Searching for Noninvasive Predictors of the Diagnosis and Monitoring of Eosinophilic Esophagitis—The Importance of Biomarkers of the Inflammatory Reaction Involving Eosinophils
Abstract
1. Introduction
2. Materials and Methods
2.1. Study Design and Population
2.2. Statistical Analysis
2.3. Ethical Considerations
3. Results
3.1. Study Population
3.2. Biomarkers in the Prediction of Diagnosis and Histopathological Advancement
3.3. Biomarkers in the Assessment of Endoscopic Advancement and Prognosis of Inflammatory or Fibrostenotic Course
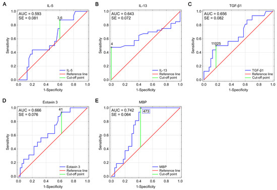
3.4. Diagnostic Potential of the Studied Biomarkers
4. Discussion
5. Conclusions
Author Contributions
Funding
Institutional Review Board Statement
Informed Consent Statement
Data Availability Statement
Acknowledgments
Conflicts of Interest
Trial Registration
Abbreviations
| AUC | area under the curve |
| ELISA | enzyme-linked immunosorbent assay |
| EoE | eosinophilic esophagitis |
| EREFS | Eosinophilic Esophagitis Endoscopic Reference Score |
| HPF | high power field |
| IL-5 | interleukin 5 |
| IL-13 | interleukin 13 |
| IQR | interquartile ranges |
| MBP | major basic protein |
| PEC | peak eosinophil count |
| PPI | proton pump inhibitor |
| ROC | receiver operating characteristic |
| TGF-β1 | transforming growth factor β1 |
References
- Dellon, E.S. Epidemiology of Eosinophilic Esophagitis. Gastroenterol. Clin. N. Am. 2014, 43, 201–218. [Google Scholar] [CrossRef] [PubMed]
- Arias, Á.; Lucendo, A.J. Epidemiology and risk factors for eosinophilic esophagitis: Lessons for clinicians. Expert Rev. Gastroenterol. Hepatol. 2020, 14, 1069–1082. [Google Scholar] [CrossRef] [PubMed]
- Gonsalves, N. Eosinophilic Esophagitis: History, Nomenclature, and Diagnostic Guidelines. Gastrointest. Endosc. Clin. N. Am. 2008, 18, 1–9. [Google Scholar] [CrossRef] [PubMed]
- Furuta, G.T.; Liacouras, C.A.; Collins, M.H.; Gupta, S.K.; Justinich, C.; Putnam, P.E.; Bonis, P.; Hassal, E.; Straumann, A.; Rothenberg, M.E. Eosinophilic Esophagitis in Children and Adults: A Systematic Review and Consensus Recommendations for Diagnosis and Treatment. Sponsored by the American Gastroenterological Association (AGA) Institute and North American Society of Pediatric Gastroenterol. Gastroenterology 2007, 133, 1342–1363. [Google Scholar] [CrossRef] [PubMed]
- Liacouras, C.A.; Furuta, G.T.; Hirano, I.; Atkins, D.; Attwood, S.E.; Bonis, P.A.; Burks, A.W.; Chehade, M.; Collins, M.H.; Dellon, E.S.; et al. Eosinophilic esophagitis: Updated consensus recommendations for children and adults. J. Allergy Clin. Immunol. 2011, 128, 3–20.e6. [Google Scholar] [CrossRef] [PubMed]
- Dellon, E.S.; Gonsalves, N.; Hirano, I.; Furuta, G.T.; Liacouras, C.A.; Katzka, D.A. ACG Clinical Guideline: Evidenced Based Approach to the Diagnosis and Management of Esophageal Eosinophilia and Eosinophilic Esophagitis (EoE). Am. J. Gastroenterol. 2013, 108, 679–692. [Google Scholar] [CrossRef] [PubMed]
- Lucendo, A.J.; Molina-Infante, J.; Arias, Á.; von Arnim, U.; Bredenoord, A.J.; Bussmann, C.; Dias, J.A.; Gonzalez-Cervera, J.; Larsson, H.; Miehlke, S.; et al. Guidelines on eosinophilic esophagitis: Evidence-based statements and recommendations for diagnosis and management in children and adults. United Eur. Gastroenterol. J. 2017, 5, 335–358. [Google Scholar] [CrossRef] [PubMed]
