The Evaluation of Temporal and Spatial Trends of Global Warming and Extreme Ocean Surface Temperatures: A Case Study of Canada
Abstract
:1. Introduction
2. Materials and Methods
2.1. Research Object and Data Source
2.2. Multiple Linear Regression
2.3. Pearson Analysis of the Relationship
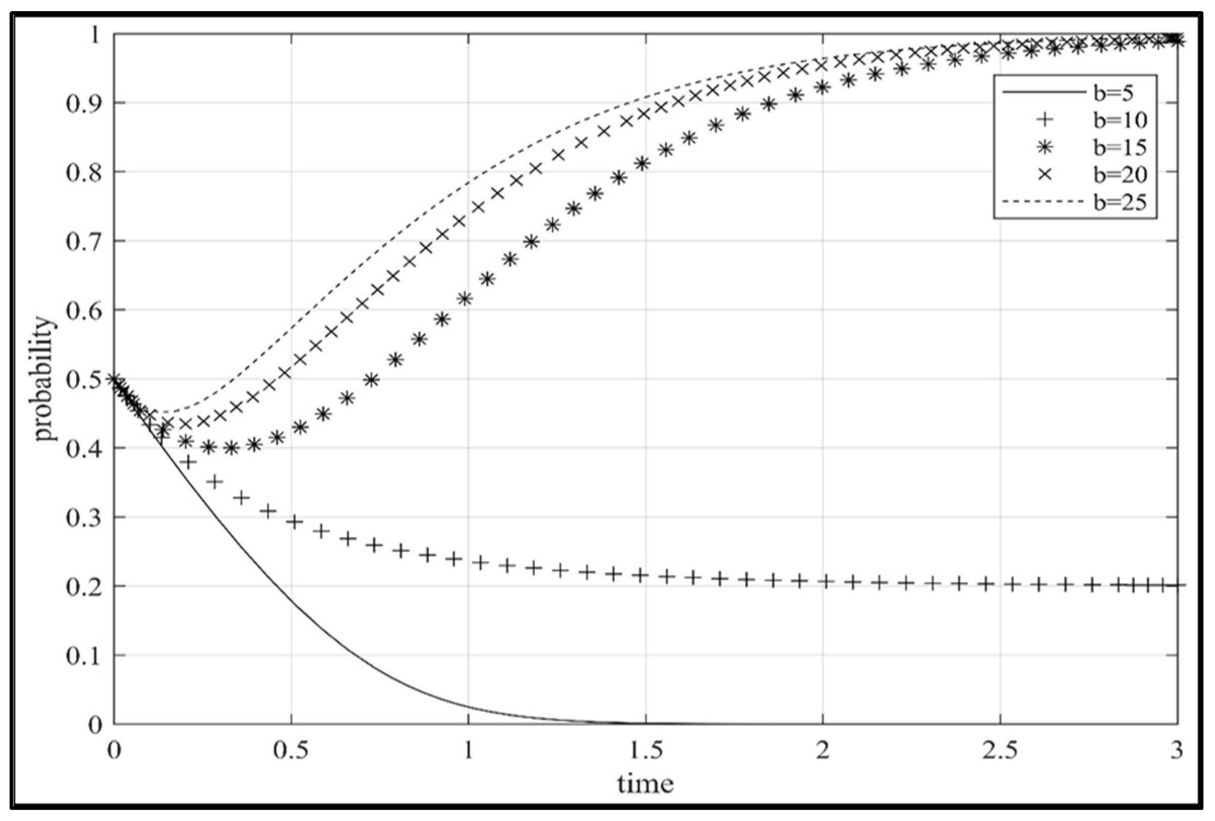
2.4. Evolutionary Game Method
3. Results
3.1. Temporal and Spatial Variation Trend of Temperature in Different Regions of Canada
3.1.1. Statistical Description
3.1.2. Trends in Time and Space
3.2. The Relationship between the Occurrence of Extreme Weather and Climate Change
3.3. Contradiction Analysis of Global Warming and Extreme Cold in Local Areas
4. Discussion
5. Conclusions
Disclosure Statement
Author Contributions
Funding
Institutional Review Board Statement
Informed Consent Statement
Data Availability Statement
Acknowledgments
Conflicts of Interest
Disclosure Statement
References
- Lesk, C.; Rowhani, P.; Ramankutty, N. Influence of Extreme Weather Disasters on Global Crop Production. Nature 2016, 529, 84–87. [Google Scholar] [CrossRef] [PubMed]
- Elahi, E.; Khalid, Z.; Tauni, M.Z.; Zhang, H.; Lirong, X. Extreme Weather Events Risk to Crop-Production and the Adaptation of Innovative Management Strategies to Mitigate the Risk: A Retrospective Survey of Rural Punjab, Pakistan. Technovation 2021, 102255. [Google Scholar] [CrossRef]
- Mirza, M.M.Q. Climate Change and Extreme Weather Events: Can Developing Countries Adapt? Clim. Policy 2003, 3, 233–248. [Google Scholar] [CrossRef]
- Allard, R.F. Climate Change Adaptation: Infrastructure and Extreme Weather. In Industry, Innovation and Infrastructure; Leal Filho, W., Azul, A.M., Brandli, L., Lange Salvia, A., Wall, T., Eds.; Springer International Publishing: Cham, Switzerland, 2021; pp. 105–116. ISBN 978-3-319-95873-6. [Google Scholar]
- Barbieri, M.; Barberio, M.D.; Banzato, F.; Billi, A.; Boschetti, T.; Franchini, S.; Gori, F.; Petitta, M. Climate Change and Its Effect on Groundwater Quality. Environ. Geochem. Health 2021, 1–12. [Google Scholar] [CrossRef]
- Dixit, A.; Sahany, S.; Kulkarni, A.V. Glacial Changes over the Himalayan Beas Basin under Global Warming. J. Environ. Manag. 2021, 295, 113101. [Google Scholar] [CrossRef]
- Geiger, T.; Gütschow, J.; Bresch, D.N.; Emanuel, K.; Frieler, K. Double Benefit of Limiting Global Warming for Tropical Cyclone Exposure. Nat. Clim. Chang. 2021, 11, 861–866. [Google Scholar] [CrossRef]
- Robertson, S. Transparency, Trust, and Integrated Assessment Models: An Ethical Consideration for the Intergovernmental Panel on Climate Change. WIREs Clim. Chang. 2021, 12, e679. [Google Scholar] [CrossRef]
