A Fully Relativistic Approach to Photon Scattering and Photoionization of Alkali Atoms
Abstract
:1. Introduction
2. Theory
3. Computational Methods
3.1. Quasi One-Electron Atomic Structure
3.2. Principal Value Method
4. Results
4.1. Rayleigh and Raman Cross Sections
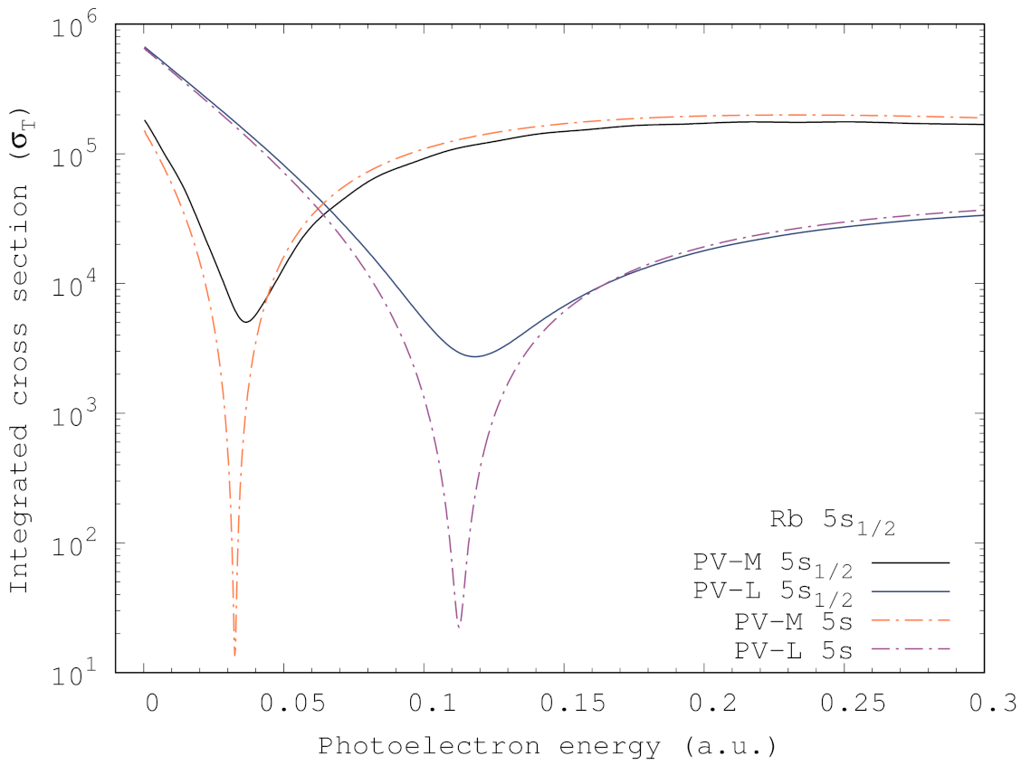
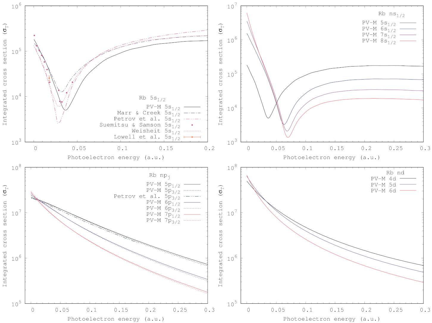
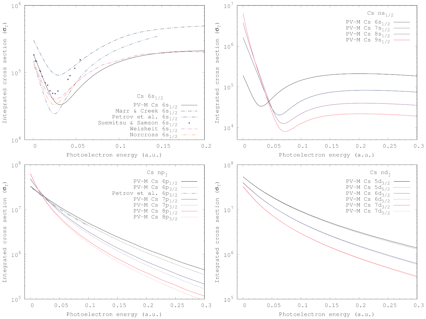
4.2. Photoionization Cross Sections
5. Conclusions
Author Contributions
Funding
Institutional Review Board Statement
Informed Consent Statement
Data Availability Statement
Acknowledgments
Conflicts of Interest
Abbreviations
| KHW | Kramers–Heisenberg–Waller |
| PV | Principal value |
References
- Kramers, H.A.; Heisenberg, W. Über die Streuung von Strahlung durch Atome. Z. Phys. 1925, 31, 681–708. [Google Scholar] [CrossRef]
- Waller, I. Die Streuung kurzwelliger Strahlung durch Atome nach der Diracschen Strahlungstheorie. Z. Phys. 1929, 58, 75–94. [Google Scholar] [CrossRef]
- Sampson, D.H. The Opacity at High Temperatures due to Compton Scattering. Astrophys. J. 1959, 129, 734. [Google Scholar] [CrossRef]
- Huebner, W.F.; Barfield, W.D. Opacity; Springer: New York, NY, USA, 2014. [Google Scholar]
- Colgan, J.; Kilcrease, D.P.; Magee, N.H.; Sherrill, M.E.; Abdallah, J., Jr.; Hakel, P.; Fontes, C.J.; Guzik, J.A.; Mussack, K.A. A new generation of los alamos opacity tables. Astrophys. J. 2016, 817, 116. [Google Scholar] [CrossRef]
- Ferraro, J.H.; Nakamoto, K.; Brown, C.W. Introductory Raman Spectroscopy; Academic Press: Cambridge, MA, USA, 2003. [Google Scholar]
- Lloyd, S. Enhanced Sensitivity of Photodetection via Quantum Illumination. Science 2008, 321, 1463–1465. [Google Scholar] [CrossRef] [PubMed] [Green Version]
- Lanzagota, M. Quantum Radar; Morgan & Claypool: San Rafael, CA, USA, 2012. [Google Scholar]
- Seaton, M.J. A Comparison of Theory and Experiment for Photo-Ionization Cross-Sections. II. Sodium and the Alkali Metals. Proc. R. Soc. Lond. Ser. A 1951, 208, 418–430. [Google Scholar]
- Fermi, E. Über das Intensitätsverhältnis der Dublettkomponenten der Alkalien. Z. Phys. 1930, 59, 680–686. [Google Scholar] [CrossRef]
- Cooper, J.W. Photoionization from Outer Atomic Subshells. A Model Study. Phys. Rev. 1962, 128, 681–693. [Google Scholar] [CrossRef]
- Hudson, R.D. Atomic Absorption Cross Section of Sodium Vapor Between 2400 and 1000 Å. Phys. Rev. 1964, 135, A1212–A1217. [Google Scholar] [CrossRef]