- Dellon, E.S.; Liacouras, C.A.; Molina-Infante, J.; Furuta, G.T.; Spergel, J.M.; Zevit, N.; Spechler, S.J.; Attwood, S.E.; Straumann, A.; Aceves, S.S.; et al. Updated international consensus diagnostic criteria for eosinophilic esophagitis: Proceedings of the AGREE conference. Gastroenterology 2018, 155, 1022.e10–1033.e10. [Google Scholar] [CrossRef]
- Hirano, I.; Chan, E.S.; Rank, M.A.; Sharaf, R.N.; Stollman, N.H.; Stukus, D.R.; Wang, K.; Greenhawt, M.; Falck-Ytter, Y.T.; Chachu, K.A.; et al. AGA institute and the joint task force on allergy-immunology practice parameters clinical guidelines for the management of eosinophilic esophagitis. Ann. Allergy Asthma Immunol. 2020, 124, 416–423. [Google Scholar] [CrossRef]
- Schoepfer, A.; Safroneeva, E.; Straumann, A. How to measure disease activity in eosinophilic esophagitis. Dis. Esophagus 2015, 29, 959–966. [Google Scholar] [CrossRef]
- Nielsen, J.A.; Lager, D.J.; Lewin, M.; Rendon, G.; Roberts, C.A. The optimal number of biopsy fragments to establish a morphologic diagnosis of eosinophilic esophagitis. Am. J. Gastroenterol. 2014, 109, 515–520. [Google Scholar] [CrossRef] [PubMed]
- Kim, H.P.; Vance, R.B.; Shaheen, N.J.; Dellon, E.S. The Prevalence and Diagnostic Utility of Endoscopic Features of Eosinophilic Esophagitis: A Meta-analysis. Clin. Gastroenterol. Hepatol. 2012, 10, 988–996.e5. [Google Scholar] [CrossRef] [PubMed]
- Stucke, E.M.; Clarridge, K.E.; Collins, M.H.; Henderson, C.J.; Martin, L.J.; Rothenberg, M.E. Value of an Additional Review for Eosinophil Quantification in Esophageal Bi-opsies. J. Pediatr. Gastroenterol. Nutr. 2015, 61, 65–68. [Google Scholar] [CrossRef] [PubMed]
- Godwin, B.; Wilkins, B.; Muir, A.B. EoE disease monitoring: Where we are and where we are going. Ann Allergy. Asthma Immunol. 2020, 124, 240–247. [Google Scholar] [CrossRef] [PubMed]
- Fujiwara, Y. Symptom-based diagnostic approach for eosinophilic esophagitis. J. Gastroenterol. 2020, 55, 833–845. [Google Scholar] [CrossRef] [PubMed]
- Muir, A.B.; Wang, J.X.; Nakagawa, H. Epithelial-stromal crosstalk and fibrosis in eosinophilic esophagitis. J. Gastroenterol. 2019, 54, 10–18. [Google Scholar] [CrossRef] [PubMed]
- O’Shea, K.M.; Aceves, S.S.; Dellon, E.S.; Gupta, S.K.; Spergel, J.M.; Furuta, G.T.; Rothenberg, M.E. Pathophysiology of Eosinophilic Esophagitis. Gastroenterology 2018, 154, 333–345. [Google Scholar] [CrossRef]
- D’Alessandro, A. Eosinophilic esophagitis: From pathophysiology to treatment. World J. Gastrointest. Pathophysiol. 2015, 6, 150–158. [Google Scholar] [CrossRef]
- Hirano, I.; Moy, N.; Heckman, M.G.; Thomas, C.S.; Gonsalves, N.; Achem, S.R. Endoscopic assessment of the oesophageal features of eosinophilic oesophagitis: Validation of a novel classification and grading system. Gut 2013, 62, 489–495. [Google Scholar] [CrossRef]
- Dellon, E.S.; Cotton, C.C.; Gebhart, J.H.; Higgins, L.L.; Beitia, R.; Woosley, J.T.; Shaheen, N.J. Accuracy of the Eosinophilic Esophagitis Endoscopic Reference Score in Diagnosis and Determining Response to Treatment. Clin. Gastroenterol. Hepatol. 2016, 14, 31–39. [Google Scholar] [CrossRef]
