Progress on 3-Nitropropionic Acid Derivatives
Abstract
1. Introduction
2. Structural Classification of 3-Nitropropionic Acid Derivatives
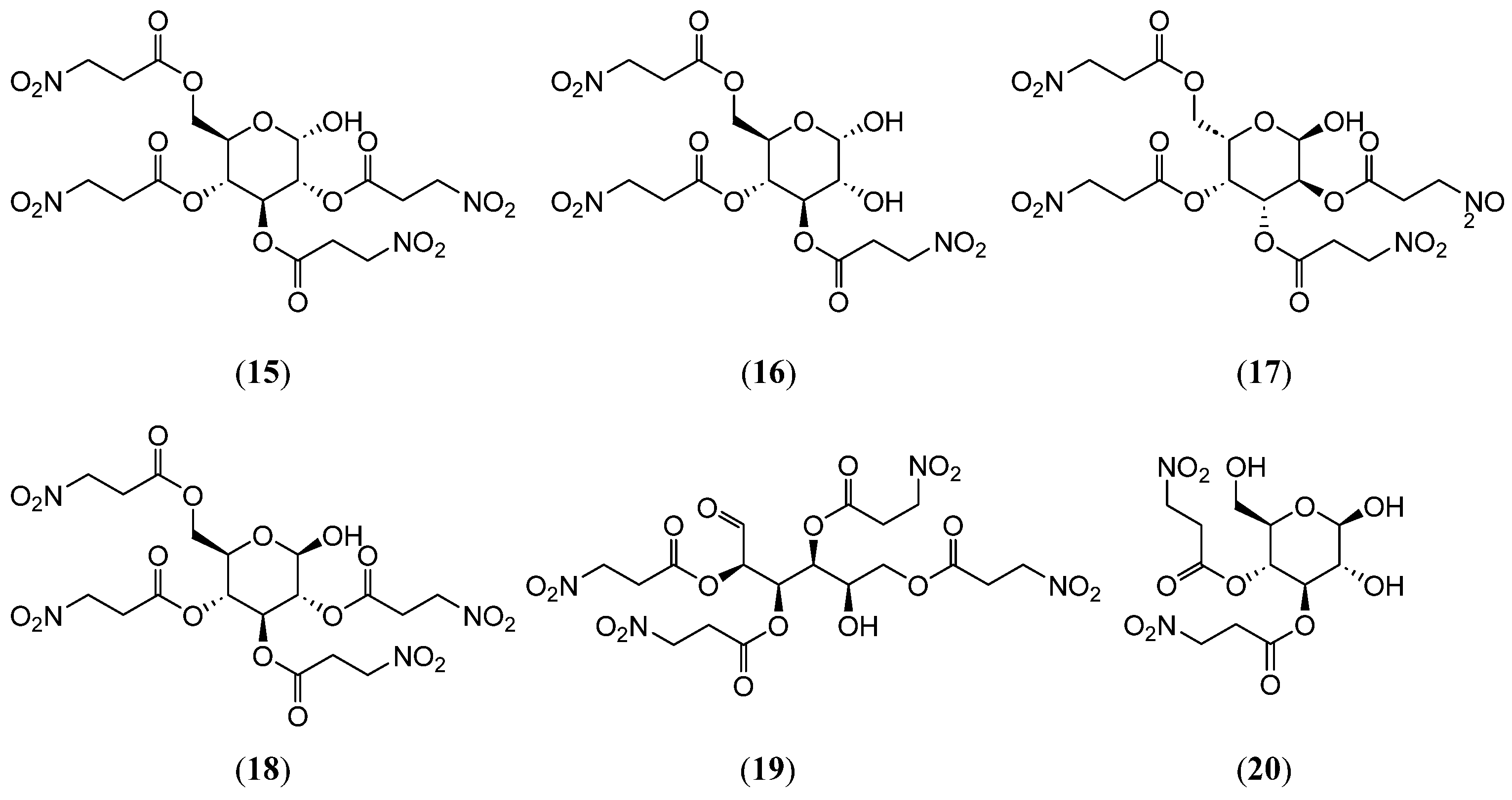
3. 3-Nitropropionic Acid Sugar Esters
4. 3-Nitropropionic Acid Non-Sugar Esters
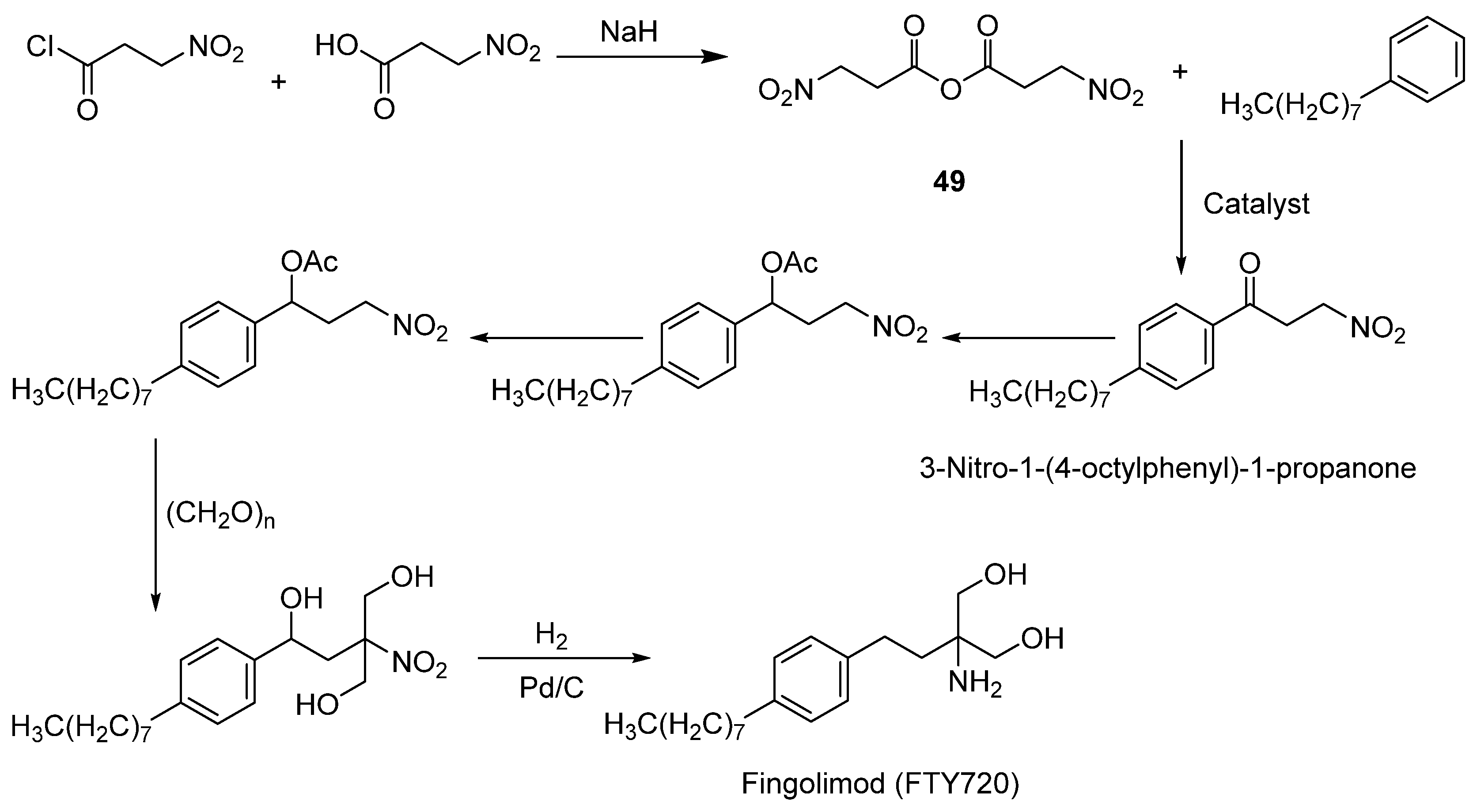
5. Other 3-Nitropropionic Acid Derivatives
6. Conclusions
Author Contributions
Funding
Institutional Review Board Statement
Informed Consent Statement
Data Availability Statement
Conflicts of Interest
Abbreviations
| 3-NPA | 3-Nitropropionic acid |
| HD | Huntington’s disease |
| ProNGF | Pro-nerve growth factor |
| Nrf2-ARE | Nuclear factor erythroid 2-related factor 2-Antioxidant Response Element |
| 13C-NMR | Carbon-13 Nuclear Magnetic Resonance |
| MIC | Minimum inhibitory concentration |
| MBC | Minimum bactericidal concentration |
| HSV | Herpes simplex virus |
| BFCs | Bifunctional chelating agents |
| DAZA | 1,4-Diazepane |
| GC-MS | Gas Chromatography-Mass Spectrometry |
| ICE | Interleukin-1β-Converting Enzyme |
| CED-3 | Cell Death Abnormal-3 |
| SARS-CoV-2 | Severe Acute Respiratory Syndrome Coronavirus 2 |
| FTY720 | Fingolimod |
| PSU | Prince of Songkla University |
| BCC 35283 | BIOTEC Culture Collection No. 35283 |
| IC50 | Half Maximal Inhibitory Concentration |
| DNA | Deoxyribonucleic Acid |
| THF | Tetrahydrofuran |
| TEA | Triethylamine |
| TEMPO | 2,2,6,6-Tetramethylpiperidin-1-oxyl |
| TCE | Trichloroethylene |
| DCC | N,N′-Dicyclohexylcarbodiimide |
| DMAP | 4-Dimethylaminopyridine |
| DCM | Dichloromethane |
| CALB | Candida antarctica Lipase B |
| BGC | Biosynthetic gene cluster |
References
- Alston, T.A.; Mela, L.; Bright, H.J. 3-Nitropropionate, the toxic substance of Indigofera, is a suicide inactivator of succinate dehydrogenase. Proc. Natl. Acad. Sci. USA 1977, 74, 3767–3771. [Google Scholar] [CrossRef] [PubMed]
- Rukachaisirikul, V.; Sommart, U.; Phongpaichit, S.; Sakayaroj, J.; Kirtikara, K. Metabolites from the endophytic fungus Phomopsis sp. PSU-D15. Phytochemistry 2008, 69, 783–787. [Google Scholar] [CrossRef] [PubMed]
- Bush, M.T.; Touster, O.; Early, J. The production of beta-nitropropionic acid by a strain of Aspergillus flavus. J. Biol. Chem. 1951, 188, 685–693. [Google Scholar] [CrossRef] [PubMed]
- Gorter, K. Hiptagin, a New Glucoside from Hiptage medablota, gaertu. Bull. Jard. Bot. Buitenzorg. 1920, 2, 187–202. [Google Scholar]
