The Interrelated Roles of Correlations in the Nuclear Equation of State and in Response Functions: Application to a Chiral Confining Theory
Abstract
1. Historical Introduction
2. Connecting Different Microscopic Models for Correlations
2.1. From Bare to Dressed Nucleons: Landau Quasi-Particles
2.2. Response Function and Occupation Numbers
2.3. The G Matrix and the Pair Correlation Function
3. The Chiral Confining Model
3.1. The Phenomenological Model
3.2. The NJL Chiral Confining Model
3.3. The QCD-Connected Chiral Confining Model
3.3.1. The Self-Energy Kernel
3.3.2. The Confining Kernel
3.3.3. The Bound-State Equation
4. Equation of State and Correlations from the QCD-Connected Chiral Confining Model
- Concerning the parameters entering the interaction, the scalar and pionic sectors are entirely given or strongly constrained by the QCD-connected model: . Notice that at this level, the cutoff parameters , as well as the cutoff in the vector channel , are only approximately compatible with the QCD-connected model.The vector-(Lorentz) tensor sector is constrained by well-established hadron phenomenology: . Notice that in a version of the underlying NJL including pion-axial mixing (i.e., nonvanishing ), should be promoted to the rank of a QCD-connected parameter. We again stress that a large value of (used in the Bonn potential [37]) is required to decrease the (Wigner) tensor force without obtaining too large a D-state probability in the deuteron.
- The two parameters entering the three-nucleon force, and , are given by the QCD-connected model.
- The parameter entering the pair correlation function, , is obtained from the above interaction with an adapted G-matrix calculation preserving the UV regularization of the loop integrals entering the correlation energy (see below). Finally, a rather large value of the cutoff, , for the tensor coupling of the rho meson is needed to obtain a sufficiently large value of the Landau–Migdal parameter . This is the only constraint or requirement from nuclear matter phenomenology.
4.1. Binding Energy of Nuclear Matter
- The LM potential (Equation (53)) is modified by incorporating the factor into the cubic term with the value obtained in the underlying QCD-connected NJL model, derived from the FCM approach. The parameters entering the in-medium nucleon mass, and C, are those given above by the same underlying microscopic model, whereas in [20], was taken from the original LM formulated at the nucleonic level, and C was a free parameter.
- The parameters governing the various interaction vertices are those listed in Equation (43). In particular, the parameters relative to the scalar sector ( and ) and the cutoffs regularizing the various vertices are given by or compatible with the underlying FCM approach.
- The contribution of multi-pion (and multi-rho) exchange is explicitly included in the correlation energy, which thus incorporates the effect of the two-pion (and two-rho) exchange which is not reducible to iterative processes with NN intermediate states. The effect of these diagrams with at least one in the intermediate state (see Figure 10) was taken into account in the construction of the potential (Section 2.3, Equation (44)) through the introduction of a second scalar field by adding the Lagrangian with and = 550 MeV. At the mean-field level, one has . The net effect of this new scalar field is the modification of the Dirac scalar mass given by Equation (3) in [20], according towhere is the solution of the in-medium gap equation. However, we do not include the associated energy per nucleon, MeV, which is contained as a part of the correlation energy. Numerically, at the saturation density, the chemical potential is MeV, which is very different from the Fermi energy when the self-energy is ignored, MeV, in strong violation of the Hugenholtz–Van-Hove (HVH) theorem. The -field energy is actually not very far numerically from the dominant linear part of the correlation energy. It follows that the corresponding self-energy contributing to the chemical potential satisfies . Accordingly, the Fermi energy becomes MeV, in much better agreement with the HVH theorem. Consequently, the unique effect of the field is to decrease the in-medium Dirac nucleon mass to a value slightly above 750 MeV at normal nuclear matter density, as in [20]. (We recall in passing that this lack of thermodynamic consistency induces only a small non-relativistic correction to the binding energy at normal density.)
