Dynamics in Interacting Scalar-Torsion Cosmology
Abstract
:1. Introduction
2. Teleparallel Dilaton Model
3. Asymptotic Dynamics
Stationary Points for the Exponential Potential
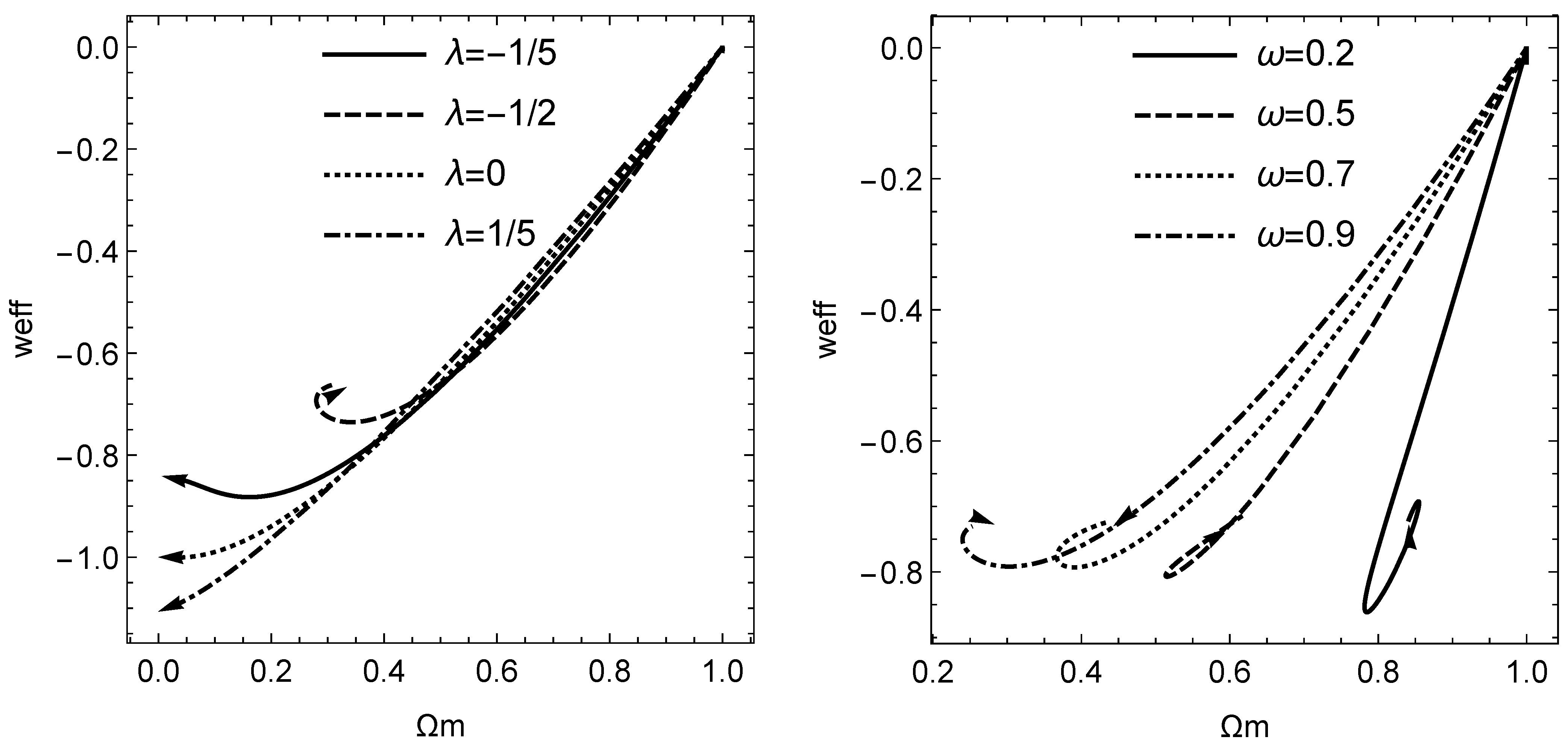
4. Cosmographic Parameters
5. Conclusions
Funding
Conflicts of Interest
References
- di Valentino, E.; Mena, O.; Pan, S.; Visinelli, L.; Yang, W.; Melchiorri, A.; Mota, D.F.; Riess, A.G.; Silk, J. In the realm of the Hubble tension—A review of solutions. Class. Quantum Grav. 2021. [Google Scholar] [CrossRef]
- Yoo, J.; Watanabe, Y. Theoretical Models of Dark Energy. Int. J. Mod. Phys. D 2012, 21, 1230002. [Google Scholar] [CrossRef] [Green Version]
- Clifton, T.; Ferreira, P.G.; Padilla, A.; Skordis, C. Modified gravity and cosmology. Phys. Rep. 2012, 513, 1–189. [Google Scholar] [CrossRef] [Green Version]
- Capozziello, S.; Cardone, V.F.; Carloni, S.; Troisi, A.; Miele, G.; Longo, G. Curvature quintessence. Int. J. Mod. Phys. 2002, 11, 305–306. [Google Scholar] [CrossRef] [Green Version]
- Nojiri, S.; Odintsov, S.D.; Oikonomou, V.K. Modified Gravity Theories on a Nutshell: Inflation, Bounce and Late-time Evolution. Phys. Rep. 2017, 693, 1. [Google Scholar] [CrossRef] [Green Version]
- Unzicker, A.; Case, T. Translation of Einstein’s attempt of a unified field theory with teleparallelism. arXiv 2005, arXiv:Physics/0503046. A. Einstein 1928, Sitz. Preuss. Akad. Wiss. p. 217; ibid p. 224. [Google Scholar]
- Hayashi, K.; Shirafuji, T. New general relativity. Phys. Rev. D 1979, 19, 3524–3553. [Google Scholar] [CrossRef]
- Nunes, R.C. Structure formation in f(T) gravity and a solution for H0 tension. J. Cosmol. Astropart. Phys. 2018, 5, 52. [Google Scholar] [CrossRef] [Green Version]
- Ferraro, R.; Fiorini, F. Modified teleparallel gravity: Inflation without an inflaton. Phys. Rev. D 2007, 75, 084031. [Google Scholar] [CrossRef] [Green Version]
- Paliathanasis, A.; Barrow, J.D.; Leach, P.G.L. Cosmological solutions of f(T) gravity. Phys. Rev. D 2016, 94, 023525. [Google Scholar] [CrossRef] [Green Version]
- Iorio, L.; Radicella, N.; Ruggiero, M.L. Constraining f(T) gravity in the Solar System. J. Cosmol. Astropart. Phys. 2015, 8, 21. [Google Scholar] [CrossRef] [Green Version]
- Khurshudyan, M.; Myrzakulov, R.; Khurshudyan, A. Interacting dark energy models in f(T) gravity. Mod. Phys. Lett. A 2017, 32, 1750097. [Google Scholar] [CrossRef]