- Morris, M.P.; Pagán, C.; Warmke, H.E. Hiptagenic Acid, a Toxic Component of Indigofera endecaphylla. Science 1954, 119, 322–323. [Google Scholar] [CrossRef] [PubMed]
- Britten, E.J.; Matsumoto, H.; Palafox, A.L. Comparative Toxic Effects of 3-Nitropropionic Acid, Sodium Nitrite and Indigofera endecaphylla on Chicks. Agron. J. 1959, 51, 462–464. [Google Scholar] [CrossRef]
- Hamilton, B.F.; Gould, D.H.; Gustine, D.L. History of 3-Nitropropionic Acid. In Mitochondrial Inhibitors and Neurodegenerative Disorders; Sanberg, P.R., Nishino, H., Borlongan, C.V., Eds.; Contemporary Neuroscience; Humana Press: Totowa, NJ, USA, 2000; pp. 21–33. [Google Scholar] [CrossRef]
- Li, M. Moldy Sugarcane Poisoning—A Case Report with a Brief Review. J. Toxicol. Clin. Toxicol. 2008, 33, 363–367. [Google Scholar] [CrossRef]
- Ludolph, A.C.; He, F.; Spencer, P.S.; Hammerstad, J.; Sabri, M. 3-Nitropropionic Acid—Exogenous Animal Neurotoxin and Possible Human Striatal Toxin. Can. J. Neurol. Sci. 1991, 18, 492–498. [Google Scholar] [CrossRef] [PubMed]
- Beal, M.F. Neurochemistry and Toxin Models in Huntington’s Disease. Curr. Opin. Neurol. 1994, 7, 542–547. [Google Scholar] [CrossRef] [PubMed]
- Solesio, M.E.; Saez-Atienzar, S.; Jordan, J.; Galindo, M.F. 3-Nitropropionic acid induces autophagy by forming mitochondrial permeability transition pores rather than activating the mitochondrial fission pathway. Br. J. Pharmacol. 2013, 168, 63–75. [Google Scholar] [CrossRef] [PubMed]
- Crawford, C.A.; Akopian, G.; Ring, J.; Jakowec, M.W.; Petzinger, G.M.; Andersen, J.K.; Vittozzi-Wong, P.; Wang, K.; Farley, C.M.; Charntikov, S.; et al. Acute and long-term response of dopamine nigrostriatal synapses to a single, low-dose episode of 3-nitropropionic acid-mediated chemical hypoxia. Synapse 2011, 65, 339–350. [Google Scholar] [CrossRef] [PubMed]
- Zhu, H.C.; Gao, X.Q.; Xing, Y.; Sun, S.G.; Li, H.G.; Wang, Y.F. Inhibition of caspase-3 activation and apoptosis is involved in 3-nitropropionic acid-induced ischemic tolerance to transient focal cerebral ischemia in rats. J. Mol. Neurosci. 2004, 24, 299–305. [Google Scholar] [CrossRef] [PubMed]
- Wiprich, M.T.; Altenhofen, S.; Gusso, D.; Vasques, R.R.; Zanandrea, R.; Kist, L.W.; Bogo, M.R.; Bonan, C.D. Modulation of Adenosine Signaling Reverses 3-nitropropionic Acid-Induced Bradykinesia and Memory Impairment in Adult Zebrafish. Prog. Neuro-Psychopharmacol. Biol. Psychiatry 2022, 119, 110602. [Google Scholar] [CrossRef] [PubMed]
