Abstract
The investigation of integral elastic cross-section (ICS), momentum transfer cross-section (MTCS), viscosity cross-section (VCS), absorption cross-section (ABSCS), and total cross-section (TCS) of atoms by electron () and positron () impact is very crucial and essential for understanding fundamental atomic processes and their applications in various fields such as plasma physics, molecular physics, and astrophysics. This study investigates and analyses the ICS, MTCS, VCS, ABSCS, and TCS of the atoms, Li, Be, B, Ti, and W, over a wide energy range. By employing the computational Optical Potential Method (OPM) and quantum scattering integrated in a computational package, ELSEPA (Elastic scattering of electrons and positrons by atoms, positive ions and molecules), the cross-sections of atoms by electron and positron impact are calculated. The present results shows good agreement with all the experimental and theoretical data available in the literature. The obtained cross-sections may facilitate the development of accurate models for plasma simulations and fusion research.
1. Introduction
Collisions involving electrons and positrons with atoms, molecules, ions, and surfaces play a crucial role in low-temperature plasmas (LTPs), with various applications in plasma science and technology [1]. Understanding the fundamentals of scattering and interactions of electrons and positrons with matter is essential for advancing numerous modern scientific and technological fields. Research on —atom collisions provides crucial insight into the fundamental interactions within many-electron systems. These processes allow scientists to quantify the behavior of ionized gases observed in diverse settings, such as those generated by electrical discharges, such as in lighting systems, formed in fusion plasmas, or occurring naturally in astrophysical environments [2]. These interactions critically shape the chemical dynamics of their surrounding environments, both during and immediately following collision events [1,2]. It is crucial to understand the atomic structure, the interaction between ionizing radiation and matter, the process of energy deposition by radiation within matter, and the behavior of electrons in the condensed phases of matter [3]. Accurate determination of scattering observables is critical for applications in areas such as atmospheric physics, X-ray lasers, surface analysis techniques, electron probe microanalysis, radiation detector design, radiation protection, and fusion energy research [3,4].
Furthermore, a comprehensive set of observable quantities for positron scattering is essential for astrophysical studies, radiation-based technologies, and energy deposition modeling [3]. Positrons play a critical role in plasma wall interactions, particularly in fusion research, due to their unique antimatter properties and the potential to form positronium (Ps), in which a positron binds to an electron to form a short-lived neutral bound state. There is both theoretical and experimental evidence supporting the generation of positrons in high-energy plasma environments. In laser-solid interactions, ultra-intense lasers ( W/cm2) incident on high-Z targets produce positrons via the Bethe–Heitler process, yielding up to positrons per shot with energies exceeding 100 MeV [5]. Additionally, reactor-based studies have demonstrated positron production via decay of neutron-activated isotopes such as 126I with fluxes reaching cm2/s [6]. These mechanisms confirm that positrons are indeed present in plasma–wall environments and should be considered in material interaction studies.
Achieving stable fusion energy relies heavily on understanding and controlling plasma-wall interactions within reactors like Tokamaks. Critical to this is the selection of wall coating materials, as plasma chemistry near the walls significantly impacts stability. Electron/positron collisions with the wall coating might induce erosion, impurity transport, and redeposition, potentially destabilizing the plasma core. Computational models that simulate ITER’s (International thermonuclear experimental reactor) conditions require accurate electron/positron cross-sectional data for elements such as Li, Be, B, Ti, Fe, and W, which are used in plasma wall coatings [7]. Research focusing on providing this essential data to improve model accuracy and optimize material choices, ultimately enhancing fusion reactor performance, includes the work of Goswami et al. [7], wherein they estimated the electron impact total ionization cross section for plasma wall coating elements: Li, Be, B, Ti, and Fe. They employed the spherical complex optical formalism (SCOP) [8] and the complex scattering potential ionization contribution (CSP-ic) [9] methods for the calculations.
The total elastic cross section and the first and second transport cross sections for the electron interaction with atoms, with atomic numbers in the range of Z = 1 to 92, are reported by Mayol & Salvat [10]. The cross sections (100 eV to 1 GeV) are calculated by numerically solving the Dirac equation for a central electrostatic field using Dirac-Hartree-Fock atomic electron densities. Similarly, Dapor & Miotello [11] reported the total elastic, differential, and transport cross sections (500–40,000 eV) for positron scattering from atoms by numerically solving the Dirac equation using Hartree-Fock atomic electron densities for Z = 1–18 and Dirac-Hartree-Fock-Slater atomic electron densities for Z = 19–92. Blanco et al. [12] have calculated the ICS, ABSCS (excitation + ionization) and TCS (ICS + ABSCS) for electron interaction using a complex potential in the energy range of 0.1 eV to 5000 eV for Be and W. Wang et al. [13] have investigated the elastic interaction of electron with B by using the B-spline and R-Matrix method for energy in the range of 0.01 eV to 100 eV. For the —Be interaction, McEachran et al. [14] have calculated the ICS, MTCS, and ABSCS (excitation + ionization) using a relativistic complex optical potential method where the Dirac-Fock configuration was used to calculate the cross sections by solving the Dirac scattering equations in the energy range from 0 to 5000 eV, Adibzadeh et al. [15] have calculated ICS and MTCS using a standard partial-wave expansion model combined with a relativistic approach. The cross-sections were determined by solving the stationary Dirac equation over an energy range of 0.01 to 1000 eV, Kaushik et al. [16] have calculated ICS using non-relativistic partial-wave calculations in the energy range 5 to 30 eV, and Fursa and Bray [17] have calculated ICS using the convergent close-coupling (CCC) method, extended to the calculation of electron scattering from atoms in the energy range 5 to 1000 eV. For Li, theoretical predictions are given by Vinodkumar et al. [18] using the SCOP method to calculate TCS in the energy range from threshold to 2000 eV, while experimental measurements are reported by Perel et al. [19] who measured the TCS of —Li scattering using the atomic beam recoil technique in the energy range 1 to 10 eV. In this method, the atom beam is intersected by a modulated beam, causing recoil that scatters the atom beam at the modulation frequency. Research by A. V. Lugovskoy et al. [20] employed the convergent close-coupling (CCC) method to analyze positron interactions with alkali metals (Li, Na and K) at very low energies from eV to eV. Their calculations specifically addressed systems where only elastic scattering in the ground state and Ps formation contribute as active interaction channels.
Due to the scarcity of data in the literature for electron and positron elastic scattering from Li, Be, B, Ti, and W, covering a wide energy range, the present work focuses on calculating the scattering cross sections like ICS, MTCS, VCS, ABSCS, and TCS from 5 eV to 0.1 MeV. ELSEPA [4], a computational package that implements Dirac partial wave analysis, is used for calculations. The results are compared with the existing theoretical and experimental data, wherever available.
2. Theoretical Details
2.1. Interaction Potential
In this work, the effective interaction between the projectile and the target atom is modeled using an optical potential approach, which is used to calculate the scattering cross sections for both electrons and positrons .
The static potential , exchange potential , correlation-polarization potential , and imaginary absorption potential play distinct roles in modeling these interactions. represents the electrostatic interaction between the projectile and the target atom. Its sign differs for electrons and positrons due to their opposite charges. accounts for the quantum mechanical exchange effects arising when identical particles like electrons interact. So, this term is excluded for positron scattering as positrons are not identical to the target electrons. describes the polarization of the target’s electron cloud induced by the incoming particle, along with correlation effects between the projectile and the target electrons. represents the loss of beam intensity due to inelastic scattering processes, modeled as an imaginary term in the potential.