- IPCC. Special Report on Global Warming of 1.5 °C; Cambridge University Press: Cambridge, UK, 2018. [Google Scholar]
- Liu, X.; Yuan, X.; Zhu, E. Global Warming Induces Significant Changes in the Fraction of Stored Precipitation in the Surface Soil. Glob. Planet. Chang. 2021, 205, 103616. [Google Scholar] [CrossRef]
- Lasagna, M.; Ducci, D.; Sellerino, M.; Mancini, S.; De Luca, D.A. Meteorological Variability and Groundwater Quality: Examples in Different Hydrogeological Settings. Water 2020, 12, 1297. [Google Scholar] [CrossRef]
- Wang, Q.; Lu, M.; Bai, Z.; Wang, K. Coronavirus Pandemic Reduced China’s CO2 Emissions in Short-Term, While Stimulus Packages May Lead to Emissions Growth in Medium- and Long-Term. Appl. Energy 2020, 278, 115735. [Google Scholar] [CrossRef]
- Mason, B.J. The Greenhouse Effect. Contemp. Phys. 1989, 30, 417–432. [Google Scholar] [CrossRef]
- Boyes, E.; Stanisstreet, M. The ‘Greenhouse Effect’: Children’s Perceptions of Causes, Consequences and Cures. Int. J. Sci. Educ. 1993, 15, 531–552. [Google Scholar] [CrossRef]
- Withey, P.; Johnston, C.; Guo, J. Quantifying the Global Warming Potential of Carbon Dioxide Emissions from Bioenergy with Carbon Capture and Storage. Renew. Sustain. Energy Rev. 2019, 115, 109408. [Google Scholar] [CrossRef]
- Lyu, K.; Zhang, X.; Church, J.A. Projected Ocean Warming Constrained by the Ocean Observational Record. Nat. Clim. Chang. 2021, 11, 834–839. [Google Scholar] [CrossRef]
- Li, Y.; Li, Z.; Zhang, Z.; Chen, L.; Kurkute, S.; Scaff, L.; Pan, X. High-Resolution Regional Climate Modeling and Projection over Western Canada Using a Weather Research Forecasting Model with a Pseudo-Global Warming Approach. Hydrol. Earth Syst. Sci. 2019, 23, 4635–4659. [Google Scholar] [CrossRef] [Green Version]
- Yanni, S.F.; Laporte, A.D.; Rajsic, P.; Wagner-Riddle, C.; Weersink, A. The Environmental and Economic Efficacy of On-Farm Beneficial Management Practices for Mitigating Soil-Related Greenhouse Gas Emissions in Ontario, Canada. Renew. Agric. Food Syst. 2021, 36, 307–320. [Google Scholar] [CrossRef]
- St. Denis, G.; Parker, P. Community Energy Planning in Canada: The Role of Renewable Energy. Renew. Sustain. Energy Rev. 2009, 13, 2088–2095. [Google Scholar] [CrossRef]
- Belley, P.M.; Groat, L.A. Metamorphosed Carbonate Platforms and Controls on the Genesis of Sapphire, Gem Spinel, and Lapis Lazuli: Insight from the Lake Harbour Group, Nunavut, Canada and Implications for Gem Exploration. Ore Geol. Rev. 2020, 116, 103259. [Google Scholar] [CrossRef]
- Ye, D.; Yan, Z.; Dai, X.; Qian, W.; Ye, Q. Future Weather and Climate Prediction System. Meteorology 2006, 3, 3–8. [Google Scholar]