- Upadhayay, S.; Yedke, N.G.; Rahi, V.; Singh, S.; Kumar, S.; Arora, A.; Chandolia, P.; Kaur, P.; Kumar, M.; Koshal, P.; et al. An Overview of the Pathophysiological Mechanisms of 3-Nitropropionic Acid (3-NPA) as a Neurotoxin in a Huntington’s Disease Model and Its Relevance to Drug Discovery and Development. Neurochem. Res. 2023, 48, 1631–1647. [Google Scholar] [CrossRef] [PubMed]
- Carter, C.L.; Wyatt, G.H. Karakin, the Glucoside of Corynocarpus levigata, and Hiptagenic Acid. J. Chem. Technol. Biotechnol. 2010, 62, 238–240. [Google Scholar] [CrossRef]
- Becker, T.; Pasteels, J.; Weigel, C.; Dahse, H.-M.; Voigt, K.; Boland, W. A tale of four kingdoms—Isoxazolin-5-one- and 3-nitropropanoic acid-derived natural products. Nat. Prod. Rep. 2017, 34, 343–360. [Google Scholar] [CrossRef] [PubMed]
- Byers, R.A.; Gustine, D.L.; Moyer, B.G. Toxicity of β-Nitropropionic Acid to Trichoplusia ni12. Environ. Entomol. 1977, 6, 229–232. [Google Scholar] [CrossRef]
- Acheson, A.L.; Naujoks, K.; Thoenen, H. Nerve Growth Factor-Mediated Enzyme Induction in Primary Cultures of Bovine Adrenal Chromaffin Cells: Specificity and Level of Regulation. J. Neurosci. 1984, 4, 1771–1780. [Google Scholar] [CrossRef] [PubMed]
- Johnson, C.W.; Ohashi, M.; Tang, Y. How Fungi Biosynthesize 3-Nitropropanoic Acid: The Simplest Yet Lethal Mycotoxin. Org. Lett. 2024, 26, 3158–3163. [Google Scholar] [CrossRef] [PubMed]
- Gnanasunderam, C.; Sutherland, O.R.W. Hiptagin and Other Aliphatic Nitro Esters in Lotus pedunculatus. Phytochemistry 1986, 25, 409. [Google Scholar] [CrossRef]
- Shaw, P.; Mead, R.; Higginbottom, A.; Barber, S. Therapeutics for Neurological Disorders. U.S. Patent US20110251230A1, 13 October 2011. [Google Scholar]
- Pfeffer, P.E.; Valentine, K.M.; Moyer, B.G. Assessment of Carbon-13 Shift Parameters in Di- and Tri-(3-nitropropanoyl)-D-glucopyranoses. Carbohydr. Res. 1979, 73, 1–8. [Google Scholar] [CrossRef]
- Moyer, B.G.; Pfeffer, P.E.; Moniot, J.L.; Shamma, M.; Gustine, D.L. Corollin, Coronillin and Coronarian: Three New 3-Nitropropanoyl-D-glucopyranoses from Coronilla varia. Phytochemistry 1977, 16, 375–377. [Google Scholar] [CrossRef]
- Byers, R.A.; Gustine, D.L.; Moyer, B.G.; Bierlein, D.L. 3-Nitropropionate in Crownvetch: A Natural Deterrent to Insects? ACS Symp. Ser. 1986, 296, 95–105. [Google Scholar]