- Paliathanasis, A. de Sitter and Scaling solutions in a higher-order modified teleparallel theory. J. Cosmol. Astropart. Phys. 2017, 8, 27. [Google Scholar] [CrossRef] [Green Version]
- Escamilla-Rivera, C.; Said, J.L. Cosmological viable models in f(T,B) theory as solutions to the H0 tension. Eur. Phys. J. C 2020, 80, 677. [Google Scholar]
- Hohmann, M.; Krššák, M.; Pfeifer, C.; Ualikhanova, U. Propagation of gravitational waves in teleparallel gravity theories. Phys. Rev. D 2018, 98, 124004. [Google Scholar] [CrossRef] [Green Version]
- Otalora, G.; Rebouças, M.J. Violation of causality in f(T) gravity. Eur. Phys. J. C 2017, 77, 799. [Google Scholar] [CrossRef]
- Mattingly, D. Modern Tests of Lorentz Invariance. Living Rev. Relativ. 2005, 8, 1–84. [Google Scholar] [CrossRef] [Green Version]
- Hohmann, M.; Järv, L.; Ualikhanova, U. Covariant formulation of scalar-torsion gravity. Phys. Rev. D 2018, 97, 104011. [Google Scholar] [CrossRef] [Green Version]
- Krššák, M.; Hoogen, R.J.V.D.; Pereira, J.G.; Böhmer, C.G.; A Coley, A. Teleparallel theories of gravity: Illuminating a fully invariant approach. Class. Quantum Grav. 2019, 36, 183001. [Google Scholar] [CrossRef] [Green Version]
- Bahamonde, S.; Dialektopoulos, K.F.; Escamilla-Rivera, C.; Farrugia, G.; Gakis, V.; Hendry, M.; Hohmann, M.; Said, J.L.; Mifsud, J.; Dialentino, E. Teleparallel Gravity: From Theory to Cosmology. arXiv 2021, arXiv:2106.13793. [Google Scholar]
- Chen, S.H.; Dent, J.B.; Dutta, S.; Saridakis, E.N. Cosmological perturbations in f(T) gravity. Phys. Rev. D 2011, 83, 023508. [Google Scholar] [CrossRef] [Green Version]
- Dent, J.B.; Dutta, S.; Saridakis, E.N. f(T) gravity mimicking dynamical dark energy. Background and perturbation analysis. J. Cosmol. Astropart. Phys. 2011, 2011, 009. [Google Scholar] [CrossRef] [Green Version]
- Raatikainen, S.; Räsänen, S. Higgs inflation and teleparallel gravity. J. Cosmol. Astropart. Phys. 2019, 2019, 021. [Google Scholar] [CrossRef] [Green Version]
- Bahamonde, S.; Marciu, M.; Rudra, P. Generalised teleparallel quintom dark energy non-minimally coupled with the scalar torsion and a boundary term. J. Cosmol. Astropart. Phys. 2018, 2018, 056. [Google Scholar] [CrossRef] [Green Version]
- Pompeia, P.J. Scalar-multitensor approach to teleparallel modified theories of gravity. Phys. Rev. D 2021, 103, 124036. [Google Scholar] [CrossRef]
