Inter-Laboratory Concordance of Cerebrospinal Fluid and Serum Kappa Free Light Chain Measurements
Abstract
:1. Introduction
2. Materials and Methods
2.1. Study Design
2.2. Immunoturbidimetry
2.3. Immunonephelometry
2.4. Statistical Analysis
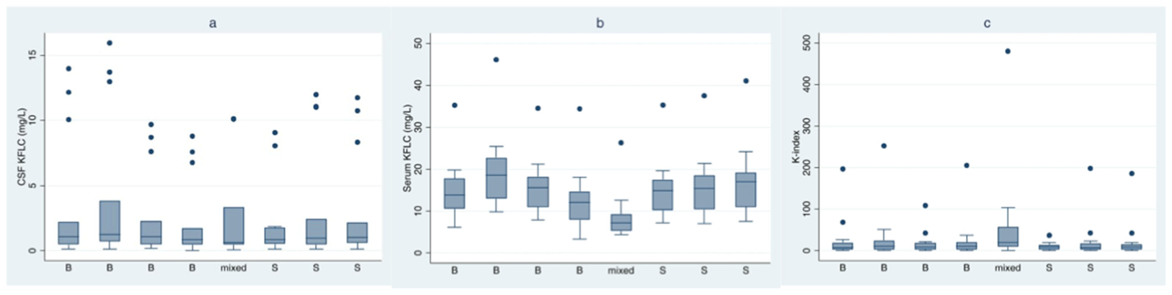
3. Results
4. Discussion
5. Conclusions
Supplementary Materials
Author Contributions
Funding
Institutional Review Board Statement
Informed Consent Statement
Data Availability Statement
Acknowledgments
Conflicts of Interest
References
- Iaffaldano, P.; Lucisano, G.; Butzkueven, H.; Hillert, J.; Hyde, R.; Koch-Henriksen, N.; Magyari, M.; Pellegrini, F.; Spelman, T.; Sørensen, P.S.; et al. Early treatment delays long-term disability accrual in RRMS: Results from the BMSD network. Mult. Scler. 2021, 27, 1543–1555. [Google Scholar] [CrossRef] [PubMed]
- Thompson, A.J.; Banwell, B.L.; Barkhof, F.; Carroll, W.M.; Coetzee, T.; Comi, G.; Correale, J.; Fazekas, F.; Filippi, M.; Freedman, M.S.; et al. Diagnosis of multiple sclerosis: 2017 revisions of the McDonald criteria. Lancet Neurol. 2018, 17, 162–173. [Google Scholar] [CrossRef]
- Dobson, R.; Ramagopalan, S.; Davis, A.; Giovannoni, G. Cerebrospinal fluid oligoclonal bands in multiple sclerosis and clinically isolated syndromes: A meta-analysis of prevalence, prognosis and effect of latitude. J. Neurol. Neurosurg. Psychiatry 2013, 84, 909–914. [Google Scholar] [CrossRef] [PubMed]
- Puthenparampil, M.; Altinier, S.; Stropparo, E.; Zywicki, S.; Poggiali, D.; Cazzola, C.; Toffanin, E.; Ruggero, S.; Grassivaro, F.; Zaninotto, M.; et al. Intrathecal K free light chain synthesis in multiple sclerosis at clinical onset associates with local IgG production and improves the diagnostic value of cerebrospinal fluid examination. Mult. Scler. Relat. Disord. 2018, 25, 241–245. [Google Scholar] [CrossRef] [PubMed]
- Berek, K.; Bsteh, G.; Auer, M.; Di Pauli, F.; Zinganell, A.; Berger, T.; Deisenhammer, F.; Hegen, H. Cerebrospinal Fluid Findings in 541 Patients with Clinically Isolated Syndrome and Multiple Sclerosis: A Monocentric Study. Front. Immunol. 2021, 12, 675307. [Google Scholar] [CrossRef]
- Petzold, A. Intrathecal oligoclonal IgG synthesis in multiple sclerosis. J. Neuroimmunol. 2013, 262, 1–10. [Google Scholar] [CrossRef]
- Freedman, M.S.; Thompson, E.J.; Deisenhammer, F.; Giovannoni, G.; Grimsley, G.; Keir, G.; Öhman, S.; Racke, M.K.; Sharief, M.; Sindic, C.J.M.; et al. Recommended Standard of Cerebrospinal Fluid Analysis in the Diagnosis of Multiple Sclerosis. Adv. Neurol. 2006, 98, 147–160. [Google Scholar] [CrossRef] [Green Version]
- Mclean, B.N.; Luxton, R.W.; Thompson, E.J. A study of immunoglobulin g in the cerebrospinal fluid of 1007 patients with suspected neurological disease using isoelectric focusing and the log igg-index: A comparison and diagnostic applications. Brain 1990, 113, 1269–1289. [Google Scholar] [CrossRef]