- Hudson, R.D.; Carter, V.L. Atomic Absorption Cross Section of Lithium Vapor Between 2300 and 1150 Å. Phys. Rev. 1965, 137, A1648–A1650. [Google Scholar] [CrossRef]
- Hudson, R.D.; Carter, V.L. Absorption of Light by Potassium Vapor between 2856 and 1150 Å. Phys. Rev. 1965, 139, A1426–A1428. [Google Scholar] [CrossRef]
- Marr, G.V.; Creek, D.M. The Photoionization Absorption Continua for Alkali Metal Vapours. Proc. R. Soc. Lond. Ser. A 1968, 304, 233–244. [Google Scholar]
- Sandner, W.; Gallagher, T.F.; Safinya, K.A.; Gounand, F. Photoionization of potassium in the vicinity of the minimum in the cross section. Phys. Rev. A 1981, 23, 2732–2735. [Google Scholar] [CrossRef]
- Suemitsu, H.; Samson, J.A.R. Relative photoionization cross sections of Cs, Cs2, Rb, and Rb2. Phys. Rev. A 1983, 28, 2752–2758. [Google Scholar] [CrossRef]
- Burkhardt, C.E.; Libbert, J.L.; Xu, J.; Leventhal, J.J.; Kelley, J.D. Absolute measurement of photoionization cross sections of excited atoms: Application to determination of atomic beam densities. Phys. Rev. A 1988, 38, 5949–5952. [Google Scholar] [CrossRef] [PubMed]
- Lowell, J.R.; Northup, T.; Patterson, B.M.; Takekoshi, T.; Knize, R.J. Measurement of the photoionization cross section of the 5S1/2 state of rubidium. Phys. Rev. A 2002, 66, 062704. [Google Scholar] [CrossRef]
- Amin, N.; Mahmood, S.; Haq, S.U.; Kalyar, M.A.; Rafiq, M.; Baig, M.A. Measurements of photoionization cross sections from the 4p, 5d and 7s excited states of potassium. J. Quant. Spectrosc. Radiat. Transf. 2008, 109, 863–872. [Google Scholar] [CrossRef]
- Yar, A.; Ali, R.; Baig, M.A. Evidence of a Cooper minimum in the photoionization from the 7s2S1/2 excited state of potassium. Phys. Rev. A 2013, 88, 033405. [Google Scholar] [CrossRef]
- Kalyar, M.; Yar, A.; Iqbal, J.; Ali, R.; Baig, M. Measurements of photoionization cross section of the 4p levels and oscillator strength of the 4p→nd 2D3/2,5/2 transitions of potassium. Opt. Laser Technol. 2016, 77, 72–79. [Google Scholar] [CrossRef]
- Caves, T.; Dalgarno, A. Model potential calculations of lithium transitions. J. Quant. Spectrosc. Radiat. Transf. 1972, 12, 1539–1552. [Google Scholar] [CrossRef]
- Weisheit, J.C. Photoabsorption by Ground-State Alkali-Metal Atoms. Phys. Rev. A 1972, 5, 1621–1630. [Google Scholar] [CrossRef]
- Norcross, D.W. Photoabsorption by Cesium. Phys. Rev. A 1973, 7, 606–616. [Google Scholar] [CrossRef]
