Application of the Chitooligosaccharides and Fluorescence Polarization Technique for the Assay of Active Lysozyme in Hen Egg White
Abstract
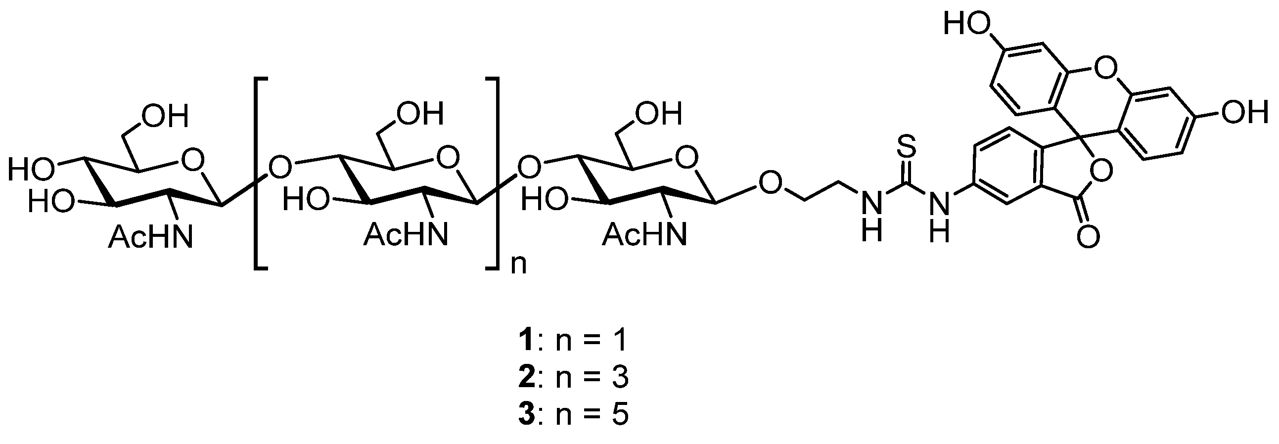
1. Introduction
2. Materials and Methods
2.1. Materials
2.2. Active Lysozyme Determination by the Method of Turbidimetry
2.3. Polarization Fluorescence Assay
2.4. Total Protein Determination
3. Results
4. Discussion
5. Conclusions
Author Contributions
Funding
Institutional Review Board Statement
Informed Consent Statement
Data Availability Statement
Acknowledgments
Conflicts of Interest
References
- Ferraboschi, P.; Ciceri, S.; Grisenti, P. Applications of Lysozyme, an Innate Immune Defense Factor, as an Alternative Antibiotic. Antibiotics 2021, 10, 1534. [Google Scholar] [CrossRef] [PubMed]
- Lesnierowski, G.; Stangierski, J. What’s New in Chicken Egg Research and Technology for Human Health Promotion?—A Review. Trends Food Sci. Technol. 2018, 71, 46–51. [Google Scholar] [CrossRef]
- Nawaz, N.; Wen, S.; Wang, F.; Nawaz, S.; Raza, J.; Iftikhar, M.; Usman, M. Lysozyme and Its Application as Antibacterial Agent in Food Industry. Molecules 2022, 27, 6305. [Google Scholar] [CrossRef]
- Vanderkelen, L.; Van Herreweghe, J.M.; Vanoirbeek, K.G.A.; Baggerman, G.; Myrnes, B.; Declerck, P.J.; Nilsen, I.W.; Michiels, C.W.; Callewaert, L. Identification of a Bacterial Inhibitor against G-Type Lysozyme. Cell. Mol. Life Sci. 2011, 68, 1053–1064. [Google Scholar] [CrossRef]
- Primo, E.D.; Otero, L.H.; Ruiz, F.; Klinke, S.; Giordano, W. The Disruptive Effect of Lysozyme on the Bacterial Cell Wall Explored by an in-silico Structural Outlook. Biochem. Mol. Biol. Educ. 2018, 46, 83–90. [Google Scholar] [CrossRef]
- Leśnierowski, G.; Yang, T. Lysozyme and Its Modified Forms: A Critical Appraisal of Selected Properties and Potential. Trends Food Sci. Technol. 2021, 107, 333–342. [Google Scholar] [CrossRef]
- Liburdi, K.; Benucci, I.; Esti, M. Lysozyme in Wine: An Overview of Current and Future Applications. Compr. Rev. Food Sci. Food Saf. 2014, 13, 1062–1073. [Google Scholar] [CrossRef]
- Takano, K.; Yamagata, Y.; Yutani, K. Role of Amino Acid Residues at Turns in the Conformational Stability and Folding of Human Lysozyme. Biochemistry 2000, 39, 8655–8665. [Google Scholar] [CrossRef]
- Silvetti, T.; Morandi, S.; Hintersteiner, M.; Brasca, M. Use of Hen Egg White Lysozyme in the Food Industry. In Egg Innovations and Strategies for Improvements; Elsevier: Amsterdam, The Netherlands, 2017; pp. 233–242. ISBN 978-0-12-800879-9. [Google Scholar]