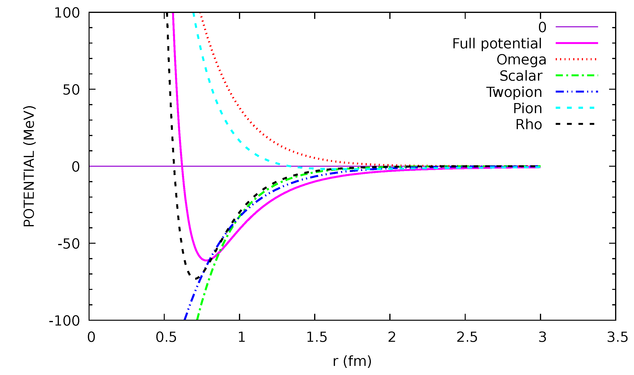
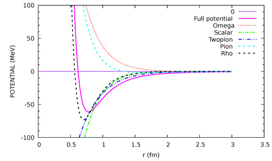
- For the calculation of the pion and rho Fock terms (Equations (23) and (24) of [20]) and of the correlation energy (Equations (15)–(20) in [20]), we replace the longitudinal and transverse spin–isospin interaction by the one given in Equations (47)–(50) based on the Jastrow ansatz (Equation (41)) for the correlation function with MeV. This procedure has the nice feature of satisfying the Beg–Agassi–Gal theorem, hence providing a natural UV regularization of the loop integrals. In the calculation of the correlation energy, we take the same effective interaction in the and channels, with the appropriate modification of the coupling constant with the flavor prescription for the ratio . This generates a unique value for the Landau–Migdal parameters . The rather large value of the cutoff, , for the tensor coupling of the rho meson in a strong rho scenario, , has been chosen to obtain a sufficiently large value of this Landau–Migdal parameter compatible with phenomenology [40]. With the notations of [20], one haswhere the second line of the two above expressions corresponds to the subtraction of the mean-field Fock terms.
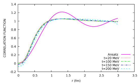
4.2. The Interrelated Role of the Short-Range Correlations
5. Conclusions and Perspectives
Author Contributions
Funding
Acknowledgments
Conflicts of Interest
| 1 | The operators are replaced by the usual 1/2 to 3/2 transition operators in the case of coupling to the . |
References
- Arnold, R.G.; Bosted, P.E.; Chang, C.C.; Gomez, J.; Katramatou, A.T.; Petratos, G.G.; Rahbar, A.A.; Rock, S.E.; Sill, A.F.; Szalata, Z.M.; et al. Measurements of the A dependence of deep-inelastic electron scattering from nuclei. Phys. Rev. Lett. 1984, 52, 727. [Google Scholar] [CrossRef]
- Ashman, J.; Badelek, B.; Baum, G.; Beaufays, J.; Bee, C.P.; Benchouk, C.; Bird, I.G.; Brown, S.C.; Caputo, M.C.; Cheung, H.W.K.; et al. [European Muon Collaboration]. A Measurement of the Spin Asymmetry and Measurement of the ratios of deep-inelastic muon-nucleus cross-sections on various nuclei compared to deuterium. Phys. Lett. B 1988, 202, 1004. [Google Scholar] [CrossRef]
- Akulinichev, S.V.; Kulagin, S.A.; Vagradov, G.M. The role of nuclear binding in deep inelastic lepton-nucleon scattering. Phys. Lett. B 1985, 158, 485. [Google Scholar] [CrossRef]
- Li, G.L.; Liu, K.F.; Brown, G.E. Role of nuclear binding in the EMC effect. Phys. Lett. B 1988, 213, 531. [Google Scholar] [CrossRef]
- Ericson, M. PANIC 87 (North-Holland Publ.) 416c.
