A Novel Approach to Calculate the Range of High-Energy Charged Particles Within a Medium
Abstract
1. Introduction
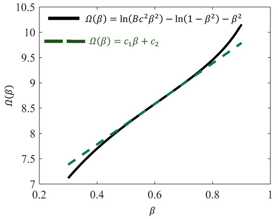
2. An Approximate Analytical Approach for Range Calculation
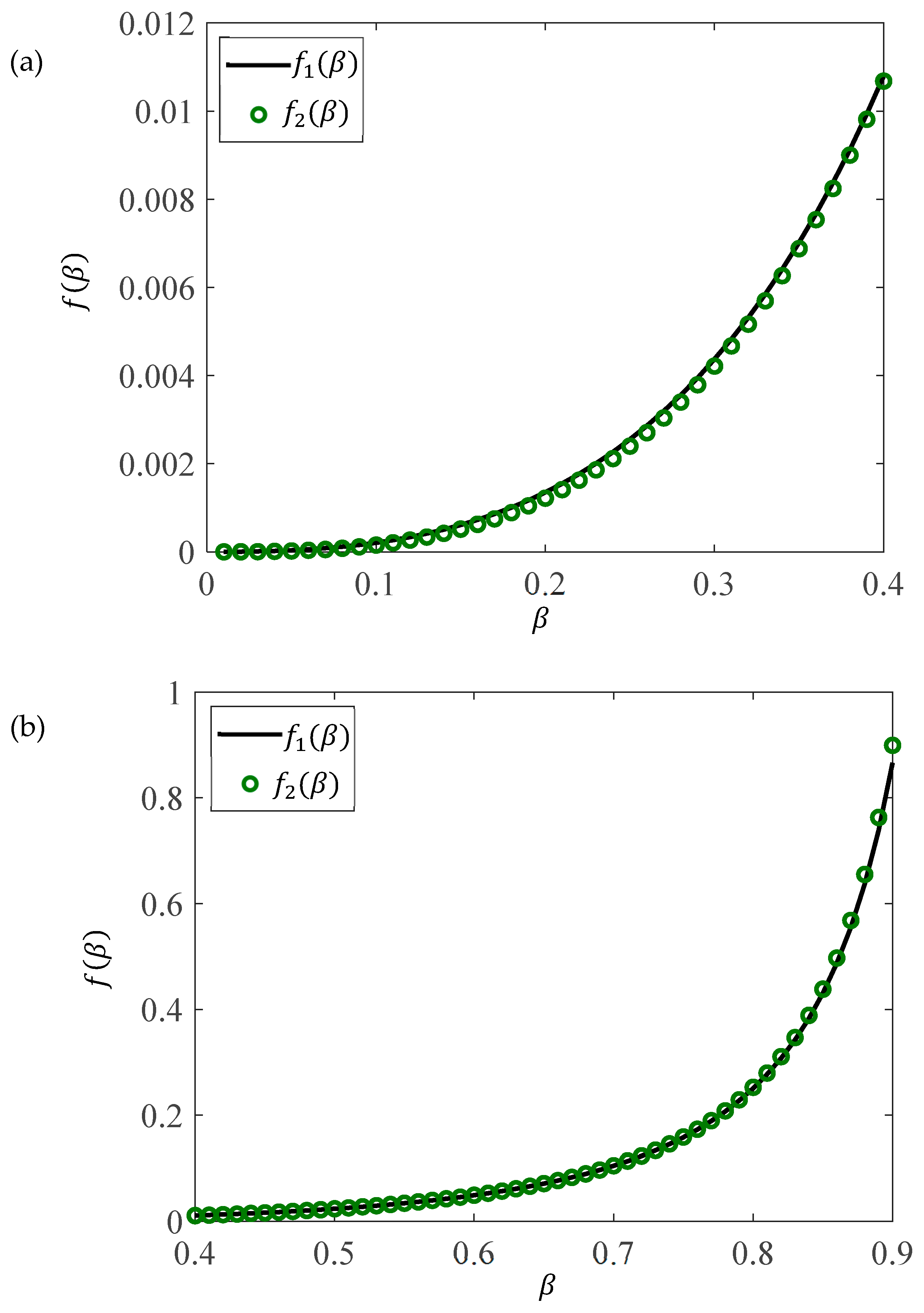
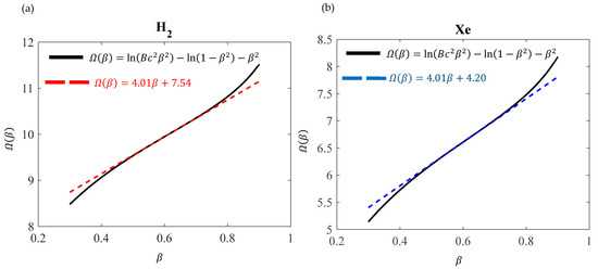
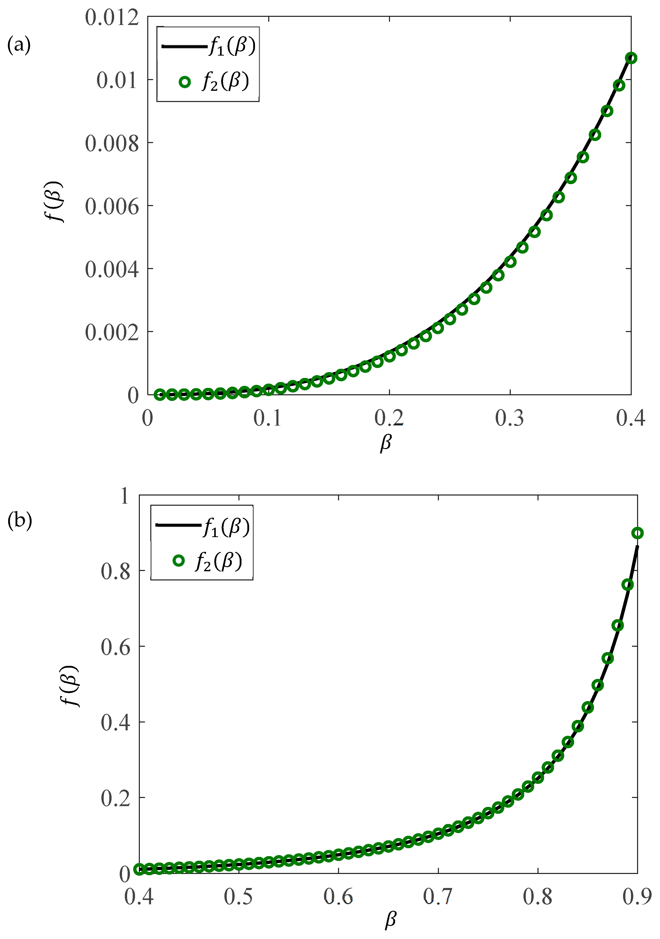
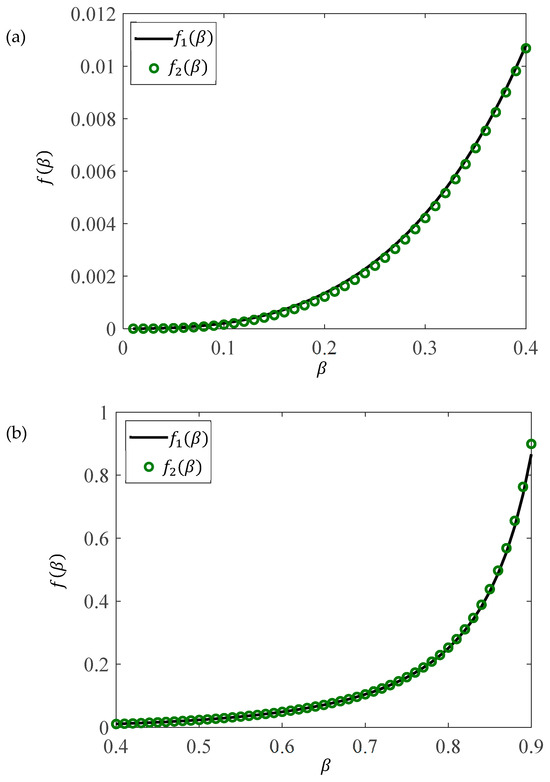
3. Results
4. Discussion
5. Conclusions
Author Contributions
Funding
Institutional Review Board Statement
Informed Consent Statement
Data Availability Statement
Conflicts of Interest
Appendix A
References
- Grimes, D.R.; Warren, D.R.; Partridge, M. An approximate analytical solution of the Bethe equation for charged particles in the radiotherapeutic energy range. Sci. Rep. 2017, 7, 9781. [Google Scholar] [CrossRef] [PubMed]
- Martinez, D.M.; Rahmani, M.; Burbadge, C.; Hoehr, C. A practical solution of the Bethe equation in the energy range applicable to radiotherapy and radionuclide production. Sci. Rep. 2019, 9, 17599. [Google Scholar] [CrossRef] [PubMed]
- Echeweozo, E.O.; Abdelmonem, A.M. Evaluation of interaction properties of some ionizing radiation with selected nitrogen-based explosives. Arab. J. Sci. Eng. 2024, 49, 1025–1036. [Google Scholar] [CrossRef]
- Abdelmonem, A.M.; Echeweozo, E.O. Investigation of interaction parameters of gamma radiation, neutron, and charge particles in selected thermoplastic polymers for radiation protection. J. Mater. Sci. Mater. Electron. 2023, 34, 365. [Google Scholar] [CrossRef]