The static potential is a representation of the electrostatic potential of the target atom. It is used to describe the electrostatic forces between the target atom and the incident particle and it is mathematically expressed as,
The charge of the projectile is denoted by , where is for electrons and is for positrons. The electrostatic potential is composed of two parts: the potential due to the nucleus and the potential due to the electron cloud Together, these components sum up to give the total electrostatic interaction.
And
Here and represent the charge densities of the nucleus and electron, respectively. In the present work, we have adopted Fermi distribution [21] for nuclear charge density and Dirac-Fock densities [22] for electron charge density which yeilds the most realistic results. Both charge densities are normalized according to the integral condition mentioned below.
where Z is the atomic number of the target atom and is the number of bound electrons of the target. In the current study, we employ the semi-classical exchange potential developed by Furness and McCarthy [17]. This potential is derived by applying a WKB approximation to model the non-local exchange interaction directly.
The incident energy of the electron is denoted as and represents the Bohr radius. In the local density approximation (LDA) for the correlation-polarization potential [23], the correlation energy of the projectile at a position r is assumed to be equivalent to that of a particle moving within a free electron gas (FEG) of density (r), which matches the local atomic electron density at that point. Following the approach of Padial and Norcross [24], the correlation potential is determined by taking the functional derivative of the FEG correlation energy with respect to r). To facilitate this, a density parameter is introduced.
where represents the radius of the sphere that encloses one electron of the gas and it is measured in terms of Bohr radius () units. For electron scattering, the correlation potential parameterization proposed by Perdew and Zunger [25], as implemented in ELSEPA [4], is utilized. This parameterization effectively models the interaction by incorporating correlation effects into the scattering calculations.
For and
For where , and . For positron scattering, the correlation-polarization potential developed by Jain [26] is utilized. This potential provides a framework for describing the interaction between the positron and the target by incorporating both correlation effects and long-range polarization contributions.
For
For and
For
For .
For projectiles that possess kinetic energy exceeding the first excitation threshold, particles are lost from the elastic channel to the inelastic channels. This phenomenon can be modeled by incorporating a negative imaginary term, , into the optical model potential. The semi-relativistic absorption potential adopted in the present computation is [4],
where represents the rate of interaction per unit time, where is the cross-sectional area for the collisions with energy transfers exceeding a specific threshold, and absorption-potential strength , was determined empirically and assigned a value of 2 in this work. The primary relativistic correction to the absorption potential can be incorporated by simply substituting the non-relativistic velocity with the relativistic velocity.
In the present study, atomic polarizability values have been adopted from the CRC Handbook of Chemistry and Physics, specifically from the section on atomic and molecular polarizabilities [27]. The corresponding atomic polarizability values used in this work are presented in Table 1.
Table 1.
Atomic polarizabilities of free atoms (in cm3), from [27].
2.2. Dirac Partial Wave Analysis
The relativistic Dirac equation provides solutions for various scattering cross-sections [28]. The motion of the projectile, either an electron or a positron, moving with velocity in a central potential is described by an equation that captures the dynamics of this interaction.
Here represents the total energy of the projectile and denotes the rest mass of the projectile. The operators typically denote Dirac matrices. Solutions to the Dirac equation can be expressed using four-component spinors, which are characterized by the quantum numbers (m) [29].
The term denotes spherical spinors that depends on angle. The relativistic quantum number can be expressed in terms of the total angular quantum number and the orbital angular quantum number .
The functions and represent the radial components of the large and small parts of the scattering wave function, respectively. These functions are solutions to a coupled set of differential equations [29] that describe the scattering process.
And
We normalize the spherical waves such that the upper-component radial function, which asymptotically oscillates with unit amplitude. For finite-range fields, as , this condition is satisfied.
Here k represents the relativistic wave number of the projectile. This wave number is related to the kinetic energy E and momentum p through a specific relation which is given by,
The Equations (19) and (20) are numerically solved using the RADIAL subroutine package [30] to derive the asymptotic solution in (22). The scattering of electrons and positrons from a neutral atomic target is described through the direct scattering amplitude and the spin-flip scattering amplitude [29].
And
The functions and represent the Legendre polynomial and the associated Legendre function, respectively.
The elastic differential cross-section (DCS) per unit solid angle can be determined using the scattering amplitudes and phase shifts, as described in [29].
The integral elastic cross-section, [31], is calculated by integrating the differential elastic cross-section over all solid angles. This provides a comprehensive measure of the total scattering probability for elastic interactions across all possible scattering directions.
The momentum transfer cross-section, [31], is calculated by integrating the differential cross-section weighted by the factor over all solid angles. This approach accounts for the average momentum transferred during scattering events, highlighting the significance of contributions from larger deflection angles.
The viscosity cross-section, [31], is defined as a measure of the interaction that accounts for momentum transfer in a fluid due to viscous forces. It can be calculated by integrating the differential cross-section, modified by factors related to the velocity gradient and intermolecular interactions, over all solid angles.
The total cross-section, [31], is determined by summing the contributions from all possible scattering processes, including elastic and inelastic interactions. It represents the overall probability of any interaction occurring between particles.
Here, represents the imaginary part of the direct scattering amplitude in the forward direction at . The presence of this imaginary component in the optical potential leads to both elastic and inelastic (absorption) scattering during the interaction. Consequently, the total cross-section for a specific target can be expressed as a sum of elastic and inelastic contributions, reflecting the combined effects of these scattering processes.
where is total absorption cross section. Since inelastic channels in Li, Be, B, Ti, and W scattering involve both excitation to discrete quantum states and ionization, the second term in Equation (28) can be split into two distinct components to account for these separate physical processes.
3. Results and Discussions
In this section, we present the results due to electron and positron scattering on atoms such as Li, Be, B, Ti, and W. To validate the present calculated results, we compared them with all available experimental and theoretical results reported in the literature. Our calculations provide predictions for energy ranges where there is no data. We offer these results to guide and validate future experimental and theoretical studies.
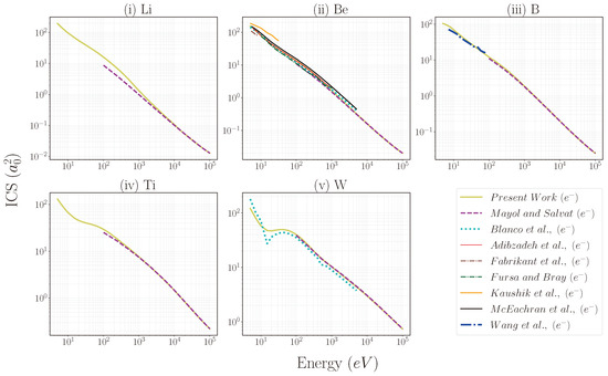
For the —Li, Be, B, Ti, and W scattering systems, we did not find experimental data in the literature to compare the present ICS, MTCS, and VCS calculations. We therefore compared the present results with the theoretical calculations shown in Figure 1, Figure 2 and Figure 3. Figure 1 shows the present result of the ICS for the —Li, Be, B, Ti, and W scattering systems. For all the elements, our data is compared with the theoretical results of Mayol and Salvat [10] in the energy range 100 eV ≤ ≤ MeV; for Be and W, the theoretical results are compared with Blanco et al. [12] in the energy range 5 eV ≤ ≤ 5000 eV and for B, the theoretical results are compared with Wang et al. [13] in the energy range 5 eV ≤ ≤ 100 eV. For Be the present results are compared with the theoretical predictions given by Adibzadeh et al. [15] in the energy range 5 eV ≤ ≤ 1000 eV, Fabrikant et al. [32] in lower energy range around 5–10 eV, Fursa and Bray [17] in the energy range 100 eV ≤ ≤ MeV, Kaushik et al. [16] in the energy range 5–30 eV and McEachran et al. [14] in the energy range 5 eV ≤ ≤ 5000 eV. The comparison shows that the present ICS results, in Figure 1, agree well with those of Mayol and Salvat [10], for all the atoms, and with Wang et al. [13], for B, throughout the compared energy range.