- Jiménez, J.B.; Koivisto, T. Accidental Gauge Symmetries of Minkowski Spacetime in Teleparallel Theories. Universe 2021, 7, 143. [Google Scholar] [CrossRef]
- Jarv, L.; Lember, J. Global Portraits of Nonminimal Teleparallel Inflation. Universe 2021, 7, 178. [Google Scholar] [CrossRef]
- Harko, T.; Lobo, F.S.N.; Saridakis, E.N. Gravitationally Induced Particle Production through a Nonminimal Torsion–Matter Coupling. Universe 2021, 7, 227. [Google Scholar] [CrossRef]
- Boumaza, H. Cosmology of cubic galileon in modified teleparallel gravity. Eur. Phys. J. C 2021, 81, 1–17. [Google Scholar] [CrossRef]
- Wei, H. Dynamics of teleparallel dark energy. Phys. Lett. B 2012, 712, 430–436. [Google Scholar] [CrossRef] [Green Version]
- Geng, C.-Q.; Lee, C.-C.; Saridakis, E.N.; Wu, Y.-P. “Teleparallel” Dark Energy. Phys. Lett. B 2011, 704, 384. [Google Scholar] [CrossRef] [Green Version]
- Xu, C.; Saridakis, E.N.; Leon, G. Phase-Space analysis of Teleparallel Dark Energy. J. Cosmol. Astropart. Phys. 2012, 7, 5. [Google Scholar] [CrossRef]
- Geng, C.-Q.; Lei, C.-C.; Saridakis, E.N. Observational constraints on teleparallel dark energy. J. Cosmol. Astropart. Phys. 2012, 1, 2. [Google Scholar] [CrossRef]
- D’Agostino, R.; Luongo, O. Growth of matter perturbations in non-minimal teleparallel dark energy. Phys. Rev. D 2018, 98, 124013. [Google Scholar] [CrossRef] [Green Version]
- Amendola, L. Coupled quintessence. Phys. Rev. D 2000, 62, 043511. [Google Scholar] [CrossRef] [Green Version]
- Pan, S.; Chakraborty, S. A cosmographic analysis of holographic dark energy models. Int. J. Mod. Phys. D 2014, 23, 1450092. [Google Scholar] [CrossRef] [Green Version]
- Pan, S.; Sharov, G.S.; Yang, W. Field theoretic interpretations of interacting dark energy scenarios and recent observations. Phys. Rev. D 2020, 101, 103533. [Google Scholar] [CrossRef]
- Yang, W.; Pan, S.; Di Valentino, E.; Nunes, R.C.; Vagnozzi, S. Tale of stable interacting dark energy, observational signatures, and the H0 tension. J. Cosmol. Astropart. Phys. 2018, 9, 19. [Google Scholar] [CrossRef] [Green Version]
- Salim, J.M.; Sautu, S.L. Gravitational theory in Weyl integrable spacetime. Class. Quantum Grav. 1996, 13, 353. [Google Scholar] [CrossRef]
- Salim, J.M.; Sautu, S. Spherically symmetric static solutions in Weyl integrable spacetime. Class. Quantum Grav. 1998, 15, 203. [Google Scholar] [CrossRef]