- Kigel, T.B. Pharmacological Evaluation of the Cardiac Glycoside Coronillin. Serd. Sosud. Patol. 1964, 5, 141–145. [Google Scholar]
- Kigel, T.B. Pharmacodynamics of the Cardiac Glycoside Coronillin. Farmakol. Toksikol. 1964, 27, 16–19. [Google Scholar]
- Benn, M.; McEwan, D.; Pass, M.A.; Majak, W. Three Nitropropanoyl Esters of Glucose from Indigofera linnaei. Phytochemistry 1992, 31, 2393–2395. [Google Scholar] [CrossRef]
- Hempstead, B.L. Small Molecule Modulators of proNGF Uptake. World Patent WO2010042728A1, 15 April 2010. [Google Scholar]
- Roman-Junior, W.A.; Vilegas, W.; Mello, J. 2,3,4,6-Tetra-O-(3-nitropropanoyl)-O-β-D-glucopyranoside, a New Antibacterial from the Roots of Heteropteris aphrodisiaca. Lat. Am. J. Pharm. 2005, 24, 543–545. [Google Scholar]
- De Mello, J.C.P.; Cardoso, M.L.C.; Nakamura, C.V. Process to Obtain and Isolate a New Compound with Anti-Viral, Fungicide and Antibacterial Properties. Brazil Patent BR PI0302921-6, 15 March 2005. [Google Scholar]
- Yang, F.-Y.; Lü, M.; Su, Y.-F.; Li, C.-Z. New 3-Nitropropionyl-D-glucopyranoses in Root of Indigofera kirilowii. Zhong Cao Yao 2007, 38, 1448–1450. [Google Scholar]
- Su, Y.; Lü, M.; Yang, F.; Li, C.; Di, L.; Wu, D.; Guo, Z.; Lü, J.; Guo, D. Six New Glucose Esters of 3-Nitropropanoic Acid from Indigofera kirilowii. Fitoterapia 2008, 79, 451–455. [Google Scholar] [CrossRef] [PubMed]
- Su, Y.; Li, C.; Gao, Y.; Di, L.; Zhang, X.; Guo, D. Acryloylated Glucose 3-Nitropropanoates from Indigofera kirilowii. J. Nat. Prod. 2005, 68, 1785–1786. [Google Scholar] [CrossRef] [PubMed]
- Sientzoff, P.; Hubert, J.; Janin, C.; Voutquenne-Nazabadioko, L.; Renault, J.-H.; Nuzillard, J.-M.; Harakat, D.; Alabdul Magid, A. Fast Identification of Radical Scavengers from Securigera varia by Combining 13C-NMR-Based Dereplication to Bioactivity-Guided Fractionation. Molecules 2015, 20, 14970–14984. [Google Scholar] [CrossRef] [PubMed]
- Finnegan, R.A.; Stephani, R.A. Structure of Hiptagin as 1,2,4,6-Tetra-O-(3-nitropropanoyl)-β-D-glucopyranoside, Its Identity with Endecaphyllin X, and the Synthesis of Its Methyl Ether. J. Pharm. Sci. 1968, 57, 353–354. [Google Scholar] [CrossRef] [PubMed]
- Majak, W.; Benn, M. Additional Esters of 3-Nitropropanoic Acid and Glucose from Fruit of the New Zealand Karaka Tree, Corynocarpus laevigatus. Phytochemistry 1994, 35, 901–903. [Google Scholar] [CrossRef]