- Rahmani, M.; Martinez, D.M. Convection driven by a nonuniform radiative internal heat source in a cavity: Example of medical isotope production in liquid targets. Int. J. Heat Mass Transf. 2024, 231, 125872. [Google Scholar] [CrossRef]
- Bimbot, R.; Geissel, H.; Paul, H.; Schinner, A. Stopping of ions heavier than helium. J. ICRU 2005, 5, i-253. [Google Scholar]
- Powers, S. Ranges for Protons and Alpha Particles; ICRU Report 49; ICRU: Bethesda, MD, USA, 2005. [Google Scholar]
- Paul, H. The mean ionization potential of water, and its connection to the range of energetic carbon ions in water. Nucl. Instrum. Methods Phys. Res. B 2007, 255, 435–437. [Google Scholar] [CrossRef]
- Chong, L.M.; Tng, D.J.H.; Tan, L.L.Y.; Chua, M.L.K.; Zhang, Y. Recent advances in radiation therapy and photodynamic therapy. Appl. Phys. Rev. 2021, 8, 041322. [Google Scholar] [CrossRef]
- Ferlay, J.; Colombet, M.; Soerjomataram, I.; Mathers, C.; Parkin, D.M.; Piñeros, M.; Znaor, A.; Bray, F. Estimating the global cancer incidence and mortality in 2018: GLOBOCAN sources and methods. Cancer Epidemiol. 2019, 144, 1941–1953. [Google Scholar] [CrossRef]
- Ahmad, S.S.; Duke, S.; Jena, R.; Williams, M.V.; Burnet, N.G. Advances in radiotherapy. BMJ 2012, 345, e7765. [Google Scholar] [CrossRef]