- Hohmann, M. Scalar-torsion theories of gravity I: General formalism and conformal transformations. Phys. Rev. D 2018, 98, 064002. [Google Scholar] [CrossRef] [Green Version]
- Hohmann, M.; Pfeifer, C. Scalar-torsion theories of gravity II: L(T,X,Y,ϕ) theory. Phys. Rev. D 2018, 98, 064003. [Google Scholar] [CrossRef] [Green Version]
- Paliathanasis, A. O(d,d) symmetry in teleparallel dark energy. Eur. Phys. J. Plus 2021, 136, 674. [Google Scholar] [CrossRef]
- Gasperini, M.; Veneziano, G. Pre-big-bang in string cosmology. Astropart. Phys. 1993, 1, 317. [Google Scholar] [CrossRef] [Green Version]
- Quartin, M.; Calvao, M.O.; Joras, S.E.; Reis, R.R.R.; Waga, I. Dark Interactions and Cosmological Fine-Tuning. J. Cosmol. Astropart. Phys. 2008, 805, 7. [Google Scholar] [CrossRef]
- Amendola, L. Perturbations in a coupled scalar field cosmology. Mon. Not. R. Astron. Soc. 2000, 312, 521. [Google Scholar] [CrossRef] [Green Version]
- Arevalo, F.; Bacalhau, A.P.R.; Zimdahl, W. Cosmological dynamics with nonlinear interactions. Class. Quant. Grav. 2012, 29, 235001. [Google Scholar] [CrossRef] [Green Version]
- Paliathanasis, A.; Pan, S.; Yang, W. Dynamics of nonlinear interacting dark energy models. Int. J. Mod. Phys. D 2019, 28, 1950161. [Google Scholar] [CrossRef] [Green Version]
- Razaei, Z. Dark Matter-Dark Energy Interaction and the Shape of Cosmic Voids. Astrophys. J. 2020, 902, 102. [Google Scholar] [CrossRef]
- Amendola, L.; Camargo Campos, G.; Rosenfeld, R. Consequences of dark matter-dark energy interaction on cosmological parameters derived from SNIa data. Phys. Rev. D 2007, 75, 083506. [Google Scholar] [CrossRef] [Green Version]
- Sharov, G.S.; Bhattacharya, S.; Pan, S.; Nunesand, R.C.; Chakraborty, S. A new interacting two fluid model and its consequences. Mon. Not. R. Astron. Soc. 2017, 466, 3497. [Google Scholar] [CrossRef]
- Yang, W.; Pan, S.; Paliathanasis, A. Cosmological constraints on an exponential interaction in the dark sector. Mon. Not. R. Astron. Soc. 2019, 482, 1007. [Google Scholar] [CrossRef]
- Pan, S.; Yang, W.; Paliathanasis, A. Non-linear interacting cosmological models after Planck 2018 legacy release and the H0 tension. Mon. Not. R. Astron. Soc. 2020, 493, 3114. [Google Scholar] [CrossRef]