- Guo, Q.; Cai, J.; Shao, X.; Sha, W. The Influence of the Interdecadal Variability of the East Asian Summer Monsoon on the Climate in China. Acta Geogr. Sin. 2003, 58, 569–576. [Google Scholar]
- Nakamura, H. Year-to-Year and Interdecadal Variability in the Activity of Intraseasonal Fluctuations in the Northern Hemisphere Wintertime Circulation. Theor. Appl. Climatol. 1996, 55, 19–32. [Google Scholar] [CrossRef]
- Nakamura, H.; Yamagata, T. Recent Decadal SST Variability in the Northwestern Pacific and Associated Atmospheric Anomalies. In Beyond El Niño; Navarra, A., Ed.; Springer: Berlin/Heidelberg, Germany, 1999; pp. 49–72. ISBN 978-3-642-63556-4. [Google Scholar]
- Weaver, A.J.; Sarachik, E.S.; Marotze, J. Freshwater Flux Forcing of Decadal and Interdecadal Oceanic Variability. Nature 1991, 353, 836–838. [Google Scholar] [CrossRef]
- Latif, M.; Barnett, T.P. Causes of Decadal Climate Variability over the North Pacific and North America. Science 1994, 266, 634–637. [Google Scholar] [CrossRef] [PubMed] [Green Version]
- Smith, H.J. CLIMATE SCIENCE: Eye of the Beholder. Science 2007, 315, 1467e–1469e. [Google Scholar] [CrossRef] [Green Version]
- Hawkins, D.; Peridas, G.; Steelman, J. Twelve Years after Sleipner: Moving CCS from Hype to Pipe. Energy Procedia 2009, 1, 4403–4410. [Google Scholar] [CrossRef] [Green Version]
- Ezekiel, M. Methods of Correlation Analysis; Wiley: Oxford, UK, 1930. [Google Scholar]
- Zou, Y.; Zhang, Y.; Cheng, K. Exploring the Impact of Climate and Extreme Weather on Fatal Traffic Accidents. Sustainability 2021, 13, 390. [Google Scholar] [CrossRef]
- Qiao, W.; Yin, X. Understanding the Impact on Energy Transition of Consumer Behavior and Enterprise Decisions through Evolutionary Game Analysis. Sustain. Prod. Consum. 2021, 28, 231–240. [Google Scholar] [CrossRef]
- Xu, L.; Di, Z.; Chen, J. Evolutionary Game of Inland Shipping Pollution Control under Government Co-Supervision. Mar. Pollut. Bull. 2021, 171, 112730. [Google Scholar] [CrossRef]
- Weibull, J.W. Evolutionary Game Theory; MIT Press: Cambridge, MA, USA, 1995; ISBN 978-0-262-23181-7. [Google Scholar]
- Tol, R.S.J. The Economic Effects of Climate Change. J. Econ. Perspect. 2009, 23, 29–51. [Google Scholar] [CrossRef] [Green Version]
- Jiang, T.; Su, B.; Hartmann, H. Temporal and Spatial Trends of Precipitation and River Flow in the Yangtze River Basin, 1961–2000. Geomorphology 2007, 85, 143–154. [Google Scholar] [CrossRef]
- Dai, A. Increasing Drought under Global Warming in Observations and Models. Nat. Clim. Chang. 2013, 3, 52–58. [Google Scholar] [CrossRef]
- Xie, S.-P.; Deser, C.; Vecchi, G.A.; Ma, J.; Teng, H.; Wittenberg, A.T. Global Warming Pattern Formation: Sea Surface Temperature and Rainfall. J. Clim. 2010, 23, 966–986. [Google Scholar] [CrossRef]
