Study on Synthesis and Regulation of PPVI and PPVII in Paris polyphylla with UV
Abstract
1. Introduction
2. Materials and Methods
2.1. Instruments and Reagents
2.2. Treatment Method for P. polyphylla
2.3. Changes in Apparent Characters of P. polyphylla Treated by UV Light
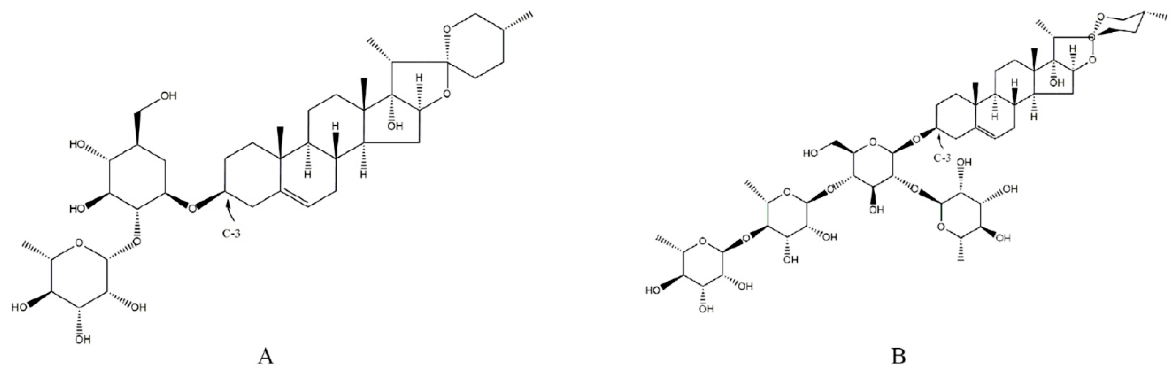
2.4. Determination of Parissaponin Content
2.4.1. Conditions and Methods
2.4.2. Sample Treatment
2.4.3. Methodological Investigation
2.5. Determination of Activity of Synthases for Parissaponin
2.6. Determination of Physiological Indices
2.7. Computer Processing and Analysis of Data
3. Results and Discussion
3.1. P. polyphylla Characteristics Clearly Changed with UV Treatment
3.2. Impact of UV Treatment Groups on the Contents of PPVI and PPVII
3.2.1. Methodological Investigation Results
3.2.2. Impact of UV Treatment on PPVI and PPVII Contents
3.3. Synthetase Activity Increased under UV Treatment
Changes in Saponin Synthase Activity
3.4. Content of MDA Increased under UV Treatment
3.5. Changes in Photosynthetic Pigment Content
3.6. Correlation Analysis
4. Discussion
5. Conclusions
Author Contributions
Funding
Institutional Review Board Statement
Informed Consent Statement
Data Availability Statement
Acknowledgments
Conflicts of Interest
References
- Pharmacopoeia Commission of the Ministry of Health of the People’s Republic of China. Pharmacopoeia of the People’s Republic of China; China Pharmaceutical Science and Technology Press: Beijing, China, 2020. [Google Scholar]
- Yi, Y.; Liang, J. Ethnobotany study of paris polyphylla. Chin. J. Ethnomedicine Ethnopharmacy 2017, 26, 76–79. [Google Scholar]
- Wang, X.; Chen, Z.; Yin, H. The application of paris polyphylla smith var. in Chinese folk medicine. West. China J. Pharm. 2018, 33, 555–560. [Google Scholar]
- Guan, X.; Li, R.; Duan, B.; Wang, Y.; Fan, M.; Wang, S.; Zhang, H.; Xia, C. Advances in research on chemical constituents and pharmacological effects of paris genus and prediction and analysis of quality markers. Chin. Tradit. Herb. Drugs 2019, 50, 4838–4852. [Google Scholar]
- Thapa, C.; Paudel, M.; Bhattarai, H.; Pant, K.; Devkota, H.; Adhikari, Y.; Pant, B. Paris polyphyllabioactive secondary metabolites in sm. And their biological activities: A review. Heliyon 2022, 8, e08982. [Google Scholar] [CrossRef] [PubMed]
- Yanmin, L. Quality Evaluation of Rhizoma Paridis Medicinal Materials. Master’s Thesis, Tianjin University of TCM, Tianjin, China, 2016. [Google Scholar]