- Aymar, M.; Luc-Koenig, E.; Farnoux, F.C. Theoretical investigation on photoionization from Rydberg states of lithium, sodium and potassium. J. Phys. B At. Mol. Phys. 1976, 9, 1279–1291. [Google Scholar] [CrossRef]
- Saha, H.P. Numerical multiconfiguration self-consistent-field studies of atomic photoionization cross sections: Dynamical core-polarization effects in atomic potassium. Phys. Rev. A 1989, 39, 628–633. [Google Scholar] [CrossRef] [Green Version]
- Petrov, I.D.; Sukhorukov, V.L.; Leber, E.; Hotop, H. Near threshold photoionization of excited alkali atoms Ak(np) (Ak = Na, K, Rb, Cs; n = 3–6). Eur. Phys. J. D 2000, 10, 53–65. [Google Scholar] [CrossRef]
- Petrov, I.D.; Sukhorukov, V.L.; Hotop, H. The influence of core polarization on photo-ionization of alkali and metastable rare gas atoms near threshold. J. Phys. B At. Mol. Opt. Phys. 1999, 32, 973–986. [Google Scholar] [CrossRef]
- Zatsarinny, O.; Tayal, S.S. Photoionization of potassium atoms from the ground and excited states. Phys. Rev. A 2010, 81, 043423. [Google Scholar] [CrossRef]
- McNamara, K.; Fursa, D.V.; Bray, I. Efficient calculation of Rayleigh and Raman scattering. Phys. Rev. A 2018, 98, 043435. [Google Scholar] [CrossRef] [Green Version]
- Singor, A.; Fursa, D.; McNamara, K.; Bray, I. Rayleigh and Raman Scattering from Alkali Atoms. Atoms 2020, 8, 57. [Google Scholar] [CrossRef]
- Balslev, E.; Combes, J.M. Spectral properties of many-body Schrödinger operators with dilatation-analytic interactions. Commun. Math. Phys. 1971, 22, 280–294. [Google Scholar] [CrossRef]
- Simon, B. Quadratic form techniques and the Balslev-Combes theorem. Commun. Math. Phys. 1972, 27, 1–9. [Google Scholar] [CrossRef]
- Rescigno, T.N.; McKoy, V. Rigorous method for computing photoabsorption cross sections from a basis-set expansion. Phys. Rev. A 1975, 12, 522–525. [Google Scholar] [CrossRef] [Green Version]
- Sakurai, J. Advanced Quantum Mechanics; Addison-Wesley: Reading, MA, USA, 1967. [Google Scholar]
- Babushkin, F.A. A Relativistic Treatment of Radiation Transitions. Opt. Spectrosc. 1962, 13, 77. [Google Scholar]
- Babushkin, F.A. Relativistic Radiation Transitions. Opt. Spectrosc. 1965, 19, 1–2. [Google Scholar]
- Grant, I.P. Gauge invariance and relativistic radiative transitions. J. Phys. B At. Mol. Phys. 1974, 7, 1458–1475. [Google Scholar] [CrossRef]
