 28, 17 | Mexico City (4.2) | Puerto Vallarta (2.6) | Jalisco (0.7) |
| 7. | Germany | 51 | 12, 6, 33 | Köln (3.3) | Lübeck (0.4) | Mecklenburg-Vorpommern (1.7) |
| 7. | Spain | 51 | 5, 29, 17 | Barcelona (5.0) | Marbella (3.9) | Andalucía (3.2) |
| 9. | Greece | 39 | 1, 26, 12 | Athens (3.5) | Chaniá (2.0) | Notio Aigaio (2.2) |
| 10. | Brazil | 37 | 8, 20, 9 | Rio de Janeiro (4.3) | Florianópolis (3.0) | Rio de Janeiro (1.2) |
| Country | Number of NUTS-2 Regions | The Average Percentage of International Tourists by Eurostat | The Average Percentage of Airbnb Comments in Foreign Languages | R2 (Weighted by Total Tourist Stays) |
|---|---|---|---|---|
| Germany | 35 | 15.2 | 31.9 | 0.929 |
| United Kingdom 1 | 31 | 29.1 | 1.4 | 0.535 |
| France | 21 | 21.9 | 18.4 | 0.922 |
| Italy | 21 | 39.8 | 62.5 | 0.788 |
| Spain | 17 | 24.5 | 37.5 | 0.853 |
| Greece | 12 | 61.7 | 82.1 | 0.810 |
| Netherlands | 11 | 30.5 | 40.7 | 0.845 |
| Poland | 9 | 19.0 | 56.4 | 0.849 |
| Austria | 8 | 63.7 | 51.7 | 0.072 |
| Sweden | 8 | 21.5 | 66.8 | 0.711 |
| Germany | 35 | 15.2 | 31.9 | 0.929 |
| Variable | Min | Median | Mean | Max | SD |
|---|---|---|---|---|---|
| OxCGRT Stringency Index: Q1 2020 | 2.1 | 24.5 | 26.1 | 88.9 | 10.4 |
| OxCGRT Stringency Index: Q2 2020 | 19.4 | 73.0 | 73.0 | 99.1 | 11.3 |
| OxCGRT Stringency Index: Q3 2020 | 17.6 | 58.5 | 58.5 | 89.4 | 14.2 |
| OxCGRT Stringency Index: Q4 2020 | 8.3 | 64.3 | 60.6 | 85.7 | 13.0 |
| OxCGRT Stringency Index: 2021 | 7.3 | 53.6 | 54.4 | 84.1 | 10.2 |
| OxCGRT Stringency Index: 2022 | 9.4 | 24.2 | 25.3 | 74.2 | 10.2 |
| OxCGRT Stringency Index: mean 2020–2022 | 13.2 | 57.6 | 56.4 | 76.1 | 8.9 |
| Country dependence on international tourism | 3.3 | 29.1 | 39.7 | 96.9 | 23.8 |
| Destination dependence on international tourism | −3.1 | −0.1 | 0.0 | 4.7 | 0.9 |
| Change | Min | Median | Mean | Max | SD |
|---|---|---|---|---|---|
| Q1 2019 to Q1 2020 | 1426 | −100.0 | −26.9 | −27.8 | 410.7 |
| Q2 2019 to Q2 2020 | 1426 | −100.0 | −84.8 | −78.3 | 27.5 |
| Q3 2019 to Q3 2020 | 1426 | −100.0 | −41.2 | −40.4 | 290.0 |
| Q4 2019 to Q4 2020 | 1426 | −100.0 | −49.0 | −43.8 | 233.3 |
| 2019 to 2021 | 1426 | −100.0 | −35.3 | −35.8 | 55.8 |
| 2019 to 2022 | 1350 | −99.5 | −22.0 | −24.6 | 58.0 |
| 2019 to mean 2020–2022 | 1350 | −97.0 | −34.6 | −35.8 | 35.7 |
| Change | Mean % Change (SD in Parenthesis) | F (p) | Pairwise t (Bonferroni Corrected p in Parenthesis) | ||||
|---|---|---|---|---|---|---|---|
| Metropolitan | Urban/Resort | Dispersed | Metropolitan- Urban/Resort | Metropolitan- Dispersed | Urban/Resort- Dispersed | ||
| Q1 2019 to Q1 2020 1 | −31.3 (33.9) | −27.4 (23.9) | −25.9 (19.6) | 4.271 (0.014) | 2.244 (0.075) | 2.872 (0.012) | 0.977 (0.986) |
| Q2 2019 to Q2 2020 1 | −83.4 (13.0) | −80.5 (20.2) | −71.3 (22.3) | 42.745 (<0.001) | 2.147 (0.096) | 8.311 (<0.001) | 7.688 (<0.001) |
| Q3 2019 to Q3 2020 1 | −58.7 (25.8) | −39.4 (40.8) | −28.9 (31.9) | 64.698 (<0.001) | 7.968 (<0.001) | 11.331 (<0.001) | 4.848 (<0.001) |
| Q4 2019 to Q4 2020 1 | −60.4 (23.1) | −40.8 (38.9) | −35.2 (34.3) | 49.735 (<0.001) | 7.809 (<0.001) | 9.752 (<0.001) | 3.107 (0.006) |
| 2019 to 2021 1 | −52.4 (19.4) | −33.1 (30.0) | −28.3 (26.6) | 78.411 (<0.001) | 10.424 (<0.001) | 11.981 (<0.001) | 2.890 (0.012) |