- Sugeno, W.; Matsuda, K. Adult Secretions of Four Japanese Chrysomelinae (Coleoptera: Chrysomelidae). Appl. Entomol. Zool. 2002, 37, 191–197. [Google Scholar] [CrossRef]
- Pasteels, J.M.; Daloze, D.; Rowell-Rahier, M. Chemical defense in chrysomelid eggs and neonate larvae. Physiol. Entomol. 1986, 11, 29–37. [Google Scholar] [CrossRef]
- Pasteels, J.M.; Braekman, J.C.; Daloze, D.; Ottinger, R. Chemical defence in chrysomelid larvae and adults. Tetrahedron 1982, 38, 1891–1897. [Google Scholar] [CrossRef]
- Carter, C.L. The constitution of karakin. J. Sci. Food Agric. 1951, 2, 54–55. [Google Scholar] [CrossRef]
- James, L.F.; Hartley, W.J.; Van Kampen, K.R. Syndromes of Astragalus poisoning in livestock. J. Am. Vet. Med. Assoc. 1981, 178, 146–150. [Google Scholar] [CrossRef] [PubMed]
- Benn, M.; Bai, Y.; Majak, W. Aliphatic nitro-compounds in Astragalus canadensis. Phytochemistry 1995, 40, 1629–1631. [Google Scholar] [CrossRef]
- Gustine, D.L.; Moyer, B.G.; Wangsness, P.J.; Shenk, J.S. Ruminal metabolism of 3-nitropropanoyl-D-glucopyranoses from crownvetch. J. Anim. Sci. 1977, 44, 1107–1111. [Google Scholar] [CrossRef]
- Zhang, X.-X.; Zhang, Z.-X.; Chen, L.; Su, Y.-F. New aliphatic nitro-compounds from Indigofera carlesii. Fitoterapia 2006, 77, 15–18. [Google Scholar] [CrossRef] [PubMed]
- Zhang, H.T.; Li, L.; Yuan, S.J.; Li, Z.Q. Preparation of tert-butyl 3-nitropropionate. Chin. J. Pharm. 2005, 36, 330–331. [Google Scholar] [CrossRef]
- Cheng, W.; Zhu, L.; Chang, Y.; Shang, M.; Meng, H.; Chen, G. Process for preparation of tert-butyl 3-amino-5-bromo-4-oxo-pentanoate. Chinese Patent CN106831463A, 13 June 2017. [Google Scholar]
- Aja, T.; Ching, B.W.; Gladstone, P.L. Anti-Apoptotic Agents or Interleukin 1β Converting Enzyme (ICE/CED-3) Inhibitors for Preserving Antigenicity of Markers Associated with Diseases. World Patent WO2002070544A2, 12 September 2002. [Google Scholar]
- Fritz, L.C.; Tomaselli, K.J. Inhibition of Apoptosis Using Interleukin-1β-Converting Enzyme (ICE)/CED-3 Family Inhibitors. World Patent WO9810778A1, 19 March 1998. [Google Scholar]
- Lawrence, F.C.; Tomaselli, K.J.; Karanewsky, D.S.; Linton, S.D.; Bai, X. Treatment of Infectious Disease Using Interleukin-1β-Converting Enzyme (ICE)/CED-3 Family Inhibitors. U.S. Patent US20020128306A1, 12 September 2002. [Google Scholar]