- Sellebjerg, F.; Christiansen, M. Qualitative assessment of intrathecal IgG synthesis by isoelectric focusing and immunodetection: Interlaboratory reproducibility and interobserver agreement. Scand. J. Clin. Lab. Investig. 1996, 56, 135–143. [Google Scholar] [CrossRef]
- Franciotta, D.; Lolli, F. Interlaboratory reproducibility of isoelectric focusing in oligoclonal band detection. Clin. Chem. 2007, 53, 1557–1558. [Google Scholar] [CrossRef]
- Christiansen, M.; Gjelstrup, M.C.; Stilund, M.; Christensen, T.; Petersen, T.; Jon Møller, H. Cerebrospinal fluid free kappa light chains and kappa index perform equal to oligoclonal bands in the diagnosis of multiple sclerosis. Clin. Chem. Lab. Med. 2018, 57, 210–220. [Google Scholar] [CrossRef] [PubMed]
- Sladkova, V.; Mares, J.; Hlustik, P.; Langova, J.; Kanovsky, P. Intrathecal synthesis in particular types of multiple sclerosis. Biomed. Pap. 2014, 158, 124–126. [Google Scholar] [CrossRef] [PubMed] [Green Version]
- Crespi, I.; Sulas, M.G.; Mora, R.; Naldi, P.; Vecchio, D.; Comi, C.; Cantello, R.; Bellomo, G. Combined use of kappa free light chain index and isoelectrofocusing of cerebro-spinal fluid in diagnosing multiple sclerosis: Performances and costs. Clin. Lab. 2017, 63, 551–559. [Google Scholar] [CrossRef] [PubMed]
- Hannich, M.J.; Dressel, A.; Budde, K.; Petersmann, A.; Nauck, M.; Süße, M. Kappa Free Light Chains in the Context of Blood Contamination, and Other IgA- and IgM-Related Cerebrospinal Fluid Disease Pattern. Cells 2021, 10, 616. [Google Scholar] [CrossRef] [PubMed]
- Duranti, F.; Pieri, M.; Centonze, D.; Buttari, F.; Bernardini, S.; Dessi, M. Determination of kFLC and K index in cerebrospinal fluid: A valid alternative to assessintrathecal immunoglobulin synthesis. J. Neuroimmunol. 2013, 263, 116–120. [Google Scholar] [CrossRef] [PubMed]
- Gudowska-Sawczuk, M.; Tarasiuk, J.; Kułakowska, A.; Kochanowicz, J.; Mroczko, B. Kappa free light chains and IgG combined in a novel algorithm for the detection of multiple sclerosis. Brain Sci. 2020, 10, 324. [Google Scholar] [CrossRef] [PubMed]
- Ferraro, D.; Trovati, A.; Bedin, R.; Natali, P.; Franciotta, D.; Santangelo, M.; Camera, V.; Vitetta, F.; Varani, M.; Trenti, T.; et al. Cerebrospinal fluid free light kappa and lambda chains in oligoclonal band-negative patients with suspected Multiple Sclerosis. Eur. J. Neurol. 2020, 27, 461–467. [Google Scholar] [CrossRef]
- Crespi, I.; Vecchio, D.; Serino, R.; Saliva, E.; Virgilio, E.; Sulas, M.G.; Bellomo, G.; Dianzani, U.; Cantello, R.; Comi, C.; et al. K Index is a Reliable Marker of Intrathecal Synthesis, and an Alternative to IgG Index in Multiple Sclerosis Diagnostic Work-Up. J. Clin. Med. 2019, 8, 446. [Google Scholar] [CrossRef] [Green Version]