Figure 1.
Energy dependence of integrated elastic cross section (ICS) for the –Li, Be, B, Ti, W scattering in the energy range 5 eV ≤ ≤ MeV. The thick-solid lines (yellow) are the present results. Other theoretical predictions are dash-dashed lines (magenta) from [10], dotted lines (cyan) from [12], dash-dot-dashed lines (blue) from [13], solid line (red) from [15], dash-dot-dashed lines (brown) from [32], solid line (orange) from [16], dash-dot-dashed lines (green) from [17], solid line (black) from [14].
Figure 2.
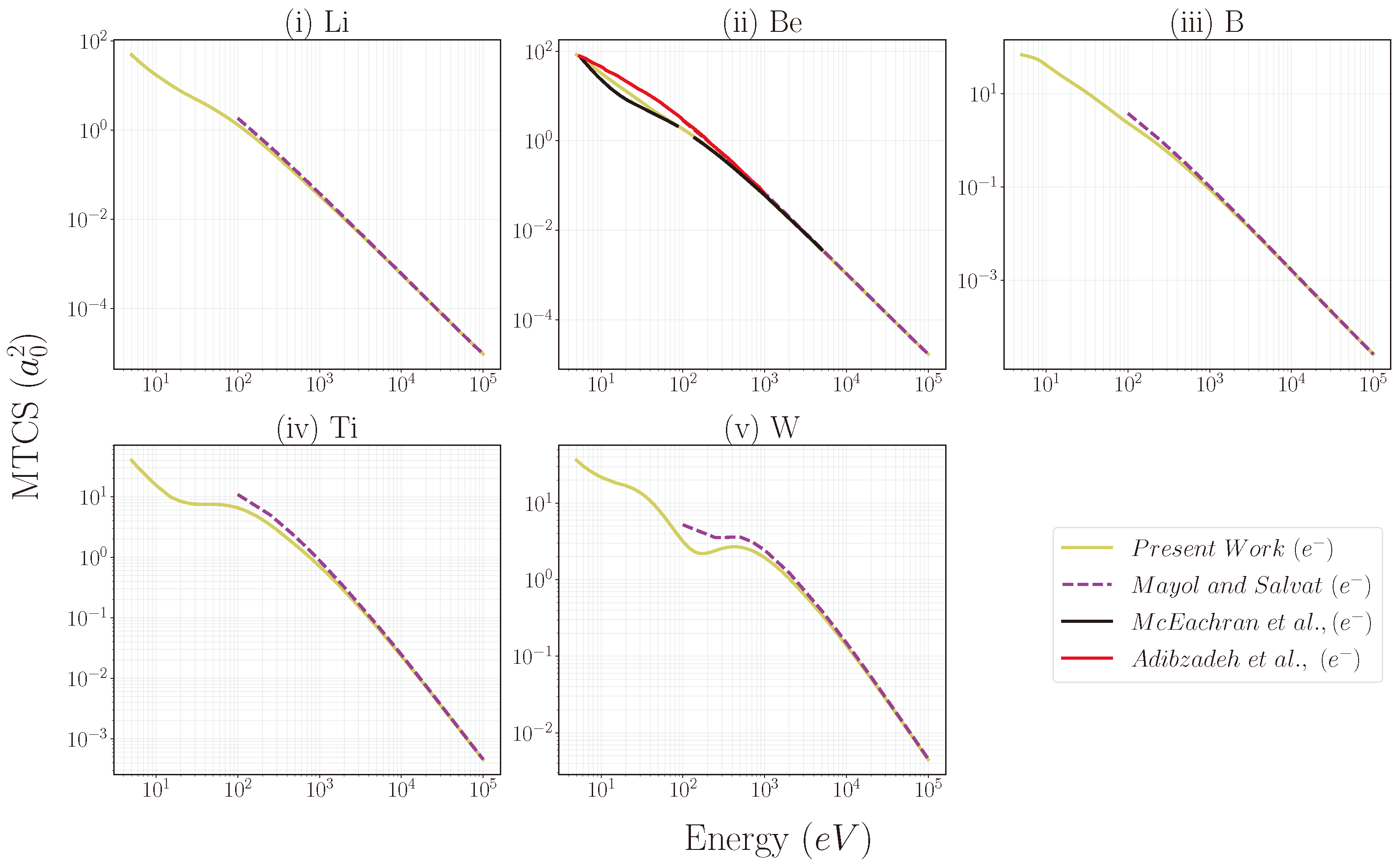
Energy dependence of momentum transfer cross section (MTCS) for the —Li, Be, B, Ti, and W scattering in the energy range 5 eV ≤ ≤ MeV. The thick-solid lines (yellow) are the present results. Other theoretical predictions are dash-dashed lines (magenta) from [10], solid line (black) from [14], solid line (red) from [15].
Figure 3.