- Ragoowansi, R.; Comes, P.G.S.; Moss, A.L.; Glees, J.P. Treatment of keloids by surgical excision and immediate postoperative single-fraction radiotherapy. Plast. Reconstr. Surg. 2003, 111, 1853–1859. [Google Scholar] [CrossRef] [PubMed]
- Godfrey, K.J.; Kazim, M. Radiotherapy for active thyroid eye disease. Ophthalmic Plast. Reconstr. Surg. 2018, 34, S98–S104. [Google Scholar] [CrossRef] [PubMed]
- Al-Mamgani, A.; Heemsbergen, W.D.; Peeters, S.T.H.; Lebesque, J.V. Role of intensity-modulated radiotherapy in reducing toxicity in dose escalation for localized prostate cancer. Int. J. Radiat. Oncol. Biol. Phys. 2009, 73, 685–691. [Google Scholar] [CrossRef]
- Konski, A. Radiotherapy is a cost-effective palliative treatment for patients with bone metastasis from prostate cancer. Int. J. Radiat. Oncol. Biol. Phys. 2004, 60, 1373–1378. [Google Scholar] [CrossRef]
- Creutzberg, C.L.; van Putten, W.L.; Koper, P.C.; Lybeert, M.L.; Jobsen, J.J.; Wárlám-Rodenhuis, C.C.; De Winter, K.A.; Lutgens, L.C.; van den Bergh, A.C.; van de Steen-Banasik, E.; et al. Surgery and postoperative radiotherapy versus surgery alone for patients with stage-1 endometrial carcinoma: Multicentre randomised trial. Lancet 2000, 355, 1404–1411. [Google Scholar] [CrossRef]
- Schuitmaker, J.J.; Baas, P.; van Leengoed, H.L.L.M.; van der Meulen, F.W.; Star, W.M.; van Zandwijk, N. Photodynamic therapy: A promising new modality for the treatment of cancer. J. Photochem. Photobiol. B Biol. 1996, 34, 3–12. [Google Scholar] [CrossRef]