- Wright, B.L.; Doyle, A.D.; Shim, K.P.; Pai, R.K.; Barshow, S.M.; Horsley-Silva, J.L.; Luo, H.; Rank, M.A.; Jacobsen, E.A.; Katzka, D.A.; et al. Image Analysis of Eosinophil Peroxidase Immunohistochemistry for Diagnosis of Eosinophilic Esophagitis. Dig. Dis. Sci. 2021, 66, 775–783. [Google Scholar] [CrossRef]
- Kim, G.H.; Park, Y.S.; Jung, K.W.; Kim, M.; Na, H.K.; Ahn, J.Y.; Lee, J.H.; Kim, D.H.; Choi, K.D.; Song, H.J.; et al. An Increasing Trend of Eosinophilic Esophagitis in Korea and the Clinical Implication of the Biomarkers to Determine Disease Activity and Treatment Response in Eosinophilic Esophagitis. J. Neurogastroenterol. Motil. 2019, 25, 525–533. [Google Scholar] [CrossRef]
- Peterson, K.A.; Gleich, G.J.; Limaye, N.S.; Crispin, H.; Robson, J.; Fang, J.; Saffari, H.; Clayton, F.; Leiferman, K.M. Eosinophil granule major basic protein 1 deposition in eosinophilic esophagitis correlates with symptoms independent of eosinophil counts. Dis. Esophagus 2019, 32, doz055. [Google Scholar] [CrossRef]
- Johansson, M.W.; McKernan, E.M.; Fichtinger, P.S.; Angulo, E.L.; Bagley, J.L.; Lee, K.E.; Evans, M.D.; Lomeli, L.D.; Mosher, D.F.; Cook, S.M.; et al. αIIb-Integrin (CD41) associated with blood eosinophils is a potential biomarker for disease activity in eosinophilic esophagitis. J. Allergy Clin. Immunol. 2020, 145, 1699–1701. [Google Scholar] [CrossRef]
- Bartig, K.A.; Lee, K.E.; Mosher, D.F.; Mathur, S.K.; Johansson, M.W. Platelet association with leukocytes in active eosinophilic esophagitis. PLoS ONE 2021, 16, e0250521. [Google Scholar] [CrossRef] [PubMed]
- Dellon, E.S.; Woosley, J.T.; McGee, S.J.; Moist, S.E.; Shaheen, N.J. Utility of major basic protein, eotaxin-3, and mast cell tryptase staining for prediction of response to topical steroid treatment in eosinophilic esophagitis: Analysis of a randomized, double-blind, double dummy clinical trial. Dis. Esophagus 2020, 33. [Google Scholar] [CrossRef] [PubMed]
- Lingblom, C.; Albinsson, S.; Johansson, L.; Larsson, H.; Wennerås, C. Patient-Reported Outcomes and Blood-Based Parameters Identify Response to Treatment in Eosinophilic Esophagitis. Dig. Dis. Sci. 2021, 66, 1556–1564. [Google Scholar] [CrossRef] [PubMed]
- Dellon, E.S.; Chen, X.; Miller, R.C.; Woosley, J.T.; Shaheen, N.J. Diagnostic Utility of Major Basic Protein, Eotaxin-3, and Leukotriene Enzyme Staining in Eosinophilic Esophagitis. Am. J. Gastroenterol. 2012, 107, 1503–1511. [Google Scholar] [CrossRef] [PubMed]
- Dellon, E.S.; Speck, O.; Woodward, K.; Covey, S.; Rusin, S.; Gebhart, J.H.; Chen, X.; Woosley, J.T.; Shaheen, N.J. Markers of Eosinophilic Inflammation for Diagnosis of Eosinophilic Esophagitis and Proton Pump Inhibitor–Responsive Esophageal Eosinophilia: A Prospective Study. Clin. Gastroenterol. Hepatol. 2014, 12, 2015–2022. [Google Scholar] [CrossRef]
- Clayton, S.; Cauble, E.; Kumar, A.; Patil, N.; Ledford, D.; Kolliputi, N.; Lopes-Virella, M.F.; Castell, D.; Richter, J. Plasma levels of TNF-α, IL-6, IFN-γ, IL-12, IL-17, IL-22, and IL-23 in achalasia, eosinophilic esophagitis (EoE), and gastroesophageal reflux disease (GERD). BMC Gastroenterol. 2019, 19, 28. [Google Scholar] [CrossRef]