- Fritz, L.C.; Tomaselli, K.J.; Karanewsky, D.S. Preparation of 2-Indolecarbonyl Amino Acid Amides for Inhibition of Inflammation Using Interleukin-1β-Converting Enzyme (ICE)/CED-3 Family Inhibitors. U.S. Patent 6,531,467, 11 March 2003. [Google Scholar]
- Karanewsky, D.S.; Bai, X. Preparation of N-Substituted-2-Indolyl Dipeptides as Inhibitors of the ICE/Ced-3 Family of Cysteine Proteases. World Patent WO1998011129A1, 19 March 1998. [Google Scholar]
- Karanewsky, D.S.; Bai, X. Preparation of C-Terminal Modified N-Substituted 2-Indolylcarbonyl Dipeptides as Inhibitors of the ICE/Ced-3 Family of Cysteine Proteases. World Patent WO2001000658A1, 4 January 2001. [Google Scholar]
- Roesch, F.; Waldron, B.P.; Parker, D. Bifunctional Chelating Agents Based on the 1,4-Diazepine Scaffold (DAZA) for Non-Invasive Molecular Imaging. World Patent WO2014198478A1, 18 December 2014. [Google Scholar]
- Xu, X.L. A Kind of Method that Enzyme Process Prepares Aliskiren Key Intermediate. Chinese Patent CN108192933A, 22 June 2018. [Google Scholar]
- Seebach, D.; Hungerbühler, E.; Naef, R.; Schnurrenberger, P.; Weidmann, B.; Züger, M.F. Titanate-mediated transesterifications with functionalized substrates. Synthesis 1982, 1982, 138–141. [Google Scholar] [CrossRef]
- Silva, P.C.; Costa, J.S.; Pereira, V.L.P. An Expeditious Synthesis of 3-Nitropropionic Acid and Its Ethyl and Methyl Esters. Synth. Commun. 2001, 31, 595–600. [Google Scholar] [CrossRef]
- Su, Y.F.; Di, L.Z.; Lv, M.; Li, C.Z.; Guo, L.P.; Wu, D. Chemical Constituents in Roots of Indigofera kirilowii. Zhongcaoyao 2008, 39, 1626–1628. [Google Scholar]
- Finnegan, R.A.; Mueller, W.H. Chemical examination of a toxic extract of Indigofera endecaphylla: The Endecaphyllins. J. Pharm. Sci. 1965, 54, 1136–1142. [Google Scholar] [CrossRef] [PubMed]
- Herdwiani, W.; Aa, S.; Mi, T.A.N. Gas Chromatograph-Mass Spectrometer Analysis and Acute Oral Toxicity of Cinnamomum burmannii Ness ex Bl. Essential Oil. Asian J. Pharm. Clin. Res. 2016, 9, 240–245. [Google Scholar]
- Ma, G.; Wang, J.; Yang, F. Method for Reducing Byproduct Succinic Acid During Lactic Acid Fermentation by Adding Isocitrate Lyase Inhibitor. Chinese Patent CN116622785A, 24 August 2023. [Google Scholar]
- Somanthan, R.; Rivero, I.A.; Beltran, R.G. Nitropropanoic acid from five Astragalus species. Rev. Latinoam. Quim. 1990, 21, 101–103. [Google Scholar]
- Swargiary, A.; Daimari, M. GC–MS Analysis of Phytocompounds and Antihyperglycemic Property of Hydrocotyle sibthorpioides Lam. SN Appl. Sci. 2021, 3, 36. [Google Scholar] [CrossRef]