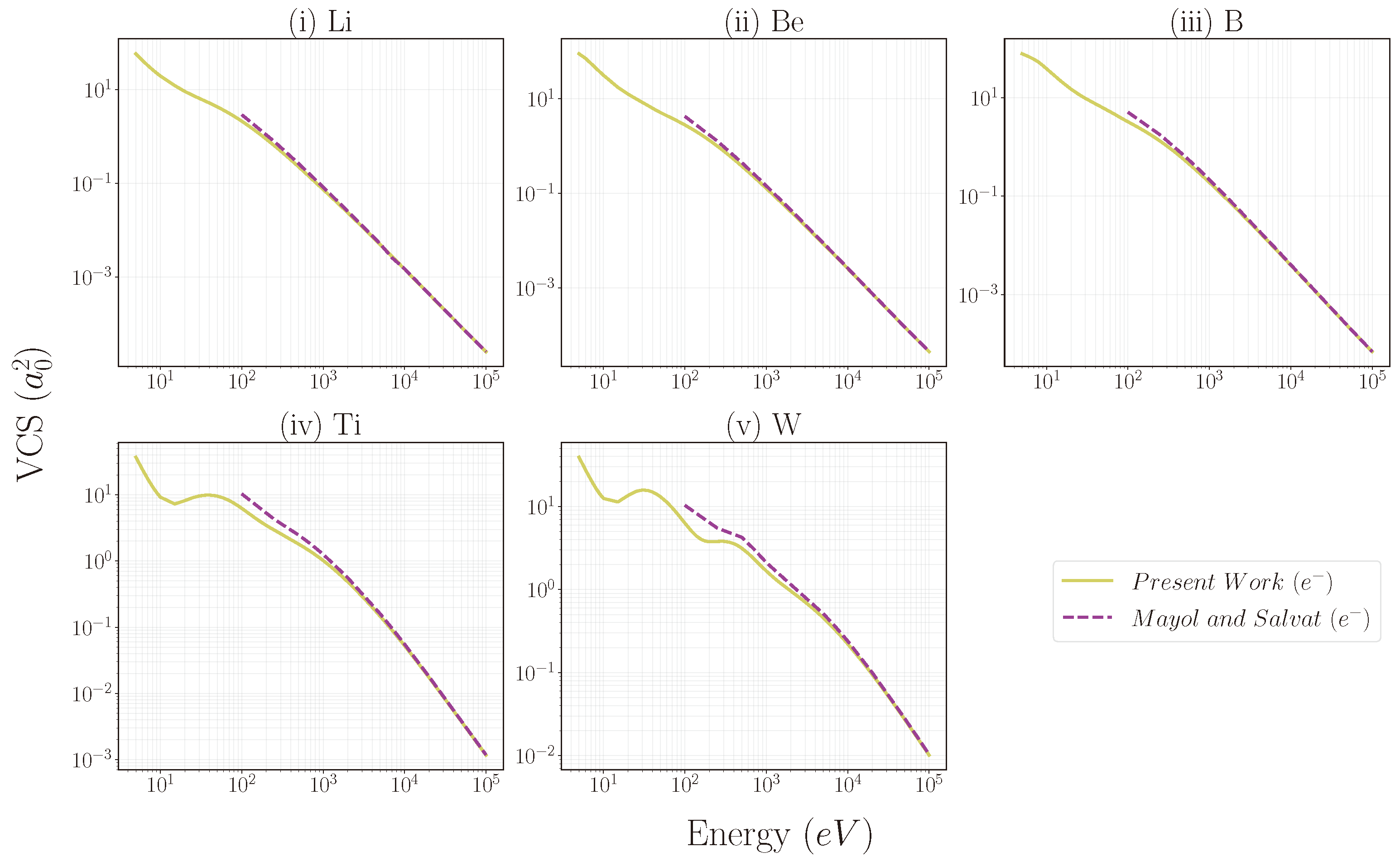
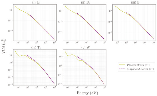
Energy dependence of the viscosity cross section (VCS) for the —Li, Be, B, Ti, and W scattering in the energy range 5 eV ≤ ≤ MeV. The thick-solid lines (yellow) are the present results. Other theoretical predictions are dash-dashed lines (magenta) from [10].
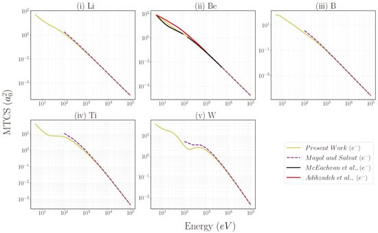
For Be, the comparison of the present data with Blanco et al. [12] and all other compared theoretical calculations shows good agreement. However, the data of Kaushik et al. [16] for Be do not exactly match the present work and all other reference data, but exhibit a trend similar to the findings of the current study. The differences in magnitude are observed mostly for the Be atom based on the fact that the implementation of second-order polarization effects in —atom interaction is achieved through a modified semi-empirical potential derived from the Buckingham framework of Jhanwar and Khare (1976) which was later modified by Raj in (1981) [16] and a corrected quasi-free absorption potential method is employed for W where the exchange potential was excluded from the complex potential [12], respectively. Figure 2 and Figure 3 represent the present result of MTCS and VCS, respectively, for the — Li, Be, B, Ti, and W scattering systems. For all elements, the present data are compared with the theoretical results of Mayol and Salvat [10] in the energy range 100 eV ≤ ≤ MeV. Furthermore, for Be the present MTCS is compared with the theoretical calculations given by Adibzadeh et al. [15] in the energy range 5 eV ≤ ≤ 5000 eV, and McEachran et al. [14] in the energy range 5 eV ≤ ≤ 1000 eV. The present data agree well with the results of Adibzadeh et al. [15] and McEachran et al. [14]. In addition, the comparison shows that the present MTCS and VCS, for Li, Be, and B, agree well with that of Mayol and Salvat [10]. For heavier elements, Ti and W, the present MTCS and VCS compared with Mayol and Salvat data [10] do not match exactly in the energy range from 100 to 500 eV. The difference decreases as the incident energies increase. The energy dependence of ICS, MTCS, and VCS reveals a general monotonic decrease as the projectile energy increases. This trend suggests that some particles are being absorbed into inelastic channels, and it is also because of the interaction time between the projectile and the target, which decreases, leading to a decrease in the cross section.
At lower energies, in the absence of comprehensive experimental data for most of the targets considered, we have compared our calculated cross-sections with results from previously validated and trusted theoretical models. These comparisons show good general agreement, giving us confidence in the reliability of our approach within this energy regime.
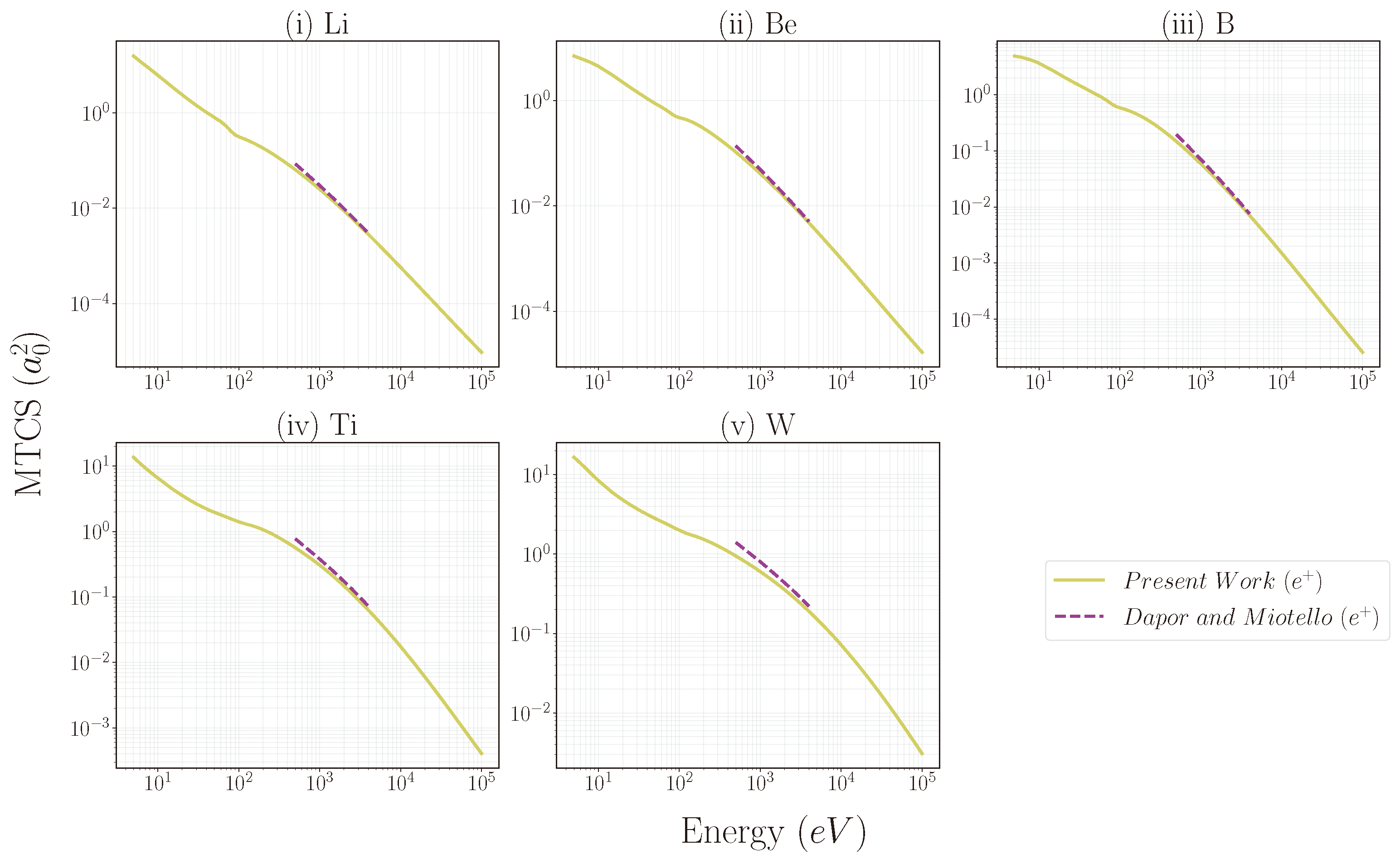
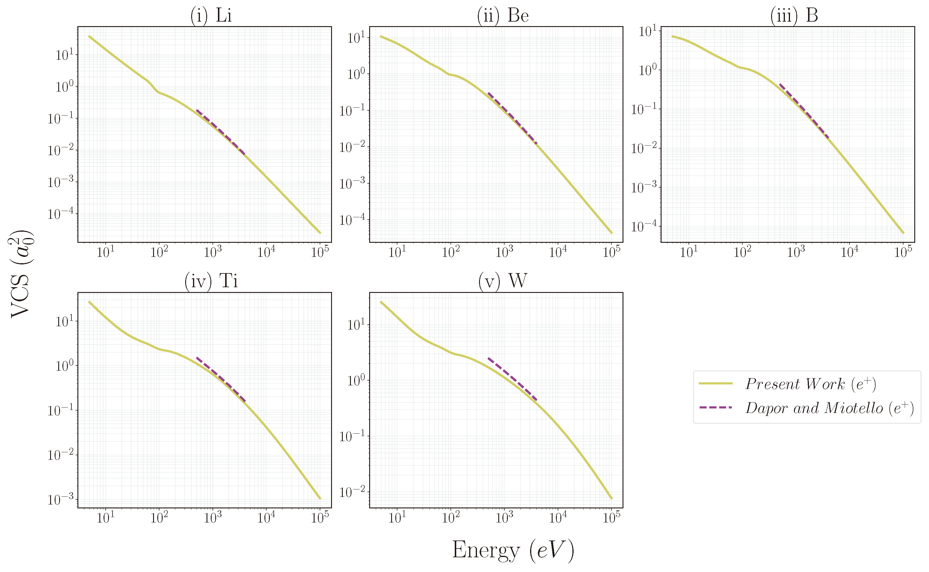
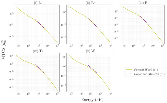
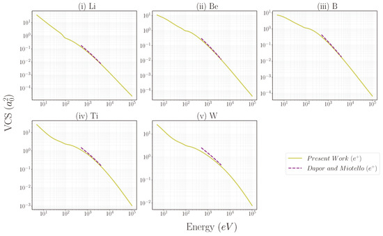