- Kübler, A.C. Photodynamic therapy. Med. Laser Appl. 2005, 20, 37–45. [Google Scholar] [CrossRef]
- Mitra, A.; Stables, G.I. Topical photodynamic therapy for non-cancerous skin conditions. Photodiagnosis Photodyn. Ther. 2006, 3, 116–127. [Google Scholar] [CrossRef]
- Alexiades-Armenakas, M. Laser-mediated photodynamic therapy. Clin. Dermatol. 2006, 24, 16–25. [Google Scholar] [CrossRef]
- Paganetti, H. Range uncertainties in proton therapy and the role of Monte Carlo simulations. Phys. Med. Biol. 2012, 57, R99–R117. [Google Scholar] [CrossRef]
- Agostinelli, S.; Allison, J.; Amako, K.A.; Apostolakis, J.; Araujo, H.; Arce, P.; Asai, M.; Axen, D.; Banerjee, S.; Barrand, G.J.; et al. Geant4—A simulation toolkit. Nucl. Instrum. Methods Phys. Res. A 2003, 506, 250–303. [Google Scholar] [CrossRef]
- Pelowitz, D.B.; Durkee, J.W.; Elson, J.S.; Fensin, M.L.; Hendricks, J.S.; James, M.R.; Johns, R.C.; Mc Kinney, F.W.; Mashnik, S.G.; Waters, L.S.; et al. MCNPX 2.7.0 Extensions; Los Alamos National Laboratory (LANL): Los Alamos, NM, USA, 2011. [Google Scholar]
- Ferrari, A.; Sala, P.R.; Fasso, A.; Ranft, J. FLUKA: A Multi-Particle Transport Code (Program Version 2005); CERN Yellow Reports: Monographs. (Report number: CERN-2005-010, SLAC-R-773, INFN-TC-05-11, CERN-2005-10), Geneva; United States Department of Energy: Washington, DC, USA, 2005.