- Watanabe, M.; Dufresne, J.-L.; Kosaka, Y.; Mauritsen, T.; Tatebe, H. Enhanced Warming Constrained by Past Trends in Equatorial Pacific Sea Surface Temperature Gradient. Nat. Clim. Chang. 2021, 11, 33–37. [Google Scholar] [CrossRef]
- Amos, C.L.; Martino, S.; Sutherland, T.F.; Al Rashidi, T. Sea Surface Temperature Trends in the Coastal Zone of British Columbia, Canada. J. Coast. Res. 2014, 31, 434–446. [Google Scholar] [CrossRef]
- Gjermundsen, A.; Nummelin, A.; Olivié, D.; Bentsen, M.; Seland, Ø.; Schulz, M. Shutdown of Southern Ocean Convection Controls Long-Term Greenhouse Gas-Induced Warming. Nat. Geosci. 2021, 14, 724–731. [Google Scholar] [CrossRef]
- Lashof, D.A.; Ahuja, D.R. Relative Contributions of Greenhouse Gas Emissions to Global Warming. Nature 1990, 344, 529–531. [Google Scholar] [CrossRef]
- Swart, N.C.; Gille, S.T.; Fyfe, J.C.; Gillett, N.P. Recent Southern Ocean Warming and Freshening Driven by Greenhouse Gas Emissions and Ozone Depletion. Nat. Geosci. 2018, 11, 836–841. [Google Scholar] [CrossRef]
- Silvy, Y.; Guilyardi, E.; Sallée, J.-B.; Durack, P.J. Human-Induced Changes to the Global Ocean Water Masses and Their Time of Emergence. Nat. Clim. Chang. 2020, 10, 1030–1036. [Google Scholar] [CrossRef]
- Marlon, J.R.; Bartlein, P.J.; Carcaillet, C.; Gavin, D.G.; Harrison, S.P.; Higuera, P.E.; Joos, F.; Power, M.J.; Prentice, I.C. Climate and Human Influences on Global Biomass Burning over the Past Two Millennia. Nat. Geosci. 2008, 1, 697–702. [Google Scholar] [CrossRef]
- Gillett, N.P.; Stone, D.A.; Stott, P.A.; Nozawa, T.; Karpechko, A.Y.; Hegerl, G.C.; Wehner, M.F.; Jones, P.D. Attribution of Polar Warming to Human Influence. Nat. Geosci. 2008, 1, 750–754. [Google Scholar] [CrossRef]
- Gillett, N.P.; Kirchmeier-Young, M.; Ribes, A.; Shiogama, H.; Hegerl, G.C.; Knutti, R.; Gastineau, G.; John, J.G.; Li, L.; Nazarenko, L.; et al. Constraining Human Contributions to Observed Warming since the Pre-Industrial Period. Nat. Clim. Chang. 2021, 11, 207–212. [Google Scholar] [CrossRef]
- Iyer, V.; Sharma, A.; Nair, D.; Solanki, B.; Umrigar, P.; Murtugudde, R.; Jiang, C.; Mavalankar, D.; Sapkota, A. Role of Extreme Weather Events and El Niño Southern Oscillation on Incidence of Enteric Fever in Ahmedabad and Surat, Gujarat, India. Environ. Res. 2021, 196, 110417. [Google Scholar] [CrossRef]
- Yang, Y.; Gan, T.Y.; Tan, X. Recent Changing Characteristics of Dry and Wet Spells in Canada. Clim. Chang. 2021, 165, 42. [Google Scholar] [CrossRef]
- Friesen, S.K.; Rubidge, E.; Martone, R.; Hunter, K.L.; Peña, M.A.; Ban, N.C. Effects of Changing Ocean Temperatures on Ecological Connectivity among Marine Protected Areas in Northern British Columbia. Ocean Coast. Manag. 2021, 211, 105776. [Google Scholar] [CrossRef]