- Ciofi degli Atti, C.; Liuti, S. On the effects of nucleon binding and correlations in deep inelastic electron scattering by nuclei. Phys. Lett. B 1989, 225, 215. [Google Scholar] [CrossRef]
- Ciofi degli Atti, C.; Liuti, S. Realistic microscopic approach to deep inelastic scattering of electrons off few-nucleon systems. Phys. Rev. C 1990, 41, 1100. [Google Scholar] [CrossRef]
- Ciofi degli Atti, C. Can nuclear binding explain the classical EMC effect? Nucl. Phys. A 1991, 532, 241. [Google Scholar] [CrossRef]
- Chanfray, G. Some comments about the binding interpretation of the EMC effect. Nucl. Phys. A 1991, 532, 249. [Google Scholar] [CrossRef]
- Katori, T. First Measurement of Muon Neutrino Charged Current Quasielastic (CCQE) Double Differential Cross Section. AIP Conf. Proc. 2009, 1189, 139. [Google Scholar]
- Aguilar-Arevado, A.; Anderson, C.E.; Bazarko, A.O.; Brice, S.J.; Brown, B.C.; Bugel, L.; Cao, J.; Coney, L.; Conrad, J.M.; Cox, D.C.; et al. [MiniBoone Collaboration]. First measurement of the muon neutrino charged current quasielastic double differential cross section. Phys. Rev. D 2010, 81, 092005. [Google Scholar] [CrossRef]
- Martini, M.; Ericson, M.; Chanfray, G.; Marteau, J. Unified approach for nucleon knock-out and coherent and incoherent pion production in neutrino interactions with nuclei. Phys. Rev. C 2009, 80, 065501. [Google Scholar] [CrossRef]
- Chanfray, G.; Ericson, M.; Martini, M. Multinucleon excitations in neutrino–nucleus scattering: Connecting different microscopic models for the correlations. Eur. Phys. J. Spec. Top. 2021, 230, 4357. [Google Scholar] [CrossRef]
- Beg, M.A.B. On the distinguishability of equivalent potentials. Ann. Phys. 1961, 13, 110. [Google Scholar]
- Agassi, D.; Gal, A. Scattering from non-overlapping potentials. I. General formulation. Ann. Phys. 1973, 75, 56. [Google Scholar] [CrossRef]
- Chanfray, G.; Delorme, J.; Ericson, M. Extension of the Beg-Agassi-Gal theorem to virtual particles. Phys. Rev. C 1985, 31, 1582. [Google Scholar] [CrossRef]
- Chanfray, G.; Ericson, M.; Guichon, P.A.M. Chiral symmetry and quantum hadrodynamics. Phys. Rev. C 2001, 63, 055202. [Google Scholar] [CrossRef]
- Chanfray, G.; Ericson, M. QCD susceptibilities and nuclear-matter saturation in a relativistic chiral theory. Eur. Phys. J. A 2005, 25, 151. [Google Scholar] [CrossRef]
- Chanfray, G.; Davesne, D.; Ericson, M.; Martini, M. Two-pion production processes, chiral symmetry and NN interaction in the medium. Eur. Phys. J. A 2006, 27, 191. [Google Scholar] [CrossRef]
- Chanfray, G.; Ericson, M. QCD susceptibilities and nuclear matter saturation in a chiral theory: Inclusion of pion loops. Phys. Rev. C 2007, 75, 015206. [Google Scholar] [CrossRef]
- Massot, E.; Chanfray, G. Relativistic Chiral Hartree-Fock description of nuclear matter with constraints from nucleon structure and confinement. Phys. Rev. C 2008, 78, 015204. [Google Scholar] [CrossRef]
- Massot, E.; Chanfray, G. Relativistic calculation of the pion loop correlation energy in nuclear matter in a theory including confinement. Phys. Rev. C 2009, 80, 015202. [Google Scholar] [CrossRef]
- Chanfray, G.; Ericson, M. Scalar fields in nuclear matter: The roles of spontaneous chiral symmetry breaking and nucleon structure. Phys. Rev. C 2011, 83, 015204. [Google Scholar] [CrossRef]
- Massot, E.; Margueron, J.; Chanfray, G. On the maximum mass of hyperonic neutron stars. Europhys. Lett. 2012, 97, 39002. [Google Scholar] [CrossRef]