- Altinier, S.; Puthenparampil, M.; Zaninotto, M.; Toffanin, M.; Ruggero, S.; Gallo, P.; Plebani, M. Free light chain in elebrospinal fluid of multiple sclerosis patients negative for IgG oligoclonal bands. Clin. Chim. Acta 2019, 496, 117–120. [Google Scholar] [CrossRef]
- Fischer, C.; Arneth, B.; Koehler, J.; Lotz, J.; Lackner, K.J. Kappa Free Light Chains in Cerebrospinal Fluid as Markers of Intrathecal Immunoglobulin Synthesis. Clin. Chem. 2004, 50, 1809–1813. [Google Scholar] [CrossRef] [Green Version]
- Gurtner, K.M.; Shosha, E.; Bryant, S.C.; Andreguetto, B.D.; Murray, D.L.; Pittock, S.J.; Willrich, M.A.V. CSF free light chain identification of demyelinating disease: Comparison with oligoclonal banding and other CSF indexes. Clin. Chem. Lab. Med. 2018, 27, 1071–1080. [Google Scholar] [CrossRef] [PubMed]
- Kaplan, B.; Ganelin-Cohen, E.; Golderman, S.; Livneh, A. Dignostic utility of kappa free light chains in multiple sclerosis. Expert Rev. Mol. Diagn. 2019, 19, 227–279. [Google Scholar] [CrossRef] [PubMed] [Green Version]
- Presslauer, S.; Milosavljevic, D.; Brücke, T.; Bayer, P.; Hübl, W. Elevated levels of kappa free light chains in CSF support the diagnosis of multiple sclerosis. J. Neurol. 2008, 255, 1508–1514. [Google Scholar] [CrossRef]
- Presslauer, S.; Milosavljevic, D.; Huebl, W.; Aboulenein-Djamshidian, F.; Krugluger, W.; Deisenhammer, F.; Senel, M.; Tumani, H.; Hegen, H. Validation of kappa free light chains as a diagnostic biomarker in multiple sclerosis and clinically isolated syndrome: A multicenter study. Mult. Scler. 2016, 22, 502–510. [Google Scholar] [CrossRef] [PubMed]
- Vecchio, D.; Crespi, I.; Virgilio, E.; Naldi, P.; Campisi, M.; Serino, R.; Dianzani, U.; Bellomo, G.; Cantello, R.; Comi, C. Kappa free light chains could predict early disease course in multiple sclerosis. Mult. Scler. Relat. Disord. 2019, 30, 81–84. [Google Scholar] [CrossRef]
- Voortman, M.M.; Stojakovic, T.; Pirpamer, L.; Jehna, M.; Langkammer, C.; Scharnagl, H.; Reindl, M.; Ropele, S.; Seifert-Held, T.; Archelos, J.-J.; et al. Prognostic value of free light chains lambda and kappa in early multiple sclerosis. Mult. Scler. 2017, 23, 1496–1505. [Google Scholar] [CrossRef]
- Menéndez-Valladares, P.; García-Sánchez, M.I.; Adorna Martínez, M.; García De Veas Silva, J.L.; Bermudo Guitarte, C.; Izquierdo Ayuso, G. Validation and meta-analysis of kappa index biomarker in multiple sclerosis diagnosis. Autoimmun. Rev. 2019, 18, 43–49. [Google Scholar] [CrossRef]
- Ferraro, D.; Bedin, R.; Natali, P.; Franciotta, D.; Smolik, K.; Santangelo, M.; Immovilli, P.; Camera, V.; Vitetta, F.; Gastaldi, M.; et al. Kappa Index Versus CSF Oligoclonal Bands in Predicting Multiple Sclerosis and Infectious/Inflammatory CNS Disorders. Diagnostics 2020, 10, 856. [Google Scholar] [CrossRef]