- Marom, E.; Mizhiritskii, M.; Rubnov, S. Intermediate Compounds and Process for the Preparation of Fingolimod. World Patent WO2012056458A2, 3 May 2012. [Google Scholar]
- Jin, Y.-H.; Zhang, Q.-H.; Liu, T.-L.; Zhang, W.-Q.; Huang, S.; Wang, K.-C. Preparation of 1,3-Diazidopropan-2-yl 3-Nitropropanoate Use as Energetic Plasticizer. Chinese Patent CN117567316A, 23 February 2024. [Google Scholar]
- Salem, M.A.; Williams, J.M.; Wainwright, S.J.; Hipkin, C.R. Nitroaliphatic compounds in Hippocrepis comosa and other legumes in the European flora. Phytochemistry 1995, 40, 89–91. [Google Scholar] [CrossRef]
- Becker, T.; Ploss, K.; Boland, W. Biosynthesis of isoxazolin-5-one and 3-nitropropanoic acid containing glucosides in juvenile Chrysomelina. Org. Biomol. Chem. 2016, 14, 6274–6280. [Google Scholar] [CrossRef] [PubMed]
- Becker, T.; Goerls, H.; Pauls, G.; Wedekind, R.; Kai, M.; von Reuss, S.H.; Boland, W. Synthesis of Isoxazolin-5-one Glucosides by a Cascade Reaction. J. Org. Chem. 2013, 78, 12779–12783. [Google Scholar] [CrossRef] [PubMed]
- Luo, S. Method for Producing Polydienes and Polydiene Copolymers with Reduced Cold Flow. World Patent WO2016057388A1, 14 April 2016. [Google Scholar]
- Pelletier, S.M.C.; Ray, P.C.; Dixon, D.J. Diastereoselective Synthesis of 1,3,5-Trisubstituted 4-Nitropyrrolidin-2-ones via a Nitro-Mannich/Lactamization Cascade. Org. Lett. 2011, 13, 6406–6409. [Google Scholar] [CrossRef] [PubMed]
- Bunyapaiboonsri, T.; Yoiprommarat, S.; Nithithanasilp, S.; Choowong, W.; Preedanon, S.; Suetrong, S. Two New Farnesyl Hydroquinones from Pestalotiopsis diploclisia (BCC 35283), the Fungus Associated with Algae. Nat. Prod. Res. 2023, 37, 24–30. [Google Scholar] [CrossRef] [PubMed]
- Elissawy, A.M.; Ebada, S.S.; Ashour, M.L.; Özkaya, F.C.; Ebrahim, W.; Singab, A.B.; Proksch, P. Spiroarthrinols A and B, Two Novel Meroterpenoids Isolated from the Sponge-Derived Fungus Arthrinium sp. Phytochem. Lett. 2017, 20, 246–251. [Google Scholar] [CrossRef]
- Klaiklay, S.; Rukachaisirikul, V.; Phongpaichit, S.; Pakawatchai, C.; Saithong, S.; Buatong, J.; Preedanon, S.; Sakayaroj, J. Anthraquinone Derivatives from the Mangrove-Derived Fungus Phomopsis sp. PSU-MA214. Phytochem. Lett. 2012, 5, 738–742. [Google Scholar] [CrossRef]