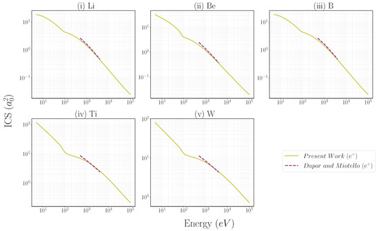
Figure 4, Figure 5 and Figure 6 depict the present results of ICS, MTCS, and VCS, respectively, for the —Li, Be, B, Ti, W scattering. For all elements, our data are compared with the theoretical results of Dapor and Miotello [11]. The comparison shows that the present ICS, MTCS and VCS results, in Figure 4, Figure 5 and Figure 6 are in good agreement with those of Dapor and Miotello [11] throughout their energy range. In the present case, all the cross sections are calculated over a wide energy range from 5 eV to 0.1 MeV. To our knowledge, currently, there are no experimental data available for ICS, MTCS, and VCS for the scattering of —Li, Be, B, Ti, and W. Therefore, there is a lack of data on positron scattering cross sections for these important plasma wall coating elements, and more research is needed.
Figure 4.
Energy dependence of integrated elastic cross section (ICS) for the —Li, Be, B, Ti, and W scattering in the energy range 5 eV ≤ ≤ MeV. The thick-solid lines (yellow) are the present results. Other theoretical predictions are dash-dashed lines (magenta) from [11].
Figure 5.
Energy dependence of momentum transfer cross section (MTCS) for the —Li, Be, B, Ti, and W scattering in the energy range 5 eV ≤ ≤ MeV. The thick-solid lines (yellow) are the present results. Other theoretical predictions are dash-dashed lines (magenta) from [11].
Figure 6.
Energy dependence of the viscosity cross section (VCS) for the —Li, Be, B, Ti, and W scattering in the energy range 5 eV ≤ ≤ MeV. The thick-solid lines (yellow) are the present results. Other theoretical predictions are dash-dashed lines (magenta) from [11].
It is clear that the energy-dependent scattering cross sections show differences in both magnitude and shape compared to their electron counterparts, as shown in Figure 1, Figure 2 and Figure 3. At lower energies, the values of positron scattering cross-sections for lighter elements like Li, Be, and B are lower than those resulting from electron scattering, whereas for heavier elements like Ti and W, they are more or less alike. At higher energies, both positron and electron scattering cross-sections have a good resemblance in magnitude as the effects of correlation-polarization and exchange interaction (in the case of electrons) tend to fade away.
Distinct structures are clearly visible in the ICS, MTCS, and VCS curves for electron scattering. These features demonstrate that the —Li, Be, B, Ti, W interaction is significantly weaker than the —Li, Be, B, Ti, W interaction [33]. Specifically, the energy dependence of MTCS and VCS for electron scattering in the energy range 10 eV ≤ ≤ 100 eV exhibits a pattern of maxima and minima, which is not observed in positron scattering. This difference may be attributed to the variations in the interacting potentials between electron-atom and positron-atom systems. It should be noted that the static potential is repulsive and that there is no exchange potential for positron interaction [34].