- Somasundaram, R.; Margueron, J.; Chanfray, G.; Hansen, H. Comparison of different relativistic models applied to dense nuclear matter. Eur. Phys. J. A 2022, 58, 5. [Google Scholar] [CrossRef]
- Chanfray, G.; Hansen, H.; Margueron, J. Constraints on the in-medium nuclear interaction from chiral symmetry and Lattice-QCD. arXiv 2023, arXiv:2304.01036. [Google Scholar]
- Goldstone, J. Derivation of the Brueckner many-body theory. Proc. R. Soc. A 1956, 239, 267. [Google Scholar]
- Desplanques, B. La matière nucléaire dans son état fondamental: Un état de nucléons corrélés et simultanément de particules indépendantes? Ann. Phys. 1990, 15, 159. [Google Scholar]
- Desplanques, B. A nucleon in the nucleus: What is it? Few-body-system. In Proceedings of the 5th International Symposium on Buckwheat, Taiyuan, China, 20–26 August 1992; Truhlik, E., Mach, R., Eds.; Agricultural Publishing House: Hanoi, China, 1992; pp. 260–266. [Google Scholar]
- Ramos, A.; Dickhoff, W.H.; Polls, A. Binding energy and momentum distribution of nuclear matter using Green’s function methods. Phys. Rev. C 1991, 43, 2239. [Google Scholar] [CrossRef]
- Haftel, M.I.; Tabakin, F. Nuclear saturation and the smoothness of nucleon-nucleon potentials. Nucl. Phys. A 1970, 158, 1. [Google Scholar] [CrossRef]
- Machleidt, R. The meson theory of nuclear forces and nuclear structure. Adv. Nucl. Phys. 1989, 19, 189. [Google Scholar]
- Hohler, G.; Pietarinen, E. The ϱ NN vertex in vector-dominance models. Nucl. Phys. B 1975, 95, 210. [Google Scholar] [CrossRef]
- Baldo, M.; Moshfegh, H.R. Correlations in nuclear matter. Phys. Rev. C 2012, 86, 024306. [Google Scholar] [CrossRef]
- Wiringa, R.B.; Stoks, V.G.J.; Schiavilla, R. Accurate nucleon-nucleon potential with charge-independence breaking. Phys. Rev. C 1995, 51, 38. [Google Scholar] [CrossRef]
- Nakayama, N.; Krewald, S.; Speth, J. A simple model for short-range correlations in nuclear matter. Nucl. Phys. A 1986, 451, 243. [Google Scholar] [CrossRef]
- Brockmann, R.; Machleidt, R. Relativistic nuclear structure. I. Nuclear matter. Phys. Rev. C 1990, 42, 1965. [Google Scholar] [CrossRef]
- Machleidt, R.; Holinde, K.; Elster, C. The bonn meson-exchange model for the nucleon—Nucleon interaction. Phys. Rep. 1987, 149, 1. [Google Scholar] [CrossRef]
- Oset, E.; Toki, H.; Weise, W. Pionic modes of excitation in nuclei. Phys. Rep. 1982, 83, 281. [Google Scholar] [CrossRef]
- Ichimura, M.; Sakai, H.; Wakasa, T. Spin–isospin responses via (p, n) and (n, p) reactions. Prog. Part. Nucl. Phys. 2006, 56, 446. [Google Scholar] [CrossRef]
- Serot, B.D.; Walecka, J.D. The Relativistic Nuclear Many-Body Problem. Adv. Nucl. Phys. 1986, 16, 1. [Google Scholar]
- Serot, B.D.; Walecka, J.D. Recent Progress in Quantum Hadrodynamics. Int. J. Mod. Phys. E 1997, 6, 515–631. [Google Scholar] [CrossRef]
- van Dalen, E.N.E.; Muther, H. Relativistic description of finite nuclei based on realistic NN interactions. Phys. Rev. C 2011, 84, 024320. [Google Scholar] [CrossRef]
- Boguta, J. Abnormal nuclei. Phys. Lett. B 1983, 120, 34. [Google Scholar] [CrossRef]
- Kerman, A.K.; Miller, L.D. Field Theory Methods for Finite Nuclear Systems and the Possibility of Density Isomerism; Second High Energy Heavy Ion Summer Study LBL-3675; Massachusetts Institute of Technology: Cambridge, MA, USA, 1974. [Google Scholar]
- Bentz, W.; Thomas, A.W. The stability of nuclear matter in the Nambu–Jona–Lasinio model. Nucl. Phys. A 2001, 696, 138. [Google Scholar] [CrossRef]
- Chanfray, G. Theoretical approaches to hadrons in nuclear matter. Nucl. Phys. A 2003, 721, C76–C83. [Google Scholar] [CrossRef]