- Lucendo, A.J.; López-Sánchez, P. Targeted Therapies for Eosinophilic Gastrointestinal Disorders. BioDrugs 2020, 34, 477–493. [Google Scholar] [CrossRef]
- Hines, B.T.; Rank, M.A.; Wright, B.L.; Marks, L.A.; Hagan, J.B.; Straumann, A.; Greenhawt, M.; Dellon, E.S. Minimally invasive biomarker studies in eosinophilic esophagitis: A systematic review. Ann. Allergy Asthma Immunol. 2018, 121, 218–228. [Google Scholar] [CrossRef]
- Dellon, E.S.; Rusin, S.; Gebhart, J.H.; Covey, S.; Higgins, L.L.; Beitia, R.; Speck, O.; Woodward, K.; Woosley, J.T.; Shaheen, N.J. Utility of a noninvasive serum biomarker panel for diagnosis and monitoring of eosinophilic esophagitis: A prospective study. Am. J. Gastroenterol. 2015, 110, 821–827. [Google Scholar] [CrossRef]
- Avinashi, V.; Chan, J.M.; Bush, J.W.; Vallance, B.A.; Yang, H.; Portales-Casamar, E.; Soller, L.; Mill, C.; Chan, E.S. Poor Correlation of Oral Swabs with Esophageal Eosinophil Counts. Dysphagia 2019, 35, 773–779. [Google Scholar] [CrossRef] [PubMed]
- Furuta, G.T.; Kagalwalla, A.F.; Lee, J.J.; Alumkal, P.; Maybruck, B.T.; Fillon, S.; Masterson, J.C.; Ochkur, S.; Protheroe, C.; Moore, W.; et al. The oesophageal string test: A novel, minimally invasive method measures mucosal inflammation in eosinophilic oesophagitis. Gut 2012, 62, 1395–1405. [Google Scholar] [CrossRef] [PubMed]
- Ackerman, S.J.; Kagalwalla, A.F.; Hirano, I.; Gonsalves, N.; Katcher, P.M.; Gupta, S.; Wechsler, J.B.; Grozdanovic, M.; Pan, Z.; Masterson, J.C.; et al. One-Hour Esophageal String Test: A Nonendoscopic Minimally Invasive Test That Accurately Detects Disease Activity in Eosinophilic Esophagitis. Am. J. Gastroenterol. 2019, 114, 1614–1625. [Google Scholar] [CrossRef] [PubMed]
- Peterson, K.A.; Cobell, W.J.; Clayton, F.C.; Krishnamurthy, C.; Ying, J.; Pease, L.F.; Saffari, H.; Georgelas, A.; Fang, J.; Gleich, G.J.; et al. Extracellular Eosinophil Granule Protein Deposition in Ringed Esophagus with Sparse Eosinophils. Dig. Dis. Sci. 2015, 60, 2646–2653. [Google Scholar] [CrossRef] [PubMed]
- Travers, J.; Rothenberg, M.E. Eosinophils in mucosal immune responses. Mucosal Immunol. 2015, 8, 464–475. [Google Scholar] [CrossRef] [PubMed]
- Cheng, E.; Zhang, X.; Huo, X.; Yu, C.; Zhang, Q.; Wang, D.H.; Spechler, S.J.; Souza, R.F. Omeprazole blocks eotaxin-3 expression by oesophageal squamous cells from patients with eosinophilic oesophagitis and GORD. Gut 2013, 62, 824–832. [Google Scholar] [CrossRef]
- Zhang, X.; Cheng, E.; Huo, X.; Yu, C.; Zhang, Q.; Pham, T.H.; Wang, D.H.; Spechler, S.J.; Souza, R.F. Omeprazole Blocks STAT6 Binding to the Eotaxin-3 Promoter in Eosinophilic Esophagitis Cells. PLoS ONE 2012, 7, e50037. [Google Scholar] [CrossRef]
- Molina-Infante, J.; Rivas, M.D.; Hernandez-Alonso, M.; Vinagre-Rodríguez, G.; Mateos-Rodríguez, J.M.; Dueñas-Sadornil, C.; Perez-Gallardo, B.; Ferrando-Lamana, L.; Fernandez-Gonzalez, N.; Bañares, R.; et al. Proton pump inhibitor-responsive oesophageal eosinophilia correlates with downregulation of eotaxin-3 and Th2 cytokines overexpression. Aliment. Pharmacol. Ther. 2014, 40, 955–965. [Google Scholar] [CrossRef]