- Bergamo, A.; Sava, G. Pharmacological Modulation of Host Immunity with Hen Egg White Lysozyme (HEWL)-A Review. Mol. Basel Switz. 2023, 28, 5027. [Google Scholar] [CrossRef]
- Zhang, R.; Zhang, N.; Mohri, M.; Wu, L.; Eckert, T.; Krylov, V.B.; Antosova, A.; Ponikova, S.; Bednarikova, Z.; Markart, P.; et al. Nanomedical Relevance of the Intermolecular Interaction Dynamics—Examples from Lysozymes and Insulins. ACS Omega 2019, 4, 4206–4220. [Google Scholar] [CrossRef]
- Dan, L.; Liu, S.; Shang, S.; Zhang, H.; Zhang, R.; Li, N. Expression of Recombinant Human Lysozyme in Bacterial Artificial Chromosome Transgenic Mice Promotes the Growth of Bifidobacterium and Inhibits the Growth of Salmonella in the Intestine. J. Biotechnol. 2018, 272–273, 33–39. [Google Scholar] [CrossRef] [PubMed]
- Gao, Y.; Zhao, H.L.; Feng, X.; Zhai, R.D.; Zhu, S.; Du, C.T.; Sun, C.J.; Lei, L.C. Expression of Recombinant Human Lysozyme-Tachyplesin I (hLYZ-TP I) in Pichia Pastoris and Analysis of Antibacterial Activity. Biomed. Environ. Sci. BES 2013, 26, 319–322. [Google Scholar] [CrossRef]
- Shahmohammadi, A. Lysozyme Separation from Chicken Egg White: A Review. Eur. Food Res. Technol. 2018, 244, 577–593. [Google Scholar] [CrossRef]
- Kar, R.K.; Gazova, Z.; Bednarikova, Z.; Mroue, K.H.; Ghosh, A.; Zhang, R.; Ulicna, K.; Siebert, H.-C.; Nifantiev, N.E.; Bhunia, A. Evidence for Inhibition of Lysozyme Amyloid Fibrillization by Peptide Fragments from Human Lysozyme: A Combined Spectroscopy, Microscopy, and Docking Study. Biomacromolecules 2016, 17, 1998–2009. [Google Scholar] [CrossRef]
- Lopera, D.; Aristizabal, B.H.; Restrepo, A.; Cano, L.E.; González, Á. Lysozyme Plays a Dual Role against the Dimorphic Fungus Paracoccidioides Brasiliensis. Rev. Inst. Med. Trop. São Paulo 2008, 50, 169–175. [Google Scholar] [CrossRef]
- Sebaa, S.; Hizette, N.; Boucherit-Otmani, Z.; Courtois, P. Dose-Dependent Effect of Lysozyme upon Candida albicans Biofilm. Mol. Med. Rep. 2017, 15, 1135–1142. [Google Scholar] [CrossRef] [PubMed]
- Hernández-Téllez, C.N.; Rodríguez-Córdova, F.J.; Rosas-Burgos, E.C.; Cortez-Rocha, M.O.; Burgos-Hernández, A.; Lizardi-Mendoza, J.; Torres-Arreola, W.; Martínez-Higuera, A.; Plascencia-Jatomea, M. Activity of Chitosan–Lysozyme Nanoparticles on the Growth, Membrane Integrity, and β-1,3-Glucanase Production by Aspergillus Parasiticus. 3 Biotech 2017, 7, 279. [Google Scholar] [CrossRef]
- Wu, T.; Ge, Y.; Li, Y.; Xiang, Y.; Jiang, Y.; Hu, Y. Quality Enhancement of Large Yellow Croaker Treated with Edible Coatings Based on Chitosan and Lysozyme. Int. J. Biol. Macromol. 2018, 120, 1072–1079. [Google Scholar] [CrossRef]