- Reiber, H.; Zeman, D.; Kušnierová, P.; Mundwiler, E.; Bernasconi, L. Diagnostic relevance of free light chains in cerebrospinal fluid. The hyperbolic reference range for reliable data interpretation in quotient diagrams. Clin. Chim. Acta 2019, 497, 153–162. [Google Scholar] [CrossRef]
- Senel, M.; Mojib-Yezdani, F.; Braisch, U.; Bachhuber, F.; Lewerenz, J.; Ludolph, A.C.; Otto, M.; Tumani, H. CSF Free Light Chains as a Marker of Intrathecal Immunoglobulin Synthesis in Multiple Sclerosis: A Blood-CSF Barrier Related Evaluation in a Large Cohort. Front. Immunol. 2019, 10, 641. [Google Scholar] [CrossRef]
- Schwenkenbecher, P.; Konen, F.F.; Wurster, U.; Jendretzky, K.F.; Gingele, S.; Sühs, K.W.; Pul, R.; Witte, T.; Stangel, M.; Skripuletz, T. The Persisting Significance of Oligoclonal Bands in the Dawning Era of Kappa Free Light Chains for the Diagnosis of Multiple Sclerosis. Int. J. Mol. Sci. 2018, 19, 3796. [Google Scholar] [CrossRef] [Green Version]
- Konen, F.F.; Schwenkenbecher, P.; Jendretzky, K.F.; Gingele, S.; Sühs, K.-W.; Tumani, H.; Süße, M.; Skripuletz, T. The Increasing Role of Kappa Free Light Chains in the Diagnosis of Multiple Sclerosis. Cells 2021, 10, 3056. [Google Scholar] [CrossRef] [PubMed]
- Konen, F.F.; Schwenkenbecher, P.; Wurster, U.; Jendretzky, K.F.; Möhn, N.; Gingele, S.; Sühs, K.-W.; Hannich, M.J.; Grothe, M.; Witte, T.; et al. The Influence of Renal Function Impairment on Kappa Free Light Chains in Cerebrospinal Fluid. J. Cent. Nerv. Syst Dis 2021, 13, 1–11. [Google Scholar] [CrossRef]
- Watson, P.F.; Petrie, A. Method agreement analysis: A review of correct methodology. Theriogenology 2010, 73, 1167–1179. [Google Scholar] [CrossRef] [PubMed] [Green Version]
- Presslauer, S.; Milosavljevic, D.; Huebl, W.; Parigger, S.; Schneider-Koch, G.; Bruecke, T. Kappa free light chains: Diagnostic and prognostic relevance in MS and CIS. PLoS ONE 2014, 9, e89945. [Google Scholar] [CrossRef] [PubMed] [Green Version]
- Pieri, M.; Storto, M.; Pignalosa, S.; Zenobi, R.; Buttari, F.; Bernardini, S.; Centonze, D.; Dessi, M. KFLC Index utility in multiple sclerosis diagnosis: Further confirmation. J. Neuroimmunol. 2017, 309, 31–33. [Google Scholar] [CrossRef]
- Graziani, M.S. Measurement of free light chains—Pros and cons of current methods. Clin. Chem. Lab. Med. 2016, 54, 1015–1020. [Google Scholar] [CrossRef]
- Cigliana, G.; Gulli, F.; Napodano, C.; Pocino, K.; De Santis, E.; Colacicco, L.; Cordone, I.; Conti, L.; Basile, U. Serum free light chain quantitative assays: Dilemma of a biomarker. J. Clin. Lab. Anal. 2018, 32, e22243. [Google Scholar] [CrossRef] [Green Version]
- EQA INSTAND; Düsseldorf, D. Society of the Laboratory Medicine. Available online: https://www.instand-ev.de/en/instand-eqas/eqa-program/ (accessed on 12 December 2021).