- Konikoff, M.R.; Blanchard, C.; Kirby, C.; Buckmeier, B.K.; Cohen, M.B.; Heubi, J.E.; Putnam, P.E.; Rothenberg, M.E. Potential of Blood Eosinophils, Eosinophil-Derived Neurotoxin, and Eotaxin-3 as Biomarkers of Eosinophilic Esophagitis. Clin. Gastroenterol. Hepatol. 2006, 4, 1328–1336. [Google Scholar] [CrossRef] [PubMed]
- Ishihara, S.; Shoda, T.; Ishimura, N.; Ohta, S.; Ono, J.; Azuma, Y.; Okimoto, E.; Izuhara, K.; Nomura, I.; Matsumoto, K.; et al. Serum biomarkers for the diagnosis of eosinophilic esophagitis and eosinophilic gastroenteritis. Intern. Med. 2017, 56, 2819–2825. [Google Scholar] [CrossRef]
- Min, S.B.; Nylund, C.M.; Baker, T.P.; Ally, M.; Reinhardt, B.; Chen, Y.-J.; Nazareno, L.; Moawad, F.J. Longitudinal Evaluation of Noninvasive Biomarkers for Eosinophilic Esophagitis. J. Clin. Gastroenterol. 2017, 51, 127–135. [Google Scholar] [CrossRef]
- Armbruster-Lee, J.; Cavender, C.P.; Lieberman, J.A.; Samarasinghe, A.E. Understanding fibrosis in eosinophilic esophagitis: Are we there yet? J. Leukoc. Biol. 2018, 104, 31–40. [Google Scholar] [CrossRef] [PubMed]
- Subbarao, G.; Rosenman, M.B.; Ohnuki, L.; Georgelas, A.; Davis, M.; Fitzgerald, J.F.; Molleston, J.P.; Croffie, J.M.; Pfefferkorn, M.D.; Corkins, M.R.; et al. Exploring Potential Noninvasive Biomarkers in Eosinophilic Esophagitis in Children. J. Pediatr. Gastroenterol. Nutr. 2011, 53, 651–658. [Google Scholar] [CrossRef] [PubMed]
- Nhu, Q.M.; Aceves, S.S. Tissue Remodeling in Chronic Eosinophilic Esophageal Inflammation: Parallels in Asthma and Therapeutic Perspectives. Front. Med. 2017, 4, 128. [Google Scholar] [CrossRef] [PubMed]
- Mavi, P.; Rajavelu, P.; Rayapudi, M.; Paul, R.J.; Mishra, A. Esophageal functional impairments in experimental eosinophilic esophagitis. Am. J. Physiol. Liver Physiol. 2012, 302, G1347–G1355. [Google Scholar] [CrossRef]
- Zuo, L.; Fulkerson, P.C.; Finkelman, F.D.; Mingler, M.; Fischetti, C.A.; Blanchard, C.; Rothenberg, M.E. IL-13 Induces Esophageal Remodeling and Gene Expression by an Eosinophil-Independent, IL-13Rα2–Inhibited Pathway. J. Immunol. 2010, 185, 660–669. [Google Scholar] [CrossRef]



| Parameters | EoE | Without EoE | p | |
|---|---|---|---|---|
| Patients [n (%)] | 16 (27.6) | 42 (72.4) | - | |
| Age median (range) | 28.5 (20–50) | 36.5 (24–68) | 0.47 | |
| Male [n (%)] | 11 (68.75) | 17 (40.48) | 0.05 | |
| Atopy [n (%)] | 8 (50.00) | 20 (47.62) | 0.87 | |
| Atopy | inhalation allergies [n (%)] | 4 (25.00) | 10 (23.81) | 0.92 |
| food allergies [n (%)] | 4 (25.00) | 5 (11.90) | 0.21 | |
| bronchial asthma [n (%)] | 0 (0.00) | 5 (11.90) | 0.14 | |
| atopic dermatitis [n (%)] | 2 (12.50) | 3 (7.14) | 0.52 | |
| allergic sinusitis [n (%)] | 1 (6.25) | 3 (7.14) | 0.90 | |
| Clinical symptoms | choking [n (%)] | 9 (56.25) | 18 (42.86) | 0.36 |
| food impaction [n (%)] | 9 (56.25) | 21 (50.00) | 0.67 | |
| odynophagia [n (%)] | 7 (43.75) | 18 (42.86) | 0.95 | |
| Endoscopic features | inflammation [n (%)] | 3 (18.75) | 4 (9.52) | 0.33 |
| endoscopic features of a hiatal hernia [n (%)] | 2 (12.50) | 6 (14.29) | 0.86 | |