- Zhang, R.; Wu, L.; Eckert, T.; Burg-Roderfeld, M.; Rojas-Macias, M.A.; Lütteke, T.; Krylov, V.B.; Argunov, D.A.; Datta, A.; Markart, P.; et al. Lysozyme’s Lectin-like Characteristics Facilitates Its Immune Defense Function. Q. Rev. Biophys. 2017, 50, e9. [Google Scholar] [CrossRef]
- Woods, C.M.; Hooper, D.N.; Ooi, E.H.; Tan, L.-W.; Carney, A.S. Human Lysozyme Has Fungicidal Activity against Nasal Fungi. Am. J. Rhinol. Allergy 2011, 25, 236–240. [Google Scholar] [CrossRef]
- Manikandan, M.; Balasubramaniam, R.; Chun, S.-C. A Single-Step Purification of Cauliflower Lysozyme and Its Dual Role Against Bacterial and Fungal Plant Pathogens. Appl. Biochem. Biotechnol. 2015, 177, 556–566. [Google Scholar] [CrossRef] [PubMed]
- Jia, X.-Y.; Liu, W.-Y.; Huang, G.-Q.; Xiao, J.-X. Antibacterial Activity of Lysozyme after Association with Carboxymethyl Konjac Glucomannan. Food Chem. 2024, 449, 139229. [Google Scholar] [CrossRef]
- Berezin, I.V.; Klesov, A.A.; Rabinovich, M.L. Kinetics of Enzymatic Reactions in Heterogeneous Systems. I. The Kinetic Regularities for the Bacterial Cell Micrococcus lysodeikticus. Russ. J. Bioorganic Chem. 1976, 2, 680–688. [Google Scholar]
- Pisarzhevsky, S.A.; Globa, A.G.; Shirshov, O.N.; Marchuk, A.I.; Svetukhin, A.M.; Karelin, A.A. Method for Determining Lysozyme Activity in Blood Serum Using Chitinazur as a Substrate. Issues Med. Chem. 1977, 43, 185–190. [Google Scholar]
- Helal, R.; Melzig, M.F. Determination of Lysozyme Activity by a Fluorescence Technique in Comparison with the Classical Turbidity Assay. Pharmazie 2008, 63, 415–419. [Google Scholar]
- Rohrbach, F.; Karadeniz, H.; Erdem, A.; Famulok, M.; Mayer, G. Label-Free Impedimetric Aptasensor for Lysozyme Detection Based on Carbon Nanotube-Modified Screen-Printed Electrodes. Anal. Biochem. 2012, 421, 454–459. [Google Scholar] [CrossRef] [PubMed]
- Niamnont, N.; Jurat, N.; Sessomboon, N.; Boonkitpatarakul, K.; Sukwattanasinitt, M. Salicylicylphenylacetylene Fluorophore Mixed with Graphene Oxide for Selective Lysozyme Detection. J. Lumin. 2018, 196, 201–206. [Google Scholar] [CrossRef]
- Liu, M.; Zhuang, H.; Zhang, Y.; Jia, Y. A Sandwich FRET Biosensor for Lysozyme Detection Based on Peptide-Functionalized Gold Nanoparticles and FAM-Labeled Aptamer. Talanta 2024, 276, 126226. [Google Scholar] [CrossRef]
- Senturk, H.; Eksin, E.; Işık, Ö.; İlaslan, Z.; Mısırlı, F.; Erdem, A. Impedimetric Aptasensor for Lysozyme Detection Based on Carbon Nanofibres Enriched Screen-Printed Electrodes. Electrochimica Acta 2021, 377, 138078. [Google Scholar] [CrossRef]