- DeFrancesco, C.; Guéguen, C. Long-Term Trends in Dissolved Organic Matter Composition and Its Relation to Sea Ice in the Canada Basin, Arctic Ocean (2007–2017). J. Geophys. Res. Oceans 2021, 126, e2020JC016578. [Google Scholar] [CrossRef]
- Wang, X.; Thompson, D.K.; Marshall, G.A.; Tymstra, C.; Carr, R.; Flannigan, M.D. Increasing Frequency of Extreme Fire Weather in Canada with Climate Change. Clim. Chang. 2015, 130, 573–586. [Google Scholar] [CrossRef]
- Brito-Morales, I.; Schoeman, D.S.; Molinos, J.G.; Burrows, M.T.; Klein, C.J.; Arafeh-Dalmau, N.; Kaschner, K.; Garilao, C.; Kesner-Reyes, K.; Richardson, A.J. Climate Velocity Reveals Increasing Exposure of Deep-Ocean Biodiversity to Future Warming. Nat. Clim. Chang. 2020, 10, 576–581. [Google Scholar] [CrossRef]
- Ding, D.; Maibach, E.W.; Zhao, X.; Roser-Renouf, C.; Leiserowitz, A. Support for Climate Policy and Societal Action Are Linked to Perceptions about Scientific Agreement. Nat. Clim. Chang. 2011, 1, 462–466. [Google Scholar] [CrossRef]
- Overland, J.E.; Wood, K.R.; Wang, M. Warm Arctic—Cold Continents: Climate Impacts of the Newly Open Arctic Sea. Polar Res. 2011, 30, 15787. [Google Scholar] [CrossRef]






| Main Strategy and Benefits | Local (L) | ||
|---|---|---|---|
| Extremely Cold y | Normal 1 − y | ||
| Global (G) | Warming x | ) | ) |
| Non-warming 1 − x | ) | ) | |
| Balance Point | Steadiness | Steady-State Conditions | ||
|---|---|---|---|---|
| Stationary point | ||||
| Instability point | ||||
| saddle point | ||||
| Instability point | ||||
| saddle point | ||||
| stationary point | ||||
| saddle point |
| Province (Station) | Max Temp | Min Temp | Mean Temp |
|---|---|---|---|
| 1. British Columbia (station): 1980–1987 | rise | decline | decline |
| 2. Alberta (site): 1986–2019 | decline | rise | decline |
| 3. Saskatchewan (site): 1980–2019 | rise | rise | rise |
| 4. Manitoba (station): 1961–1968 | decline | decline | decline |
| 5. Ontario (site): 1971–1977 | decline | decline | decline |
| 6. Quebec (station): 1992–2019 | rise | rise | rise |
| Province (Station) | Max Temp | Min Temp | Mean Temp |
|---|---|---|---|
| 1. British Columbia (station): 1980–1987 | 14 °C | 6.2 °C | 10.1 °C |
| 2. Alberta (site): 1986–2019 | 10 °C | −2.4 °C | 3.8 °C |
| 3. Saskatchewan (site): 1980–2019 | 9.3 °C | −2.8 °C | 3.3 °C |
| 4. Manitoba (station): 1961–1968 | 8.1 °C | −3.7 °C | 2.2 °C |
| 5. Ontario (site): 1971–1977 | 11.2 °C | 3.8 °C | 7.5 °C |
| 6. Quebec (station): 1992–2019 | 9.9 °C | −0.1 °C | 5 °C |
| DMAT | DMIT | AMAT | AMIT | AAT | TALR | THDS | |