- Guichon, P.A.M. A possible quark mechanism for the saturation of nuclear matter. Phys. Lett. B 1988, 200, 235. [Google Scholar] [CrossRef]
- Guichon, P.A.M.; Thomas, A.W. Quark structure and nuclear effective forces. Phys. Rev. Lett. 2004, 93, 132502. [Google Scholar] [CrossRef]
- Guichon, P.A.M.; Matevosyan, H.H.; Sandulescu, N.; Thomas, A.W. Physical origin of density dependent forces of Skyrme type within the quark meson coupling model. Nucl. Phys. A 2006, 772, 1. [Google Scholar] [CrossRef]
- Stone, R.; Guichon, P.A.M.; Reinhard, P.G.; Thomas, A.W. Finite nuclei in the quark-meson coupling model. Phys. Rev. Lett. 2016, 116, 092511. [Google Scholar] [CrossRef]
- Leutwyler, H. Chiral perturbation theory. Scholarpedia 2012, 7, 8708. [Google Scholar] [CrossRef]
- Leinweber, D.B.; Thomas, A.W.; Young, R.D. Physical Nucleon Properties from Lattice QCD. arXiv 2003, arXiv:hep-lat/0302020. [Google Scholar] [CrossRef]
- Leinweber, D.B.; Thomas, A.W.; Young, R.D. Physical nucleon properties from lattice QCD. Phys. Rev. Lett. 2004, 92, 242002. [Google Scholar] [CrossRef]
- Thomas, A.W.; Guichon, P.A.M.; Leinweber, D.B.; Young, R.D. Towards a Connection Between Nuclear Structure and QCD. Progr. Theor. Phys. Suppl. 2004, 156, 124, nucl-th/0411014. [Google Scholar] [CrossRef]
- Armour, W.; Alton, C.R.; Leinweber, D.B.; Thomas, A.W.; Young, R.D. An analysis of the nucleon spectrum from lattice partially-quenched QCD. Nucl. Phys. A 2010, 840, 97. [Google Scholar] [CrossRef]
- Chan, L.H. Derivative expansion for the one-loop effective actions with internal symmetry. Phys. Rev. Lett. 1986, 57, 1199. [Google Scholar] [CrossRef]
- Simonov, Y.A. Theory of light quarks in the confining vacuum. Phys. At. Nucl. 1997, 60, 2069. [Google Scholar]
- Simonov, Y.A. Chiral-Symmetry Breaking and Confinement in the Heavy-Light System. Few-Body Syst. 1998, 25, 45. [Google Scholar] [CrossRef]
- Simonov, Y.A. Chiral Lagrangian with confinement from the QCD Lagrangian. Phys. Rev. 2002, D65, 094018. [Google Scholar] [CrossRef]
- Simonov, Y.A.; Tjon, J.A. String formation and chiral symmetry breaking in the heavy-light quark-antiquark system in QCD. Phys. Rev. D 2000, 62, 014501. [Google Scholar] [CrossRef]
- Simonov, Y.A.; Tjon, J.A.; Weda, J. Baryon magnetic moments in the effective quark Lagrangian approach. Phys. Rev. D 2002, 65, 094013. [Google Scholar] [CrossRef]
- Simonov, Y.A. Resolution of the pion puzzle: The QCD string in Nambu-Goldstone mesons. Phys. At. Nucl. 2004, 67, 846. [Google Scholar] [CrossRef]
- Simonov, Y.A. New spectral representation and evaluation of f π and the quark condensate in the terms of string tension. Phys. At. Nucl. 2004, 67, 1027. [Google Scholar] [CrossRef]
- Simonov, Y.A. Chiral Lagrangian and chiral quark model from confinement in QCD. Int. Mod. Phys. A 2016, 31, 165016. [Google Scholar] [CrossRef]
- Giacomo, A.D.; Dosch, H.G.; Shevchenko, V.I.; Simonov, Y.A. Field correlators in QCD. Theory and applications. Phys. Rep. 2002, 372, 319. [Google Scholar] [CrossRef]
- Shevchenko, V.I.; Simonov, Y.A. Casimir scaling as a test of QCD vacuum models. Phys. Rev. Lett. 2000, 85, 1811. [Google Scholar] [CrossRef]
- Bicudo, P.; Brambilla, N.; Ribeiro, E.; Veiro, A. Confinement and chiral symmetry breaking in heavy-light quark systems. Phys. Lett. B 1998, 442, 349. [Google Scholar] [CrossRef]
- Alkofer, R.; von Smekal, L. The infrared behaviour of QCD Green’s functions: Confinement, dynamical symmetry breaking, and hadrons as relativistic bound states. Phys. Rep. 2001, 353, 281. [Google Scholar] [CrossRef]