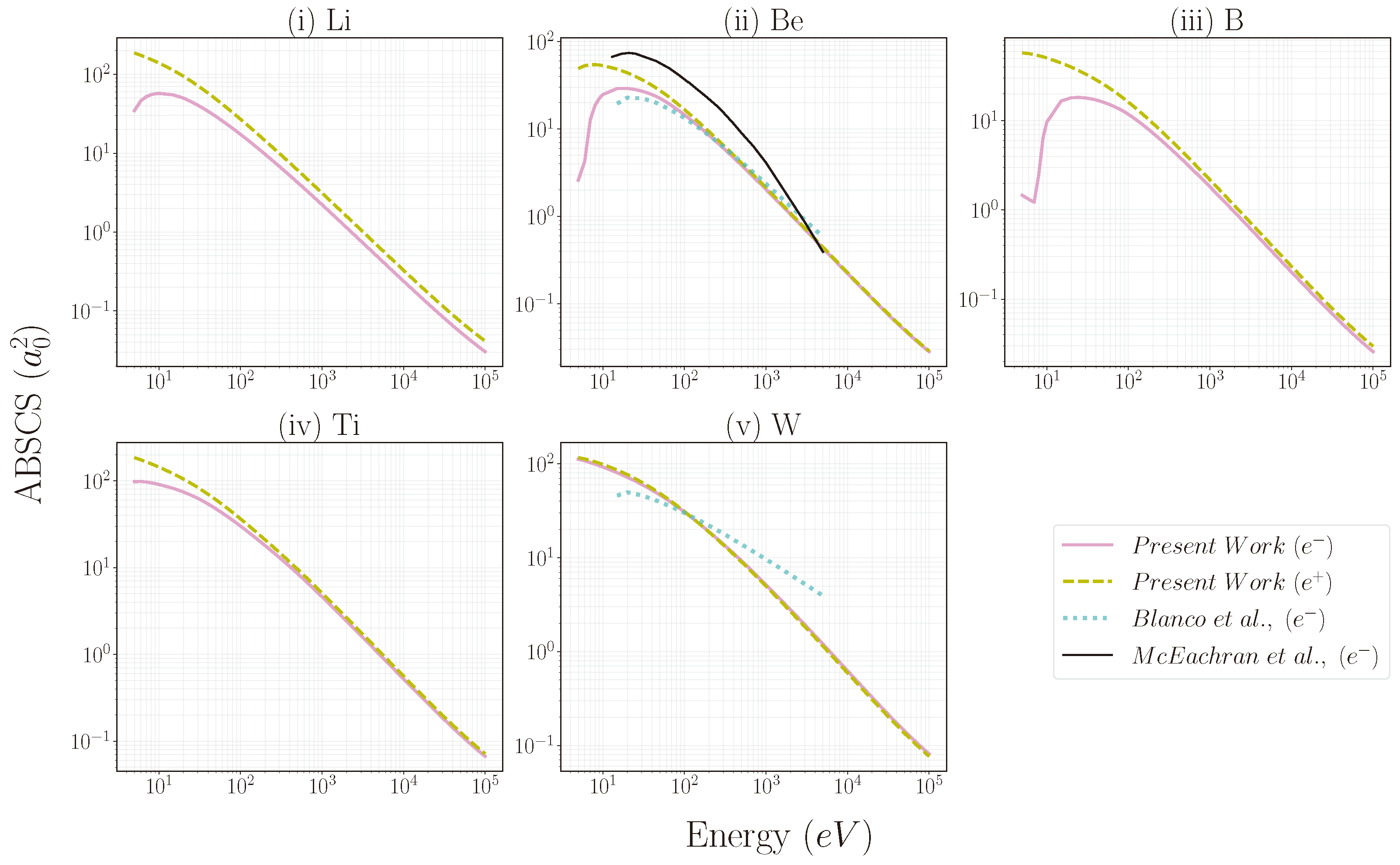
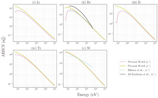
In Figure 7, we have presented the and scattering absorption cross sections (ABSCS) in the same figure together with the available comparisons. There are no experimental values available for ABSCS, but some theoretical calculations are available for the elements Be and W. As illustrated in Figure 7, the ABSCS which is the sum of excitation and ionization cross sections for electron scattering in the lower energy range, is lower for elements of lighter and intermediate weight such as Li, Be, B, and Ti compared to positron scattering. However, at higher energies, the cross-sections for electron and positron scattering converge. In contrast, for the heavier element W, the ABSCS for electron () and positron () scattering exhibit similar magnitudes and structures. We can also observe from Figure 7 that the probability of inelastic scattering for lighter elements rapidly reaches its maximum value at an electron impact energy of approximately 20 eV. This sudden increase could be attributed to resonant scattering phenomena which occur when the energy of the incident particle matches a specific energy level or resonance in the target. At this energy, the scattering cross-section can increase significantly, leading to a peak in the scattering probability [3]. The present results for ABSCS data for Be shows some disagreement at intermediate energies with the results of McEachran et al. [14], and for W atom, the present data shows slight disagreement with the results of Blanco et al. [12]. This may be because, for Be, they have used a relativistic complex optical potential (ROP) method to determine the cross-section and the polarized-orbital method is implemented to include the first seven multipole potentials [14], and for W, a corrected quasi-free absorption potential method is employed where the exchange potential was excluded from the complex potential [12].
Figure 7.
Energy dependence of the absorption cross section (ABSCS) for the —Li, Be, B, Ti, W scattering in the energy range 5 eV ≤ ≤ MeV. The thick-solid lines (pink) and the dash-dashed lines (yellow) are for and respectively. Other theoretical predictions are dotted lines (cyan) from [12] and solid line (black) from [14].
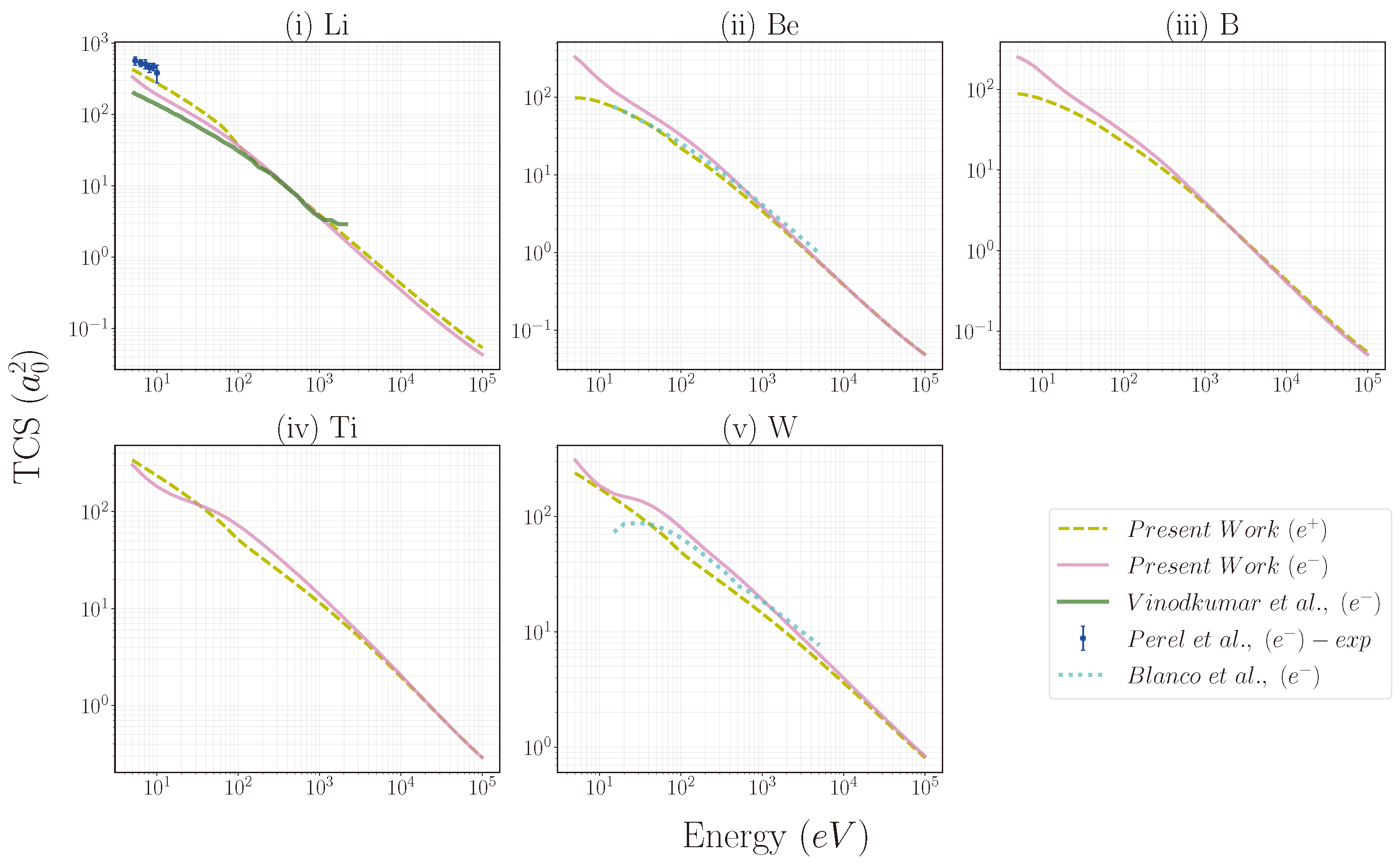
Figure 8 represent the present electron and positron collision TCS (elastic + inelastic) data for all the atoms, along with available comparisons. For the —Li system, where experimental total cross-section (TCS) data are available, we have carried out a direct comparison with our calculated results. The overall trend of the theoretical cross sections shows good consistency with the experimental data. However, minor discrepancies in magnitude are observed, particularly at very low incident energies. These deviations are likely attributed to the limitations of the current model in accurately capturing low-energy correlation effects, such as the formation of Ps-like interactions. Such effects are inherently challenging to describe without employing advanced methods, such as coupled-channel or close-coupling calculations. Also, for Li the present data are compared with the theoretical data given by Vinodkumar et al. [18] in the energy range 5 eV ≤ ≤ 2000 eV and for Be and W the present work is compared with the theoretical predictions given by Blanco et al. [12] in the energy range 15 eV ≤ ≤ 5000 eV. The TCS given by Blanco et al. [12] comprises ICS, ABSCS (excitation + ionisation), whereas our TCS data comprises ICS, MTCS, VCS, and ABSCS (excitation + ionisation). So, this may be the reason for the magnitude difference that is observed in Figure 8 for Be and W. We also notice that the TCS curves for scattering exhibit some structures, whereas these features are much shallower in the case of scattering. This variation indicates that the —Li, Be, B, Ti, and W interaction is considerably weaker compared to its electron counterpart [3].