|---|---|---|---|---|---|---|---|
| DMAT | 1 | −0.080 (0.654) | 0.865 ** (0.000) | 0.810 ** (0.000) | 0.842 ** (0.000) | 0.312 (0.073) | 0.410 * (0.016) |
| DMIT | 1 | 0.044 (0.804) | 0.070 (0.694) | 0.059 (0.738) | −0.074 (0.678) | −0.166 (0.348) | |
| AMAT | 1 | 0.929 ** (0.000) | 0.979 ** (0.000) | 0.431 * (0.011) | 0.099 (0.576) | ||
| AMIT | 1 | 0.978 ** (0.000) | 0.439 ** (0.009) | 0.129 (0.466) | |||
| AAT | 1 | 0.461 (0.006) | 0.118 (0.506) | ||||
| TALR | 1 | −0.104 (0.558) | |||||
| THDS | 1 |
| DMAT | DMIT | AMAT | AMIT | AAT | TALR | THDS | |
|---|---|---|---|---|---|---|---|
| DMAT | 1 | 0.094 (0.564) | 0.822 ** (0.000) | 0.818 ** (0.000) | 0.832 ** (0.000) | 0.310 (0.052) | 0.182 (0.261) |
| DMIT | 1 | 0.175 (0.279) | 0.123 (0.449) | 0.161 (0.321) | −0.173 (0.285) | −0.203 (0.208) | |
| AMAT | 1 | 0.941 ** (0.000) | 0.988 ** (0.000) | 0.245 (0.128) | 0.135 (0.576) | ||
| AMIT | 1 | 0.977 ** (0.000) | 0.241 (0.135) | 0.071 (0.665) | |||
| AAT | 1 | 0.249 (0.122) | 0.112 (0.493) | ||||
| TALR | 1 | 0.177 (0.273) | |||||
| THDS | 1 |
Publisher’s Note: MDPI stays neutral with regard to jurisdictional claims in published maps and institutional affiliations. |
© 2021 by the authors. Licensee MDPI, Basel, Switzerland. This article is an open access article distributed under the terms and conditions of the Creative Commons Attribution (CC BY) license (https://creativecommons.org/licenses/by/4.0/).
Share and Cite
Wang, Y.; Sarkar, A.; Hasan, A.K.; Tian, Y.; Wu, Q.; Hossain, M.S.; Wei, F. The Evaluation of Temporal and Spatial Trends of Global Warming and Extreme Ocean Surface Temperatures: A Case Study of Canada. ISPRS Int. J. Geo-Inf. 2022, 11, 21. https://doi.org/10.3390/ijgi11010021
Wang Y, Sarkar A, Hasan AK, Tian Y, Wu Q, Hossain MS, Wei F. The Evaluation of Temporal and Spatial Trends of Global Warming and Extreme Ocean Surface Temperatures: A Case Study of Canada. ISPRS International Journal of Geo-Information. 2022; 11(1):21. https://doi.org/10.3390/ijgi11010021
Chicago/Turabian StyleWang, Yameng, Apurbo Sarkar, Ahmed Khairul Hasan, Yingdong Tian, Qian Wu, Md. Shakhawat Hossain, and Feng Wei. 2022. "The Evaluation of Temporal and Spatial Trends of Global Warming and Extreme Ocean Surface Temperatures: A Case Study of Canada" ISPRS International Journal of Geo-Information 11, no. 1: 21. https://doi.org/10.3390/ijgi11010021
APA StyleWang, Y., Sarkar, A., Hasan, A. K., Tian, Y., Wu, Q., Hossain, M. S., & Wei, F. (2022). The Evaluation of Temporal and Spatial Trends of Global Warming and Extreme Ocean Surface Temperatures: A Case Study of Canada. ISPRS International Journal of Geo-Information, 11(1), 21. https://doi.org/10.3390/ijgi11010021