| 2019 to 2022 2 | −34.4 (17.9) | −21.9 (21.3) | −22.2 (15.8) | 46.850 (<0.001) | 9.197 (<0.001) | 8.262 (<0.001) | −0.229 (1.000) |
| 2019 to 2020–2022 2 | −49.1 (14.0) | −34.1 (21.6) | −29.6 (18.2) | 89.866 (<0.001) | 10.891 (<0.001) | 13.014 (<0.001) | 3.726 (0.001) |
| Q1 2020 | Q2 2020 | Q3 2020 | Q4 2020 | 2021 | 2022 | 2022–2020 | |
|---|---|---|---|---|---|---|---|
| N | 1426 | 1426 | 1426 | 1426 | 1426 | 1350 | 1350 |
| Fixed effects coefficient estimates (95% confidence intervals): | |||||||
| Intercept | −28.4, −22.3 | −84.8, −79.1 | −56.4, −44.0 | −54.7, −42.6 | −48.5, −38.2 | −33.0, −24.5 | −45.6, −37.7 |
| CGRT Stringency Index for respective period (standardised) | −10.5, −5.4 | −5.4, −2.8 | −12.2, −6.3 | −7.3, −1.8 | −5.6, −1.7 | −5.7, −0.5 | −3.5, −0.4 |
| Country dependence on international tourism (standardised) | −5.0, −0.2 | −5.7, −2.2 | −12.5, −4.7 | −9.8, −2.2 | −5.9, 0.5 | −5.4, 0.6 | −5.9, −0.8 |
| Destination dependence on international tourism (standardised within countries) | −3.5, −0.3 | −5.8, −3.7 | −12.5, −4.7 | −10.4, −6.6 | −7.9, −4.7 | −1.6, 1.0 | −5.6, −3.2 |
| Destination type: Metropolitan (reference level: Urban/resort) | −7.0, 0.3 | −5.0, −0.4 | −17.9, −8.3 | −20.1, −10.6 | −15.2, −8.9 | −10.7, −5.4 | −12.4, −7.5 |
| Destination type: Dispersed (reference level: Urban/resort) | −3.2, 2.2 | −0.3, 3.1 | −5.2, 2.1 | −3.2, 3.3 | −3.1, 1.8 | −4.3, 0.3 | −2.9, 1.0 |
| Random effects for countries (SD): | |||||||
| Intercept | 10.8 | 13.3 | 29.0 | 29.4 | 26.3 | 20.1 | 19.2 |
| Destination dependence on international tourism (standardised within countries) | 3.7 | 3.1 | 3.6 | 5.9 | 6.2 | 4.1 | 4.2 |
| Destination type: Metropolitan (reference level: Urban/resort) | 8.4 | 7.2 | 14.3 | 15.7 | 11.4 | 7.7 | 8.1 |
| Destination type: Dispersed (reference level: Urban/resort) | 1.4 | 2.6 | 1.8 | 4.0 | 4.6 | 4.4 | 3.4 |
| Residual | 19.9 | 10.7 | 21.5 | 19.7 | 11.8 | 11.3 | 9.1 |
Disclaimer/Publisher’s Note: The statements, opinions and data contained in all publications are solely those of the individual author(s) and contributor(s) and not of MDPI and/or the editor(s). MDPI and/or the editor(s) disclaim responsibility for any injury to people or property resulting from any ideas, methods, instructions or products referred to in the content. |
© 2023 by the author. Licensee MDPI, Basel, Switzerland. This article is an open access article distributed under the terms and conditions of the Creative Commons Attribution (CC BY) license (https://creativecommons.org/licenses/by/4.0/).
Share and Cite
Adamiak, C. Tourism De-Metropolisation but Not De-Concentration: COVID-19 and World Destinations. ISPRS Int. J. Geo-Inf. 2023, 12, 139. https://doi.org/10.3390/ijgi12040139
Adamiak C. Tourism De-Metropolisation but Not De-Concentration: COVID-19 and World Destinations. ISPRS International Journal of Geo-Information. 2023; 12(4):139. https://doi.org/10.3390/ijgi12040139
Chicago/Turabian StyleAdamiak, Czesław. 2023. "Tourism De-Metropolisation but Not De-Concentration: COVID-19 and World Destinations" ISPRS International Journal of Geo-Information 12, no. 4: 139. https://doi.org/10.3390/ijgi12040139
APA StyleAdamiak, C. (2023). Tourism De-Metropolisation but Not De-Concentration: COVID-19 and World Destinations. ISPRS International Journal of Geo-Information, 12(4), 139. https://doi.org/10.3390/ijgi12040139