- Reiber, H. External quality assessment in clinical neurochemistry: Survey of analysis for cerebrospinal fluid (CSF) proteins based on CSF/serum quotients. Clin. Chem. 1995, 41, 256–263. [Google Scholar] [CrossRef]
- Zeman, D.; Kušnierová, P.; Švagera, Z.; Všianský, F.; Byrtusova, M.; Hradílek, P.; Kurková, B.; Zapletalová, O.; Bartoš, V. Assessment of intrathecal free light chain synthesis: Comparison of different quantitative methods with the detection of oligoclonal free light chains by isoelectric focusing and affinity-mediated immunoblotting. PLoS ONE 2016, 11, e0166556. [Google Scholar] [CrossRef]
- Jacobs, J.F.M.; Tate, J.R.; Merlini, G. Is accuracy of serum free light chain measurement achievable? Clin. Chem. Lab. Med. 2016, 54, 1021–1030. [Google Scholar] [CrossRef] [PubMed]
- Tate, J.; Bazeley, S.; Sykes, S.; Mollee, P. Quantitative serum free light chain assay—Analytical issues. Clin. Biochem. Rev. 2009, 30, 131–140. [Google Scholar]
- Jacobs, J.F.M.; Hoedemakers, R.M.J.; Teunissen, E.; van der Molen, R.G.; Te Velthuis, H. Effect of sample dilution on two free light chain nephelometric assays. Clin. Chim. Acta 2012, 413, 19–20. [Google Scholar] [CrossRef]
- Fleming, C.K.A.; Swarttouw, T.; De Kat Angelino, C.M.; Jacobs, J.F.M.; Russcher, H. Method comparison of four clinically available assays for serum free light chain analysis. Clin. Chem. Lab. Med. 2019, 58, 85–94. [Google Scholar] [CrossRef] [PubMed]
- Daves, M.; Piccin, A.; Roccaforte, V.; Lippi, G. Comparison of Freelite and N-Latex serum free light chain assays: A critical review. Biochem. Med. 2021, 31, 030701. [Google Scholar] [CrossRef] [PubMed]
- Lock, R.J.; Saleem, R.; Roberts, E.G.; Wallage, M.J.; Pesce, T.J.; Rowbottom, A.; Cooper, S.J.; McEvoy, E.D.; Taylor, J.L.; Basu, S. A multicenter study comparing two methods for serum free light chain analysis. Ann. Clin. Biochem. 2013, 50, 255–261. [Google Scholar] [CrossRef] [PubMed] [Green Version]
- Schieferdecker, A.; Hörber, S.; Ums, M.; Besemer, B.; Bokemeyer, C.; Peter, A.; Weisel, K. Comparison of three different serum-free light-chain assays—implications on diagnostic and therapeutic monitoring of multiple myeloma. Blood Cancer J. 2020, 10, 2. [Google Scholar] [CrossRef] [PubMed]
- Süße, M.; Hannich, M.; Petersmann, A.; Zylla, S.; Pietzner, M.; Nauck, M.; Dressel, A. Kappa free light chains in cerebrospinal fluid to identify patients with oligoclonal bands. Eur. J. Neurol. 2018, 25, 1134–1139. [Google Scholar] [CrossRef]


| ICC | CSF KFLC (95%CI) | Serum KFLC (95%CI) | K-Index (95%CI) | CSF Albumin (95%CI) | Serum Albumin (95%CI) |
|---|---|---|---|---|---|
| Binding Site platform and assay (B) (nr = 4) | 0.96 (0.9–0.98) | 0.93 (0.63–0.98) | 0.97 (0.94–0.99) | 1.00 (0.99–1) | 0.81 (0.41–0.94) |
| Siemens platform and assay (S) (nr = 3) | 0.99 (0.97–100) | 0.93 (0.48–0.98) | 0.95 (0.89–0.98) | 0.99 (0.98–1) | 0.93 (0.8–0.98) |