| Schatzki ring [n (%)] | 4 (25.00) | 4 (9.52) | 0.12 | |
| edema [n (%)] | 6 (37.50) | 5 (11.90) | 0.026 | |
| rings [n (%)] | 8 (50.00) | 10 (23.38) | 0.046 | |
| exudates [n (%)] | 3 (18.75) | 5 (11.90) | 0.49 | |
| furrows [n (%)] | 3 (18.75) | 3 (7.14) | 0.19 | |
| strictures [n (%)] | 1 (12.50) | 0 | 0.02 | |
| crepe paper esophagus [n (%)] | 0 | 0 | - | |
| EREFS | inflammatory [n (%)] | 9 (56.25) | 8 (19.04) | 0.003 |
| fibrostenotic [n (%)] | 9 (56.25) | 10 (23.81) | 0.02 | |
| total [n (%)] | 12 (75.00) | 12 (28.57) | 0.0015 | |
| PEC | median (range) | 45 (15–100) | 0 (0–5) | 0.0001 |
| Parameters | Before Treatment (n = 16) | After Treatment (n = 7) PEC | |||||
|---|---|---|---|---|---|---|---|
| PEC | Diagnosis of EoE | IL-13 | IL-5 | TGF- β1 | Eotaxin 3 | ||
| IL-13 | −0.12 | −0.19 | 0.02 | ||||
| IL-5 | −0.04 | 0.10 | 0.42 | 0.71 | |||
| TGF-β1 | 0.10 | 0.27 | −0.33 | −0.12 | 0.53 | ||
| Eotaxin 3 | 0.33 | 0.24 | −0.46 | −0.15 | 0.08 | 0.66 | |
| MBP | 0.53 | 0.41 | 0.03 | −0.13 | 0.06 | −0.01 | 0.43 |
| Parameter | IL-13 | IL-5 | TGF-β1 | Eotaxin 3 | MBP | |
|---|---|---|---|---|---|---|
| Before Treatment (n = 16) | Inflammatory EREFS | 0.021 | −0.037 | 0.145 | −0.014 | 0.526 |
| Fibrostenotic EREFS | −0.134 | −0.142 | 0.226 | 0.106 | 0.264 | |
| EFERS | −0.063 | −0.084 | 0.224 | 0.094 | 0.447 | |
| After Treatment (n = 7) | Inflammatory EREFS | 0.144 | 0.000 | −0.144 | 0.577 | 0.874 |
| Fibrostenotic EREFS | −0.722 | 0.289 | 0.289 | 0.289 | −0.291 | |
| EFERS | −0.535 | 0.267 | 0.134 | 0.802 | 0.539 |
Publisher’s Note: MDPI stays neutral with regard to jurisdictional claims in published maps and institutional affiliations. |
© 2021 by the authors. Licensee MDPI, Basel, Switzerland. This article is an open access article distributed under the terms and conditions of the Creative Commons Attribution (CC BY) license (https://creativecommons.org/licenses/by/4.0/).
Share and Cite
Sarbinowska, J.; Wiatrak, B.; Waśko-Czopnik, D. Searching for Noninvasive Predictors of the Diagnosis and Monitoring of Eosinophilic Esophagitis—The Importance of Biomarkers of the Inflammatory Reaction Involving Eosinophils. Biomolecules 2021, 11, 890. https://doi.org/10.3390/biom11060890
Sarbinowska J, Wiatrak B, Waśko-Czopnik D. Searching for Noninvasive Predictors of the Diagnosis and Monitoring of Eosinophilic Esophagitis—The Importance of Biomarkers of the Inflammatory Reaction Involving Eosinophils. Biomolecules. 2021; 11(6):890. https://doi.org/10.3390/biom11060890
Chicago/Turabian StyleSarbinowska, Joanna, Benita Wiatrak, and Dorota Waśko-Czopnik. 2021. "Searching for Noninvasive Predictors of the Diagnosis and Monitoring of Eosinophilic Esophagitis—The Importance of Biomarkers of the Inflammatory Reaction Involving Eosinophils" Biomolecules 11, no. 6: 890. https://doi.org/10.3390/biom11060890
APA StyleSarbinowska, J., Wiatrak, B., & Waśko-Czopnik, D. (2021). Searching for Noninvasive Predictors of the Diagnosis and Monitoring of Eosinophilic Esophagitis—The Importance of Biomarkers of the Inflammatory Reaction Involving Eosinophils. Biomolecules, 11(6), 890. https://doi.org/10.3390/biom11060890