- Ignjatović, J.; Dajić, N.; Krmar, J.; Protić, A.; Strukelj, B.; Otasević, B. Molecular Docking Study on Biomolecules Isolated from Endophytic Fungi. J. Serb. Chem. Soc. 2021, 86, 125–137. [Google Scholar] [CrossRef]
- Qiu, L.; Liang, Y.; Tang, G.-H.; Yuan, C.-M.; Zhang, Y.; Hao, X.-Y.; Hao, X.-J.; He, H.-P. Two New Flavonols, Including One Flavan Dimer, from the Roots of Indigofera stachyodes. Phytochem. Lett. 2013, 6, 368–371. [Google Scholar] [CrossRef]
- Hao, X.-Y.; He, H.-P.; Qiu, L.; Hao, X.-J.; Liang, Y.; Liu, L.; Yao, C.-F. 3-Nitropropionyl Containing Flavanol, Its Medicinal Composition and Application in Pharmaceuticals Industry. Chinese Patent CN102942551, 27 February 2013. [Google Scholar]
- Nepali, K.; Lee, H.-Y.; Liou, J.-P. Nitro-Group-Containing Drugs. J. Med. Chem. 2019, 62, 2851–2893. [Google Scholar] [CrossRef] [PubMed]
- Fan, T.; Sun, G.; Zhao, L.; Cui, X.; Zhong, R. QSAR and Classification Study on Prediction of Acute Oral Toxicity of N-Nitroso Compounds. Int. J. Mol. Sci. 2018, 19, 3015. [Google Scholar] [CrossRef] [PubMed]
- Tan, B.; Liao, L.; Zhou, Y.; Long, X.; Li, J. Toward the Toxicology of Some Nitro-Compounds. Mod. Org. Chem. Res. 2018, 3, 11–21. [Google Scholar] [CrossRef]




















Disclaimer/Publisher’s Note: The statements, opinions and data contained in all publications are solely those of the individual author(s) and contributor(s) and not of MDPI and/or the editor(s). MDPI and/or the editor(s) disclaim responsibility for any injury to people or property resulting from any ideas, methods, instructions or products referred to in the content. |
© 2025 by the authors. Licensee MDPI, Basel, Switzerland. This article is an open access article distributed under the terms and conditions of the Creative Commons Attribution (CC BY) license (https://creativecommons.org/licenses/by/4.0/).
Share and Cite
Feng, M.-L.; Li, Z.-H.; Shi, B.-B. Progress on 3-Nitropropionic Acid Derivatives. Biomolecules 2025, 15, 1066. https://doi.org/10.3390/biom15081066
Feng M-L, Li Z-H, Shi B-B. Progress on 3-Nitropropionic Acid Derivatives. Biomolecules. 2025; 15(8):1066. https://doi.org/10.3390/biom15081066
Chicago/Turabian StyleFeng, Meng-Lin, Zheng-Hui Li, and Bao-Bao Shi. 2025. "Progress on 3-Nitropropionic Acid Derivatives" Biomolecules 15, no. 8: 1066. https://doi.org/10.3390/biom15081066
APA StyleFeng, M.-L., Li, Z.-H., & Shi, B.-B. (2025). Progress on 3-Nitropropionic Acid Derivatives. Biomolecules, 15(8), 1066. https://doi.org/10.3390/biom15081066