Figure 8.
Energy dependence of total cross section (TCS) for the —Li, Be, B, Ti, and W scattering in the energy range 5 eV ≤ ≤ MeV. The thick-solid lines (pink) and the dash-dashed lines (yellow) are for and , respectively. Other theoretical predictions are solid line (green) from [18] and dotted lines (cyan) from [12]. Error bars indicate experimental uncertainty from [19].
4. Conclusions
In the present study, we used ELSEPA [4], implementing Dirac partial-wave analysis, to calculate the scattering observables for –Li, Be, B, Ti, and W in the energy range 5 eV ≤ ≤ MeV. We have shown comparisons of the scattering cross sections for electron and positron impact on these atoms, where the charge of the projectile significantly alters both the magnitude and pattern of the scattering profiles [35]. The reliable and straightforward methodology used to generate these cross-sections, coupled with relativistic treatment and carefully selected optical potentials, demonstrates its effectiveness for moderately heavy atoms. For the first time, this study presents results for ICS, MTCS, and VCS in the lower energy range (5 eV–100 eV). Additionally, we provide results for ABSCS and TCS in the broader energy range of 5 eV– MeV. Ultimately, this work offers a reasonably accurate set of cross sections that are essential for computational simulations in various scientific, technological, and industrial applications [35]. Furthermore, this research encourages continued theoretical and experimental investigations into electron and positron scattering from heavier elements.
Given the good agreement between our results and prior theoretical models, we emphasize that the methodology employed here is particularly well-suited for developing accurate models in fusion research. The combination of scientific accuracy and computational flexibility makes this approach highly adaptable for plasma wall coating material interaction studies. ELSEPA’s relativistic Dirac partial wave analysis method is especially beneficial in modeling the behavior of high-energy electrons and positrons in fusion plasmas, where interactions with plasma-wall coating materials (e.g., Li, B, Be, Ti, and W) are critical. These elements make ELSEPA-based models well-balanced in terms of accuracy. As such, the present approach provides a reliable and adaptable approach for improving surface diagnostics and wall erosion simulations in current and next-generation fusion devices. Future work could explore the explicit inclusion of inelastic channels such as positronium formation and ionization using coupled-channel techniques, as well as the extension of this framework to molecular and solid-state targets relevant to fusion plasma wall coating environments.
Supplementary Materials
The following supporting information can be downloaded at: https://www.mdpi.com/article/10.3390/atoms13050037/s1.
Author Contributions
Conceptualization, D.G. and B.R.; methodology, B.R., S.S. and Y.S.P.; formal analysis, B.R., S.S. and Y.S.P.; investigation, B.R., S.S., Y.S.P. and D.G.; resources, D.G.; data curation, B.R., S.S. and Y.S.P.; writing original draft preparation, B.R.; writing, review and editing, D.G., S.S. and Y.S.P.; supervision, D.G.; project administration, D.G. All authors have read and agreed to the published version of the manuscript.
Funding
This research received no external funding.
Data Availability Statement
The data that support the findings of this study are available as a Supplementary Material.
Acknowledgments
D.G acknowledges the Science and Engineering Research Board (SERB), Department of Science and Technology (DST), Government of India (Grant No. SRG/2022/000394) for providing computational facility.
Conflicts of Interest
The authors declare no conflict of interest.