- Ren, X.; Yang, L.; Li, Y.; Cheshari, E.C.; Li, X. The Integration of Molecular Imprinting and Surface-Enhanced Raman Scattering for Highly Sensitive Detection of Lysozyme Biomarker Aided by Density Functional Theory. Spectrochim. Acta. A. Mol. Biomol. Spectrosc. 2020, 228, 117764. [Google Scholar] [CrossRef]
- Jiang, Z.-L.; Huang, G.-X. Resonance Scattering Spectra of Micrococcus lysodeikticus and Its Application to Assay of Lysozyme Activity. Clin. Chim. Acta 2007, 376, 136–141. [Google Scholar] [CrossRef] [PubMed]
- Xu, Y.; Liu, Y.; Luo, Y.; Xu, X.; Li, Y.; Zhao, L.; Li, T.; Zhang, Y.; He, P.; Mou, X. Targeted-Activation Superparamagnetic Spherical Nucleic Acid Nanomachine for Ultrasensitive SERS Detection of Lysozyme Based on a Bienzymatic-Mediated in Situ Amplification Strategy. Anal. Sci. 2024, 40, 429–438. [Google Scholar] [CrossRef] [PubMed]
- Liao, Y.-H.; Brown, M.B.; Martin, G.P. Turbidimetric and HPLC Assays for the Determination of Formulated Lysozyme Activity. J. Pharm. Pharmacol. 2010, 53, 549–554. [Google Scholar] [CrossRef] [PubMed]
- Goudswaard, J.; Virella, G. Immunochemical Determination of Human Lysozyme by Laser Nephelometry. Clin. Chem. 1977, 23, 967–970. [Google Scholar] [CrossRef] [PubMed]
- Schneider, N.; Weigel, I.; Werkmeister, K.; Pischetsrieder, M. Development and Validation of an Enzyme-Linked Immunosorbent Assay (ELISA) for Quantification of Lysozyme in Cheese. J. Agric. Food Chem. 2010, 58, 76–81. [Google Scholar] [CrossRef]
- Vidal, M.-L.; Gautron, J.; Nys, Y. Development of an ELISA for Quantifying Lysozyme in Hen Egg White. J. Agric. Food Chem. 2005, 53, 2379–2385. [Google Scholar] [CrossRef]
- Kalra, S.; Pradeep, M.A.; Mohanty, A.K.; Kaushik, J.K. Structural, Functional and Phylogenetic Analysis of Sperm Lysozyme-Like Proteins. PLoS ONE 2016, 11, e0166321. [Google Scholar] [CrossRef]
- Huang, P.; Li, W.; Yang, Z.; Zhang, N.; Xu, Y.; Bao, J.; Jiang, D.; Dong, X. LYZL6, an Acidic, Bacteriolytic, Human Sperm-Related Protein, Plays a Role in Fertilization. PLoS ONE 2017, 12, e0171452. [Google Scholar] [CrossRef]
- Qi, J.; Oppenheimer, M.; Sobrado, P. Fluorescence Polarization Binding Assay for Aspergillus Fumigatus Virulence Factor UDP-Galactopyranose Mutase. Enzyme Res. 2011, 2011, 513905. [Google Scholar] [CrossRef]
- James, N.G.; Jameson, D.M. Steady-State Fluorescence Polarization/Anisotropy for the Study of Protein Interactions. In Fluorescence Spectroscopy and Microscopy; Engelborghs, Y., Visser, A.J.W.G., Eds.; Methods in Molecular Biology; Humana Press: Totowa, NJ, USA, 2014; Volume 1076, pp. 29–42. ISBN 978-1-62703-648-1. [Google Scholar]