| (cm) (Equation (9)) | (cm) (Grimes app.) | (Equation (19)) | ε(%) | ε′(%) | |
|---|---|---|---|---|---|
| 0.50 | 14.89 | 14.93 | 14.62 | −0.27 | 1.85 |
| 0.55 | 22.74 | 22.82 | 22.46 | −0.35 | 1.25 |
| 0.60 | 34.07 | 34.25 | 33.78 | −0.53 | 0.86 |
| 0.65 | 50.45 | 50.83 | 50.14 | −0.75 | 0.62 |
| 0.70 | 74.34 | 75.15 | 74.03 | −1.08 | 0.42 |
| 0.75 | 109.95 | 111.65 | 109.66 | −1.52 | 0.26 |
| 0.80 | 165.02 | 168.70 | 164.95 | −2.18 | 0.04 |
| 0.85 | 255.79 | 264.16 | 256.76 | −3.17 | −0.38 |
| 0.90 | 424.28 | 445.53 | 429.78 | −4.77 | −1.28 |
| 0.95 | 834.94 | 906.60 | 865.70 | −7.90 | −3.55 |
| (Equation (9)) | (Grimes app.) | (Equation (19)) | ε(%) | ε′(%) | |
|---|---|---|---|---|---|
| 0.50 | 0.0842 | 0.0844 | 0.0830 | −0.2375 | 1.4252 |
| 0.55 | 0.1292 | 0.1296 | 0.1279 | −0.3096 | 1.0062 |
| 0.60 | 0.1943 | 0.1952 | 0.1930 | −0.4632 | 0.6691 |
| 0.65 | 0.2887 | 0.2905 | 0.2874 | −0.6235 | 0.4503 |
| 0.70 | 0.4268 | 0.4308 | 0.4256 | −0.9372 | 0.2812 |
| 0.75 | 0.6333 | 0.6418 | 0.6324 | −1.3422 | 0.1421 |
| 0.80 | 0.9537 | 0.9722 | 0.9541 | −1.9398 | −0.0419 |
| 0.85 | 1.4837 | 1.5261 | 1.4899 | −2.8577 | −0.4179 |
| 0.90 | 2.4720 | 2.5802 | 2.5022 | −4.3770 | −1.2217 |
| 0.95 | 4.8960 | 5.2641 | 5.0593 | −7.5184 | −3.3354 |
| (Equation (9)) | (Grimes app.) | (Equation (19)) | ε(%) | ε′(%) | |
|---|---|---|---|---|---|
| 0.50 | 0.0494 | 0.0499 | 0.0485 | −1.0121 | 1.8219 |
| 0.55 | 0.0748 | 0.0756 | 0.0740 | −1.0695 | 1.0695 |
| 0.60 | 0.1111 | 0.1127 | 0.1106 | −1.4401 | 0.4500 |
| 0.65 | 0.1632 | 0.1659 | 0.1630 | −1.6544 | 0.1225 |
| 0.70 | 0.2386 | 0.2436 | 0.2390 | −2.0956 | −0.1676 |
| 0.75 | 0.3504 | 0.3598 | 0.3518 | −2.6826 | −0.3995 |
| 0.80 | 0.5221 | 0.5405 | 0.5257 | −3.5242 | −0.6895 |
| 0.85 | 0.8029 | 0.8418 | 0.8128 | −4.8449 | −1.2330 |
| 0.90 | 1.3193 | 1.4123 | 1.3509 | −7.0492 | −2.3952 |
| 0.95 | 2.5619 | 2.8577 | 2.6995 | −11.5461 | −5.3710 |
Disclaimer/Publisher’s Note: The statements, opinions and data contained in all publications are solely those of the individual author(s) and contributor(s) and not of MDPI and/or the editor(s). MDPI and/or the editor(s) disclaim responsibility for any injury to people or property resulting from any ideas, methods, instructions or products referred to in the content. |
© 2025 by the authors. Licensee MDPI, Basel, Switzerland. This article is an open access article distributed under the terms and conditions of the Creative Commons Attribution (CC BY) license (https://creativecommons.org/licenses/by/4.0/).
Share and Cite
Psychogios, I.; Kontomaris, S.V.; Malamou, A.; Stylianou, A. A Novel Approach to Calculate the Range of High-Energy Charged Particles Within a Medium. Atoms 2025, 13, 38. https://doi.org/10.3390/atoms13050038
Psychogios I, Kontomaris SV, Malamou A, Stylianou A. A Novel Approach to Calculate the Range of High-Energy Charged Particles Within a Medium. Atoms. 2025; 13(5):38. https://doi.org/10.3390/atoms13050038
Chicago/Turabian StylePsychogios, Ioannis, Stylianos Vasileios Kontomaris, Anna Malamou, and Andreas Stylianou. 2025. "A Novel Approach to Calculate the Range of High-Energy Charged Particles Within a Medium" Atoms 13, no. 5: 38. https://doi.org/10.3390/atoms13050038
APA StylePsychogios, I., Kontomaris, S. V., Malamou, A., & Stylianou, A. (2025). A Novel Approach to Calculate the Range of High-Energy Charged Particles Within a Medium. Atoms, 13(5), 38. https://doi.org/10.3390/atoms13050038