| B + S (nr = 7) | 0.93 (0.85–0.97) | 0.91 (0.73–0.97) | 0.91 (0.82–0.96) | 0.98 (0.96–0.99) | 0.83 (0.58–0.94) |
| All laboratories (nr = 8) | 0.93 (0.87–0.97) | 0.81 (0.53–0.93) | 0.65 (0.43–0.84) | 0.97 (0.96–0.99) | 0.79 (0.55–0.92) |
| Sample | B1 | B1 | B3 | B4 | mixed | S1 | S2 | S3 |
|---|---|---|---|---|---|---|---|---|
| 1 | 197.0 | 252.1 | 108.3 | 205.3 | 479.5 | 170.5 | 197.9 | 185.6 |
| 2 | 6.9 | 6.4 | 4.6 | 11.8 | 10.5 | 5.8 | 6.0 | 6.7 |
| 3 | 1.6 | 2.5 | 2.0 | 2.6 | 4.8 | 2.3 | 1.3 | 1.4 |
| 4 | 7.0 | 8.6 | 5.0 | 14.1 | 18.4 | 5.1 | 6.3 | 6.4 |
| 5 | 19.3 | 24.3 | 16.0 | 15.5 | 57.0 | 14.4 | 18.0 | 14.8 |
| 6 | 3.4 | 3.1 | 2.4 | 3.2 | 3.6 | 2.2 | 2.7 | 3.4 |
| 7 | 68.5 | 51.4 | 42.3 | 36.5 | 103.8 | 36.5 | 42.8 | 42.1 |
| 8 | 18.2 | 24.6 | 21.1 | 21.3 | 42.3 | 18.8 | 17.5 | 15.4 |
| 9 | 19.2 | 17.6 | 11.5 | 10.1 | 22.7 | 12.2 | 15.6 | 11.1 |
| 10 | 1.8 | 2.9 | 3.2 | 0.4 | 9.8 | 3.2 | 2.5 | 2.3 |
| 11 | 7.7 | 10.8 | 9.6 | 11.5 | 19.3 | 10.3 | 7.8 | 10.2 |
| 12 | 27.1 | 28.5 | 18.6 | 20.0 | 86.5 | 19.3 | 23.1 | 20.1 |
| 13 | 1.1 | 1.2 | 1.2 | 1.2 | 1.2 | 1.0 | 1.0 | 0.9 |
| 14 | 4.8 | 8.2 | 5.5 | 7.0 | 14.2 | 7.5 | 5.5 | 6.1 |
| 15 | 7.0 | 12.4 | 9.5 | 9.7 | 23.0 | 13.5 | 8.4 | 8.7 |
Publisher’s Note: MDPI stays neutral with regard to jurisdictional claims in published maps and institutional affiliations. |
© 2022 by the authors. Licensee MDPI, Basel, Switzerland. This article is an open access article distributed under the terms and conditions of the Creative Commons Attribution (CC BY) license (https://creativecommons.org/licenses/by/4.0/).
Share and Cite
Natali, P.; Bedin, R.; Bernardi, G.; Corsini, E.; Cocco, E.; Schirru, L.; Crespi, I.; Lamonaca, M.; Sala, A.; Nicolò, C.; et al. Inter-Laboratory Concordance of Cerebrospinal Fluid and Serum Kappa Free Light Chain Measurements. Biomolecules 2022, 12, 677. https://doi.org/10.3390/biom12050677
Natali P, Bedin R, Bernardi G, Corsini E, Cocco E, Schirru L, Crespi I, Lamonaca M, Sala A, Nicolò C, et al. Inter-Laboratory Concordance of Cerebrospinal Fluid and Serum Kappa Free Light Chain Measurements. Biomolecules. 2022; 12(5):677. https://doi.org/10.3390/biom12050677
Chicago/Turabian StyleNatali, Patrizia, Roberta Bedin, Gaetano Bernardi, Elena Corsini, Eleonora Cocco, Lucia Schirru, Ilaria Crespi, Marta Lamonaca, Arianna Sala, Cinzia Nicolò, and et al. 2022. "Inter-Laboratory Concordance of Cerebrospinal Fluid and Serum Kappa Free Light Chain Measurements" Biomolecules 12, no. 5: 677. https://doi.org/10.3390/biom12050677
APA StyleNatali, P., Bedin, R., Bernardi, G., Corsini, E., Cocco, E., Schirru, L., Crespi, I., Lamonaca, M., Sala, A., Nicolò, C., Di Filippo, M., Villa, A., Nociti, V., De Michele, T., Cavalla, P., Caropreso, P., Vitetta, F., Cucinelli, M. R., Gastaldi, M., ... on behalf of RIREMS (Rising Researchers in MS). (2022). Inter-Laboratory Concordance of Cerebrospinal Fluid and Serum Kappa Free Light Chain Measurements. Biomolecules, 12(5), 677. https://doi.org/10.3390/biom12050677