- Eremin, S.A.; Mukhametova, L.I.; Krylov, V.B.; Nifantiev, N.E. Fluorescence Polarization Assay for Infection Diagnostics: A Review. Molecules 2024, 29, 4712. [Google Scholar] [CrossRef]
- Schade, S.Z.; Jolley, M.E.; Sarauer, B.J.; Simonson, L.G. BODIPY–α-Casein, a pH-Independent Protein Substrate for Protease Assays Using Fluorescence Polarization. Anal. Biochem. 1996, 243, 1–7. [Google Scholar] [CrossRef] [PubMed]
- Cupp-Enyard, C. Use of the Protease Fluorescent Detection Kit to Determine Protease Activity. J. Vis. Exp. 2009, 30, e1514. [Google Scholar] [CrossRef]
- Voronov, S.V.; Binevski, P.V.; Eremin, S.A.; Kost, O.A. Fluorescence Polarization Studies of Different Forms of Angiotensin-Converting Enzyme. Biochem. Mosc. 2001, 66, 788–794. [Google Scholar] [CrossRef] [PubMed]
- Maeda, H. A New Lysozyme Assay Based on Fluorescence Polarization or Fluorescence Intensity Utilizing a Fluorescent Peptidoglycan Substrate 1. J. Biochem. 1980, 88, 1185–1191. [Google Scholar] [CrossRef]
- Okamoto, T.; Ueda, K.; Maeda, H.; Kambara, T. Determination of Lysozyme Activity by Fluorescence Polarization in Rheumatoid Synovial Fluids and Release of Lysozyme from Polymorphonuclear Leukocytes by Chemotactic Factors. J. Immunol. Methods 1987, 103, 221–227. [Google Scholar] [CrossRef]
- Chettri, D.; Chirania, M.; Boro, D.; Verma, A.K. Glycoconjugates: Advances in Modern Medicines and Human Health. Life Sci. 2024, 348, 122689. [Google Scholar] [CrossRef]
- Shivatare, S.S.; Shivatare, V.S.; Wong, C.-H. Glycoconjugates: Synthesis, Functional Studies, and Therapeutic Developments. Chem. Rev. 2022, 122, 15603–15671. [Google Scholar] [CrossRef] [PubMed]
- Solovev, A.S.; Denisova, E.M.; Kurbatova, E.A.; Kutsevalova, O.Y.; Boronina, L.G.; Ageevets, V.A.; Sidorenko, S.V.; Krylov, V.B.; Nifantiev, N.E. Synthesis of Methylphosphorylated Oligomannosides Structurally Related to Lipopolysaccharide O-Antigens of Klebsiella Pneumoniae Serotype O3 and Their Application for Detection of Specific Antibodies in Rabbit and Human Sera. Org. Biomol. Chem. 2023, 21, 8306–8319. [Google Scholar] [CrossRef]
- Tsvetkov, Y.E.; Volkov, T.M.; Eremin, S.A.; Sklyarov, O.D.; Kulakov, Y.K.; Krylov, V.B.; Nifantiev, N.E. New Synthesis of Oligosaccharides Modelling the M Epitope of the Brucella O-Polysaccharide. Front. Chem. 2024, 12, 1424157. [Google Scholar] [CrossRef]
- Dorokhova, V.S.; Gerbst, A.G.; Komarova, B.S.; Previato, J.O.; Previato, L.M.; Dmitrenok, A.S.; Shashkov, A.S.; Krylov, V.B.; Nifantiev, N.E. Synthesis and Conformational Analysis of Vicinally Branched Trisaccharide β-d-Galf-(1→2)-[β-d-Galf-(1→3)-]-α-Galp from Cryptococcus neoformans Galactoxylomannan. Org. Biomol. Chem. 2021, 19, 2923–2931. [Google Scholar] [CrossRef]