- Sobelman, I. Atomic Spectra and Radiative Transitions; Springer Series in Chemical Physics; Springer: Berlin/Heidelberg, Germany, 1979. [Google Scholar]
- Dyall, K.; Grant, I.; Johnson, C.; Parpia, F.; Plummer, E. GRASP: A general-purpose relativistic atomic structure program. Comput. Phys. Commun. 1989, 55, 425–456. [Google Scholar] [CrossRef]
- Furness, J.B.; McCarthy, I.E. Semiphenomenological optical model for electron scattering on atoms. J. Phys. B At. Mol. Phys. 1973, 6, 2280–2291. [Google Scholar] [CrossRef]
- Albright, B.J.; Bartschat, K.; Flicek, P.R. Core potentials for quasi-one-electron systems. J. Phys. B At. Mol. Opt. Phys. 1993, 26, 337–344. [Google Scholar] [CrossRef]
- Mitroy, J.; Griffin, D.C.; Norcross, D.W.; Pindzola, M.S. Electron-impact excitation of the resonance transition in Ca+. Phys. Rev. A 1988, 38, 3339–3350. [Google Scholar] [CrossRef] [PubMed]
- Hameed, S.; Herzenberg, A.; James, M.G. Core polarization corrections to oscillator strengths in the alkali atoms. J. Phys. B At. Mol. Phys. 1968, 1, 822–830. [Google Scholar] [CrossRef]
- Cheng, Y.-S.; Liu, J.-C.; Sun, W.-G. Core polarization corrections for the photoionization of sodium. Acta Phys. Sin. (Overseas Ed.) 1998, 7, 161–166. [Google Scholar]
- McEachran, R.P.; Ryman, A.G.; Stauffer, A.D.; Morgan, D.L. Positron scattering from noble gases. J. Phys. B At. Mol. Phys. 1977, 10, 663–677. [Google Scholar] [CrossRef]
- Lim, I.S.; Laerdahl, J.K.; Schwerdtfeger, P. Fully relativistic coupled-cluster static dipole polarizabilities of the positively charged alkali ions from Li+ to 119+. J. Chem. Phys. 2002, 116, 172–178. [Google Scholar] [CrossRef]
- Sternheimer, R.M. Quadrupole Polarizabilities of Various Ions and the Alkali Atoms. Phys. Rev. A 1970, 1, 321–327. [Google Scholar] [CrossRef]
- Grant, I.P.; Quiney, H.M. Rayleigh-Ritz approximation of the Dirac operator in atomic and molecular physics. Phys. Rev. A 2000, 62, 022508. [Google Scholar] [CrossRef] [Green Version]
- Bostock, C.J. The fully relativistic implementation of the convergent close-coupling method. J. Phys. B At. Mol. Opt. Phys. 2011, 44, 083001. [Google Scholar] [CrossRef]
- Sienkiewicz, J.E.; Baylis, W.E. A relativistic approach to the elastic scattering of electrons by argon. J. Phys. B At. Mol. Phys. 1987, 20, 5145–5156. [Google Scholar] [CrossRef]