- Aghanim, N.; Akrami, Y.; Ashdown, M.; Aumont, J.; Baccigalupi, C.; Ballardini, M.; Banday, A.J.; Barreiro, R.B.; Bartolo, N.; Basak, S.; et al. Planck 2018 results. VI. Cosmological parameters. Astron. Astrophys. 2020, 641, A6. [Google Scholar]
- Weinberg, S. Gravitation and Cosmology: Principles and Applications of the General Theory of Relativity; Wiley: New York, NY, USA, 1972. [Google Scholar]
- Visser, M. Jerk and the cosmological equation of state. Class. Quant. Grav. 2004, 21, 2603–2616. [Google Scholar] [CrossRef]
- Bolotin, Y.L.; Cherkaskiy, V.A.; Ivashtenko, O.Y.; Konchatnyi, M.I.; Zazunov, L.G. Applied Cosmography: A Pedagogical Review. arXiv 2018, arXiv:1812.02394. [Google Scholar]
- Wang, F.Y.; Dai, Z.G.; Qi, S. Probing the cosmographic parameters to distinguish between dark energy and modified gravity models. Astron. Astrophys. 2009, 507, 53. [Google Scholar]
- Hrycyna, O.; Szydlowski, M. Dynamical complexity of the Brans-Dicke cosmology. J. Cosmol. Astropart. Phys. 2013, 12, 16. [Google Scholar] [CrossRef]
- Paliathanasis, A.; Leon, G.; Barrow, J.D. Integrability and cosmological solutions in Einstein-æther-Weyl theory. Eur. Phys. J. C 2020, 80, 731. [Google Scholar] [CrossRef]




| Point | Existence | ||||
|---|---|---|---|---|---|
| Always | 1 | 0 | No, dust solution | ||
| Always | 0 | for | |||
| 0 | Yes under conditions | ||||
| Yes under conditions | |||||
| Point | Eigenvalues | Stability |
|---|---|---|
| Saddle | ||
| saddle and | ||
| saddle and | ||
| Stable for | ||
| Attractor |
Publisher’s Note: MDPI stays neutral with regard to jurisdictional claims in published maps and institutional affiliations. |
© 2021 by the author. Licensee MDPI, Basel, Switzerland. This article is an open access article distributed under the terms and conditions of the Creative Commons Attribution (CC BY) license (https://creativecommons.org/licenses/by/4.0/).
Share and Cite
Paliathanasis, A. Dynamics in Interacting Scalar-Torsion Cosmology. Universe 2021, 7, 244. https://doi.org/10.3390/universe7070244
Paliathanasis A. Dynamics in Interacting Scalar-Torsion Cosmology. Universe. 2021; 7(7):244. https://doi.org/10.3390/universe7070244
Chicago/Turabian StylePaliathanasis, Andronikos. 2021. "Dynamics in Interacting Scalar-Torsion Cosmology" Universe 7, no. 7: 244. https://doi.org/10.3390/universe7070244
APA StylePaliathanasis, A. (2021). Dynamics in Interacting Scalar-Torsion Cosmology. Universe, 7(7), 244. https://doi.org/10.3390/universe7070244