References
- Bartschat, K.; Kushner, M.J. Electron collisions with atoms, ions, molecules, and surfaces: Fundamental science empowering advances in technology. Proc. Natl. Acad. Sci. USA 2016, 113, 7026–7034. [Google Scholar] [CrossRef] [PubMed]
- Kieffer, L.J.; Dunn, G.H. Electron Impact Ionization Cross-Section Data for Atoms, Atomic Ions, and Diatomic Molecules: I. Experimental Data. Rev. Mod. Phys. 1966, 38, 1–35. [Google Scholar] [CrossRef]
- Islam, M.R.; Haque, A.; Haque, M.; Billah, M.M.; Khandker, M.H.; Islam, M.R.; Watabe, H.; Uddin, M.A. Scattering of electrons and positrons from aluminum isonuclear series. Phys. Scr. 2022, 97, 125403. [Google Scholar] [CrossRef]
- Salvat, F.; Jablonski, A.; Powell, C.J. ELSEPA—Dirac partial-wave calculation of elastic scattering of electrons and positrons by atoms, positive ions and molecules. Comput. Phys. Commun. 2021, 261, 107704. [Google Scholar] [CrossRef]
- Chen, H.; Wilks, S.C.; Bonlie, J.D.; Liang, E.P.; Myatt, J.; Price, D.F.; Meyerhofer, D.D.; Beiersdorfer, P. Relativistic Positron Creation Using Ultraintense Short Pulse Lasers. Phys. Rev. Lett. 2009, 102, 105001. [Google Scholar] [CrossRef]
- Skalsey, M.; Van House, J. Proposed new reactor-activated positron source for intense slow e+ beam production. Nucl. Instruments Methods Phys. Res. Sect. Beam Interact. Mater. Atoms 1988, 30, 211–216. [Google Scholar] [CrossRef]
- Goswami, B.; Saikia, U.; Naghma, R.; Antony, B. Electron Impact Total Ionization Cross Sections for Plasma Wall Coating Elements. Chin. J. Phys. 2013, 51, 1172–1183. [Google Scholar]
- Gupta, D.; Antony, B. Electron impact ionization of cycloalkanes, aldehydes, and ketones. J. Chem. Phys. 2014, 141, 054303. [Google Scholar] [CrossRef]
- Gupta, D.; Choi, H.; Singh, S.; Modak, P.; Antony, B.; Kwon, D.C.; Song, M.Y.; Yoon, J.S. Total ionization cross section of cyclic organic molecules. J. Chem. Phys. 2019, 150, 064313. [Google Scholar] [CrossRef]
- Mayol, R.; Salvat, F. Total and Transport Cross sections for elastic scattering of electrons by atoms. At. Data Nucl. Data Tables 1997, 65, 55–154. [Google Scholar] [CrossRef]
- Dapor, M.; Miotello, A. Differential, Total, and Transport Cross sections for elastic scatterin of low energy positrons by neutral atoms (Z = 1–92, E = 500–4000 eV). At. Data Nucl. Data Tables 1998, 69, 1–100. [Google Scholar] [CrossRef]
- Blanco, F.; Da Silva, F.F.; Limão-Vieira, P.; García, G. Electron scattering cross section data for tungsten and beryllium atoms from 0.1 to 5000 eV. Plasma Sources Sci. Technol. 2017, 26, 085004. [Google Scholar] [CrossRef]
- Wang, K.; Zatsarinny, O.; Bartschat, K. Electron-impact excitation and ionization of atomic boron at low and intermediate energies. Phys. Rev. A 2016, 93, 052715. [Google Scholar] [CrossRef]
- Mceachran, R.; Blanco, F.; Garcia, G.; Brunger, M. A Relativistic Complex Optical Potential Calculation for Electron–Beryllium Scattering: Recommended Cross Sections. J. Phys. Chem. Ref. Data 2018, 47, 033103. [Google Scholar] [CrossRef]
- Adibzadeh, M.; Theodosiou, C.E.; Harmon, N.J. Elastic electron scattering from Be, Mg, and Ca. Atoms 2024, 12, 33. [Google Scholar] [CrossRef]
- Kaushik, Y.; Khare, S.; Kumar, A. Critical points for electron-beryllium elastic scattering. J. Phys. At. Mol. Phys. 1999, 16, 3609. [Google Scholar] [CrossRef]
- Bransden, B.H.; McDowell, M.R.C.; Noble, C.J.; Scott, T. Equivalent exchange potentials in electron scattering. J. Phys. At. Mol. Phys. 1976, 9, 1301. [Google Scholar] [CrossRef]
- Vinodkumar, M.; Korot, K.; Bhutadia, H. Calculations of total and ionization cross-sections on electron impact for alkali metals (Li, Na, K) from threshold to 2keV. Int. J. Mass Spectrom. 2010, 294, 54–58. [Google Scholar] [CrossRef]
- Perel, J.; Englander, P.; Bederson, B. Measurment of total cross sections for the scattering of low-energy electrons by Lithum, Sodium, and Potassium. Phys. Rev. 1962, 128, 1148. [Google Scholar] [CrossRef]
- Lugovskoy, A.V.; Utamuratov, R.; Kadyrov, A.S.; Stelbovics, A.T.; Bray, I. Threshold behavior of positronium formation in positron–alkali-metal scattering. Phys. Rev. A 2013, 87, 042708. [Google Scholar] [CrossRef]
- Hahn, B.; Ravenhall, D.G.; Hofstadter, R. High-Energy Electron Scattering and the Charge Distributions of Selected Nuclei. Phys. Rev. 1956, 101, 1131–1142. [Google Scholar] [CrossRef]
- Desclaux, J. A multiconfiguration relativistic Dirac-Fock program. Comput. Phys. Commun. 1975, 9, 31–45. [Google Scholar] [CrossRef]
- Salvat, F. Optical-model potential for electron and positron elastic scattering by atoms. Phys. Rev. A 2003, 68, 012708. [Google Scholar] [CrossRef]
- Padial, N.T.; Norcross, D.W. Parameter-free model of the correlation-polarization potential for electron-molecule collisions. Phys. Rev. A 1984, 29, 1742–1748. [Google Scholar] [CrossRef]
- Perdew, J.P.; Zunger, A. Self-interaction correction to density-functional approximations for many-electron systems. Phys. Rev. B 1981, 23, 5048–5079. [Google Scholar] [CrossRef]
- Jain, A. Low-energy positron-argon collisions by using parameter-free positron correlation polarization potentials. Phys. Rev. A 1990, 41, 2437–2444. [Google Scholar] [CrossRef]
- Miller, T.M.; Bederson, B. Atomic and Molecular Polarizabilities-A Review of Recent Advances. Adv. At. Mol. Phys. 1978, 13, 1–55. [Google Scholar] [CrossRef]
- Dirac, P. The Principles of Quantum Mechanics; Clarendon Press: Oxford, UK, 1930. [Google Scholar]
- Rose, M.E.; Holladay, W.G. Relativistic Electron Theory. Phys. Today 1961, 14, 58. [Google Scholar] [CrossRef]
- Salvat, F.; Fernández-Varea, J.M. Radial: A Fortran subroutine package for the solution of the radial Schrödinger and Dirac wave equations. Comput. Phys. Commun. 2019, 240, 165–177. [Google Scholar] [CrossRef]
- Haque, M.; Haque, A.; Jakubassa-Amundsen, D.; Patoary, M.A.; Basak, A.; Maaza, M.; Saha, B.; Uddin, M. e± Ar scattering in the energy range 1 eV ≤ Ei ≤ 0.5 GeV. J. Phys. Commun. 2019, 3, 045011. [Google Scholar] [CrossRef]
- Fabrikant, I.I. Atomic Processes; Zinatne: Riga, Latvia, 1975; 80p. [Google Scholar]
- Khatun, M.M.; Haque, M.; Patoary, M.A.R.; Shorifuddoza, M.; Khandker, M.H.; Haque, A.F.; Watabe, H.; Uddin, M.A. Theoretical study of e± scattering by the Au atom. Results Phys. 2021, 29, 104742. [Google Scholar] [CrossRef]
- Afroz, S.; Haque, M.M.; Haque, A.F.; Jakubassa-Amundsen, D.H.; Patoary, M.A.R.; Shorifuddoza, M.; Khandker, M.H.; Uddin, M.A. Elastic scattering of electrons and positrons from 115In atoms over the energy range 1 eV–0.5 GeV. Results Phys. 2020, 18, 103179. [Google Scholar] [CrossRef]
- Haque, A.K.F.; Hossain, M.I.; Uddin, M.A.; Patoary, M.A.R.; Basak, A.K.; Maaza, M.; Saha, B.C. Elastic scattering of electrons and positrons by cadmium atoms. Mol. Phys. 2017, 115, 566–578. [Google Scholar] [CrossRef]
Disclaimer/Publisher’s Note: The statements, opinions and data contained in all publications are solely those of the individual author(s) and contributor(s) and not of MDPI and/or the editor(s). MDPI and/or the editor(s) disclaim responsibility for any injury to people or property resulting from any ideas, methods, instructions or products referred to in the content. |
© 2025 by the authors. Licensee MDPI, Basel, Switzerland. This article is an open access article distributed under the terms and conditions of the Creative Commons Attribution (CC BY) license (https://creativecommons.org/licenses/by/4.0/).