- Kazakova, E.D.; Yashunsky, D.V.; Krylov, V.B.; Bouchara, J.-P.; Cornet, M.; Valsecchi, I.; Fontaine, T.; Latgé, J.-P.; Nifantiev, N.E. Biotinylated Oligo-α-(1→4)-d-Galactosamines and Their N-Acetylated Derivatives: α-Stereoselective Synthesis and Immunology Application. J. Am. Chem. Soc. 2020, 142, 1175–1179. [Google Scholar] [CrossRef] [PubMed]
- Komarova, B.S.; Wong, S.S.W.; Orekhova, M.V.; Tsvetkov, Y.E.; Krylov, V.B.; Beauvais, A.; Bouchara, J.-P.; Kearney, J.F.; Aimanianda, V.; Latgé, J.-P.; et al. Chemical Synthesis and Application of Biotinylated Oligo-α-(1→3)-d-Glucosides To Study the Antibody and Cytokine Response against the Cell Wall α-(1→3)-d-Glucan of Aspergillus Fumigatus. J. Org. Chem. 2018, 83, 12965–12976. [Google Scholar] [CrossRef] [PubMed]
- McGiven, J.; Howells, L.; Duncombe, L.; Stack, J.; Ganesh, N.V.; Guiard, J.; Bundle, D.R. Improved Serodiagnosis of Bovine Brucellosis by Novel Synthetic Oligosaccharide Antigens Representing the Capping m Epitope Elements of Brucella O-Polysaccharide. J. Clin. Microbiol. 2015, 53, 1204–1210. [Google Scholar] [CrossRef]
- Bundle, D.R.; McGiven, J. Brucellosis: Improved Diagnostics and Vaccine Insights from Synthetic Glycans. Acc. Chem. Res. 2017, 50, 2958–2967. [Google Scholar] [CrossRef]
- Mukhametova, L.I.; Zherdev, D.O.; Kuznetsov, A.N.; Yudina, O.N.; Tsvetkov, Y.E.; Eremin, S.A.; Krylov, V.B.; Nifantiev, N.E. Fluorescence-Polarization-Based Assaying of Lysozyme with Chitooligosaccharide Tracers. Biomolecules 2024, 14, 170. [Google Scholar] [CrossRef]
- Tsvetkov, Y.E.; Paulovičová, E.; Paulovičová, L.; Farkaš, P.; Nifantiev, N.E. Synthesis of Biotin-Tagged Chitosan Oligosaccharides and Assessment of Their Immunomodulatory Activity. Front. Chem. 2020, 8, 554732. [Google Scholar] [CrossRef] [PubMed]
- Sedov, S.A.; Belogurova, N.G.; Shipovskov, S.; Levashov, A.V.; Levashov, P.A. Lysis of Escherichia coli Cells by Lysozyme: Discrimination between Adsorption and Enzyme Action. Colloids Surf. B Biointerfaces 2011, 88, 131–133. [Google Scholar] [CrossRef] [PubMed]
- Bradford, M.M. A Rapid and Sensitive Method for the Quantitation of Microgram Quantities of Protein Utilizing the Principle of Protein-Dye Binding. Anal. Biochem. 1976, 72, 248–254. [Google Scholar] [CrossRef]
- Goa, J. A Micro Biuret Method for Protein Determination Determination of Total Protein in Cerebrospinal Fluid. Scand. J. Clin. Lab. Investig. 1953, 5, 218–222. [Google Scholar] [CrossRef]