- Fursa, D.V.; Bray, I. Fully Relativistic Convergent Close-Coupling Method for Excitation and Ionization Processes in Electron Collisions with Atoms and Ions. Phys. Rev. Lett. 2008, 100, 113201. [Google Scholar] [CrossRef]
- Fursa, D.V.; Bostock, C.J.; Bray, I. Relativistic convergent close-coupling method: Calculations of electron scattering from cesium. Phys. Rev. A 2009, 80, 022717. [Google Scholar] [CrossRef]








| Parameter | Lithium | Sodium | Potassium | Rubidium | Cesium |
|---|---|---|---|---|---|
| 0.194 | 1.001 | 5.515 | 9.143 | 15.805 | |
| 0.0047 | 0.0634 | 0.733 | 1.592 | 4.907 | |
| 1.130 | 0.987 | 1.161 | 1.140 | 1.212 | |
| 0.769 | 1.068 | 1.220 | 1.203 | 1.257 | |
| 0.769 | 1.069 | 1.224 | 1.120 | 1.298 | |
| 0.392 | 0.714 | 1.022 | 1.111 | 1.202 | |
| 0.392 | 0.724 | 1.026 | 1.126 | 1.233 | |
| 5.001 | 1.251 | 0.626 | 0.626 | 0.724 | |
| 5.001 | 1.251 | 0.626 | 0.626 | 0.763 | |
| 1.405 | 1.529 | 2.259 | 2.595 | 2.968 | |
| 1.292 | 1.693 | 2.208 | 2.561 | 2.882 | |
| 1.291 | 1.683 | 2.202 | 2.559 | 2.901 | |
| 2.345 | 1.798 | 2.464 | 2.941 | 3.325 | |
| 2.345 | 1.817 | 2.469 | 2.966 | 3.386 | |
| − | 4.376 | 3.126 | 3.126 | 3.009 | |
| − | 4.376 | 3.126 | 3.126 | 3.067 | |
| 3.135 | 2.834 | 3.297 | 3.953 | 4.398 |
Publisher’s Note: MDPI stays neutral with regard to jurisdictional claims in published maps and institutional affiliations. |
© 2021 by the authors. Licensee MDPI, Basel, Switzerland. This article is an open access article distributed under the terms and conditions of the Creative Commons Attribution (CC BY) license (https://creativecommons.org/licenses/by/4.0/).
Share and Cite
Singor, A.; Fursa, D.; Bray, I.; McEachran, R. A Fully Relativistic Approach to Photon Scattering and Photoionization of Alkali Atoms. Atoms 2021, 9, 42. https://doi.org/10.3390/atoms9030042
Singor A, Fursa D, Bray I, McEachran R. A Fully Relativistic Approach to Photon Scattering and Photoionization of Alkali Atoms. Atoms. 2021; 9(3):42. https://doi.org/10.3390/atoms9030042
Chicago/Turabian StyleSingor, Adam, Dmitry Fursa, Igor Bray, and Robert McEachran. 2021. "A Fully Relativistic Approach to Photon Scattering and Photoionization of Alkali Atoms" Atoms 9, no. 3: 42. https://doi.org/10.3390/atoms9030042
APA StyleSingor, A., Fursa, D., Bray, I., & McEachran, R. (2021). A Fully Relativistic Approach to Photon Scattering and Photoionization of Alkali Atoms. Atoms, 9(3), 42. https://doi.org/10.3390/atoms9030042