- Eichmann, G.; Sanchis-Alepuz, H.; Williams, R.; Alkofer, R.; Fisher, S.C. Baryons as relativistic three-quark bound states. Prog. Part. Nucl. Phys. 2016, 91, 1. [Google Scholar] [CrossRef]
- Alkofer, R.; Maas, A.; Mian, W.A.; Mitter, M.; París-López, J.; Pawlowski, J.M.; Wink, N. Bound state properties from the functional renormalization group. Phys. Rev. D 2019, 99, 054029. [Google Scholar] [CrossRef]
- Jakovac, A.; Patkos, A. Bound states in functional renormalization group. Int. J. Mod. Phys. A 2019, 34, 1950154. [Google Scholar] [CrossRef]
- Llanes-Estrada, F.J.; Cotanch, S. Relativistic many-body Hamiltonian approach to mesons. Nucl. Phys. A 2002, 697, 303. [Google Scholar] [CrossRef]
- Alkofer, R.; Amundsen, P.A.; Langfeld, K. Chiral symmetry breaking in an instantaneous approximation to Coulomb gauge QCD. Z. Phys. C—Part. Fields 1988, 42, 305–402. [Google Scholar] [CrossRef]
- Alkofer, R. QCD Green Functions and their Application to Hadron Physics. Braz. J. Phys. 2007, 37, 144. [Google Scholar] [CrossRef]
- Simonov, Y.A. Field correlator method for the confinement in QCD. Phys. Rev. D 2019, 99, 056012. [Google Scholar] [CrossRef]
- Kalashnikova, Y.S.; Nefediev, A.V.; Ribeiro, J.E.F.T. Chiral symmetry and the properties of hadrons in the Generalised Nambu-Jona-Lasinio model. Physics-Uspekhi 2017, 60, 667–693. [Google Scholar] [CrossRef]
- Chanfray, G.; Hansen, H.; Margueron, J. work referred as [NJLFCM] in preparation. 2023. manuscript in preparation. [Google Scholar]
- Chamseddine, M.; Margueron, J.; Chanfray, G.; Hansen, H.; Somasundaram, R. Relativistic Hartree-Fock Chiral Lagrangians with confinement, nucleon finite size and short-range effects. arXiv 2023, arXiv:2304.01817. [Google Scholar]
- Kaiser, N.; Fritsch, S.; Weise, W. Chiral dynamics and nuclear matter. Nucl. Phys. A 2002, 697, 82. [Google Scholar] [CrossRef]










Disclaimer/Publisher’s Note: The statements, opinions and data contained in all publications are solely those of the individual author(s) and contributor(s) and not of MDPI and/or the editor(s). MDPI and/or the editor(s) disclaim responsibility for any injury to people or property resulting from any ideas, methods, instructions or products referred to in the content. |
© 2023 by the authors. Licensee MDPI, Basel, Switzerland. This article is an open access article distributed under the terms and conditions of the Creative Commons Attribution (CC BY) license (https://creativecommons.org/licenses/by/4.0/).
Share and Cite
Chanfray, G.; Ericson, M.; Martini, M. The Interrelated Roles of Correlations in the Nuclear Equation of State and in Response Functions: Application to a Chiral Confining Theory. Universe 2023, 9, 316. https://doi.org/10.3390/universe9070316
Chanfray G, Ericson M, Martini M. The Interrelated Roles of Correlations in the Nuclear Equation of State and in Response Functions: Application to a Chiral Confining Theory. Universe. 2023; 9(7):316. https://doi.org/10.3390/universe9070316
Chicago/Turabian StyleChanfray, Guy, Magda Ericson, and Marco Martini. 2023. "The Interrelated Roles of Correlations in the Nuclear Equation of State and in Response Functions: Application to a Chiral Confining Theory" Universe 9, no. 7: 316. https://doi.org/10.3390/universe9070316
APA StyleChanfray, G., Ericson, M., & Martini, M. (2023). The Interrelated Roles of Correlations in the Nuclear Equation of State and in Response Functions: Application to a Chiral Confining Theory. Universe, 9(7), 316. https://doi.org/10.3390/universe9070316