- Levashov, P.A.; Ovchinnikova, E.D.; Afanas’eva, M.I.; Frid, D.A.; Az’muko, A.A.; Bespalova, Z.D.; Adamova, I.Y.; Afanas’eva, O.I.; Pokrovskii, S.N. Affinity Sorbent Based on Tryptophyl-Threonyl-Tyrosine for Binding of the Immunoglobulins G: Sorption Characteristics and Aspects of Practical Application. Russ. J. Bioorganic Chem. 2012, 38, 46–50. [Google Scholar] [CrossRef]
- Wang, Y.; Goossens, E.; Eeckhaut, V.; Pérez Calvo, E.; Lopez-Ulibarri, R.; Eising, I.; Klausen, M.; Debunne, N.; De Spiegeleer, B.; Ducatelle, R.; et al. Dietary Muramidase Degrades Bacterial Peptidoglycan to NOD-Activating Muramyl Dipeptides and Reduces Duodenal Inflammation in Broiler Chickens. Br. J. Nutr. 2021, 126, 641–651. [Google Scholar] [CrossRef] [PubMed]
- Yang, Z.-H.; Huang, L.-F.; Wang, Y.-S.; Chang, C.-C. Turn-off Enzyme Activity of Histidine-Rich Peptides for the Detection of Lysozyme. Microchim. Acta 2024, 191, 307. [Google Scholar] [CrossRef] [PubMed]





| Egg Sample * | Lysozyme, mg/mL | GP **, mg/mL | TP **, mg/mL | Comparison of Results | |||
|---|---|---|---|---|---|---|---|
| FPA1 ** | FPA2 ** | TM ** | FPA2/FPA1 | GP/TP | |||
| 2Y-1-1 | 4.3 ± 0.4 | 4.6 ± 0.4 | 3.9 ± 1.0 | 38 ± 7 | 114 ± 22 | 1.07 | 0.33 |
| 2Y-1-2 | 4.7 ± 0.3 | 5.7 ± 0.6 | 5.2 ± 0.5 | 23 ± 3 | 133 ± 19 | 1.21 | 0.17 |
| 2Y-1-3 | 4.6 ± 0.2 | 5.1 ± 0.5 | 4.0 ± 1.0 | 26 ± 2 | 131 ± 18 | 1.11 | 0.20 |
| C0-2-1 | 3.6 ± 0.3 | 3.5 ± 0.3 | 2.9 ± 0.8 | 32 ± 3 | 132 ± 19 | 0.97 | 0.24 |
| C0-2-2 | 5.3 ± 0.5 | 4.9 ± 0.5 | 4.4 ± 1.0 | 32 ± 8 | 148 ± 24 | 0.92 | 0.22 |
| C0-2-3 | 4.1 ± 0.3 | 3.8 ± 0.4 | 3.6 ± 0.8 | 23 ± 7 | 117 ± 18 | 0.93 | 0.20 |
| C0-2-4 | 4.3 ± 0.2 | 4.6 ± 0.4 | 4.4 ± 0.8 | 27 ± 2 | 165 ± 21 | 1.07 | 0.16 |
| C0-2-5 | 3.8 ± 0.4 | 3.6 ± 0.3 | 3.0 ± 0.5 | 21 ± 2 | 122 ± 15 | 0.95 | 0.17 |
| C0-2-6 *** | 4.1 ± 0.5 | 2.3 ± 0.1 | 1.7 ± 0.6 | 29 ± 7 | 118 ± 15 | 0.56 | 0.24 |
| C0-3-1 | 3.3± 0.3 | 4.0 ± 0.3 | 3.1 ± 0.4 | 29 ± 4 | 116 ± 22 | 1.21 | 0.25 |
| C0-3-2 | 3.5 ± 0.4 | 4.4 ± 0.4 | 3.5 ± 0.9 | 26 ± 3 | 114 ± 17 | 1.26 | 0.23 |
| C0-3-3 | 4.3 ± 0.5 | 4.4 ± 0.5 | 3.4 ± 0.8 | 25 ± 7 | 97 ± 13 | 1.02 | 0.26 |
| C0-4-1 *** | 4.1 ± 0.2 | 2.3 ± 0.2 | 2.8 ± 0.6 | 21 ± 4 | 131 ± 20 | 0.56 | 0.16 |
| CB-5-1 *** | 4.0 ± 0.4 | 1.6 ± 0.2 | 1.7 ± 0.5 | 18 ± 3 | 72 ± 15 | 0.40 | 0.25 |
| C2-6-1 | 4.1 ± 0.2 | 4.4 ± 0.4 | 3.1 ± 0.6 | 23 ± 3 | 128 ± 17 | 1.07 | 0.18 |
| C2-6-2 | 4.3 ± 0.4 | 3.8 ± 0.4 | 3.0 ± 0.5 | 26 ± 3 | 130 ± 23 | 0.88 | 0.20 |
| C2-6-3 | 4.7 ± 0.3 | 4.0 ± 0.3 | 3.3 ± 0.5 | 29 ± 5 | 133 ± 15 | 0.85 | 0.22 |
| C2-6-4 | 4.6 ± 0.2 | 4.0 ± 0.5 | 3.4 ± 0.5 | 26 ± 4 | 136 ± 21 | 0.87 | 0.19 |
| C1-7-1 | 3.6 ± 0.3 | 3.7 ± 0.3 | 2.8 ± 1.0 | 26 ± 4 | 127 ± 16 | 1.03 | 0.20 |
| Method | Recognition Element | LOD * | Detection Range | Analysis Time | Ref. |
|---|---|---|---|---|---|
| Turbidimetry | Micrococcus lysodeikticus | 1.94 µg/mL | NS ** | 10 min | [34] |
| HPLC | Acetonitrile gradient in 0.1% trifluoroacetic acid. | 3.84 µg/mL | NS | 40 min | [34] |
| ELISA | MAb *** | 0.264 µg/mL | 0.38–4.8 µg/mL | 2–3 h | [37] |
| FPA | Fluorescein labelled chitooligosacharides | 6 µg/mL | 20–90 µg/mL | 5 min | This work |
Disclaimer/Publisher’s Note: The statements, opinions and data contained in all publications are solely those of the individual author(s) and contributor(s) and not of MDPI and/or the editor(s). MDPI and/or the editor(s) disclaim responsibility for any injury to people or property resulting from any ideas, methods, instructions or products referred to in the content. |
© 2024 by the authors. Licensee MDPI, Basel, Switzerland. This article is an open access article distributed under the terms and conditions of the Creative Commons Attribution (CC BY) license (https://creativecommons.org/licenses/by/4.0/).
Share and Cite
Mukhametova, L.I.; Zherdev, D.O.; Eremin, S.A.; Levashov, P.A.; Siebert, H.-C.; Tsvetkov, Y.E.; Yudina, O.N.; Krylov, V.B.; Nifantiev, N.E. Application of the Chitooligosaccharides and Fluorescence Polarization Technique for the Assay of Active Lysozyme in Hen Egg White. Biomolecules 2024, 14, 1589. https://doi.org/10.3390/biom14121589
Mukhametova LI, Zherdev DO, Eremin SA, Levashov PA, Siebert H-C, Tsvetkov YE, Yudina ON, Krylov VB, Nifantiev NE. Application of the Chitooligosaccharides and Fluorescence Polarization Technique for the Assay of Active Lysozyme in Hen Egg White. Biomolecules. 2024; 14(12):1589. https://doi.org/10.3390/biom14121589
Chicago/Turabian StyleMukhametova, Liliya I., Dmitry O. Zherdev, Sergei A. Eremin, Pavel A. Levashov, Hans-Christian Siebert, Yury E. Tsvetkov, Olga N. Yudina, Vadim B. Krylov, and Nikolay E. Nifantiev. 2024. "Application of the Chitooligosaccharides and Fluorescence Polarization Technique for the Assay of Active Lysozyme in Hen Egg White" Biomolecules 14, no. 12: 1589. https://doi.org/10.3390/biom14121589
APA StyleMukhametova, L. I., Zherdev, D. O., Eremin, S. A., Levashov, P. A., Siebert, H.-C., Tsvetkov, Y. E., Yudina, O. N., Krylov, V. B., & Nifantiev, N. E. (2024). Application of the Chitooligosaccharides and Fluorescence Polarization Technique for the Assay of Active Lysozyme in Hen Egg White. Biomolecules, 14(12), 1589. https://doi.org/10.3390/biom14121589