- Feng, F.; Cheng, P.; Wang, C.; Wang, Y.; Wang, W. Polyphyllin i and vii potentiate the chemosensitivity of a549/ddp cells to cisplatin by enhancing apoptosis, reversing emt and suppressing the cip2a/akt/mtor signaling axis. Oncol. Lett. 2019, 18, 5428–5436. [Google Scholar] [CrossRef] [PubMed]
- Li, X.; Liu, Y.; Liao, S.; Lin, C.; Moro, A.; Liu, J.; Feng, W.; Wang, K.; Wang, C. Polyphyllin vii induces apoptosis and autophagy via mediating h2o2 levels and the jnk pathway in human osteosarcoma u2os cells. Oncol. Rep. 2021, 45, 180–190. [Google Scholar] [CrossRef]
- Zhang, C.; Li, C.; Jia, X.; Wang, K.; Tu, Y.; Wang, R.; Liu, K.; Lu, T.; He, C. In vitro and in vivo anti-inflammatory effects of polyphyllin vii through downregulating mapk and nf-κb pathways. Molecules 2019, 24, 875. [Google Scholar] [CrossRef] [PubMed]
- Teng, L.; Zhang, X.; Cheng, Y.; Zhou, S.; Ye, W. Advances in pharmacological activities and pharmacokinetics of polyphyllin. Northwest Pharm. J. 2019, 34, 280–283. [Google Scholar]
- Yan, D.; Tian, F.; Duan, C.; Zhou, A.; Xu, J.; Bai, Y. Investigation and phenotypic analysis on germplasm resources of paris polyphylla var. Chinensis in Zhejiang. J. Zhejiang For. Sci. Technol. 2015, 35, 6–10. [Google Scholar]
- Zhao, C.; Chen, Z.; Wei, F.; Li, S.; Yang, L.; Li, J.; Wang, C. Responses of photosynthetic pigment, phenol and total saponin contents of panax notoginseng to supplemental uv-b under field conditions. Agric. Sci. Technol. 2014, 15, 1120–1124+1151. [Google Scholar] [CrossRef]
- Kilambi, H.; Dindu, A.; Sharma, K.; Nizampatnam, N.; Gupta, N.; Thazath, N.; Dhanya, A.; Tyagi, K.; Sharma, S.; Kumar, S.; et al. The new kid on the block: A dominant-negative mutation of phototropin1 enhances carotenoid content in tomato fruits. Plant J. Cell Mol. Biol. 2021, 106, 844–861. [Google Scholar] [CrossRef] [PubMed]
- Şahİn, G.; Tellİ, M.; ÜnlÜ, E.; KarakaŞ, F.P. Effects of moderate high temperature and uv-b on accumulation of withanolides and relative expression of the squalene synthase gene in physalis peruviana. Turk. J. Biol. 2020, 44, 295–303. [Google Scholar] [CrossRef] [PubMed]
- Bai, Y.; Gu, Y.; Liu, S.; Jiang, L.; Han, M.; Geng, D. Flavonoids metabolism and physiological response to ultraviolet treatments in tetrastigma hemsleyanum diels et gilg. Front. Plant Sci. 2022, 13, 926197. [Google Scholar] [CrossRef] [PubMed]
- Otake, M.; Yoshiyama, K.O.; Yamaguchi, H.; Hidema, J. 222 nm ultraviolet radiation c causes more severe damage to guard cells and epidermal cells of arabidopsis plants than does 254 nm ultraviolet radiation. Photochem. Photobiol. Sci. 2021, 20, 1675–1683. [Google Scholar] [CrossRef] [PubMed]
- Cvetković, S.; Vuletić, S.; Vunduk, J.; Klaus, A.; Mitić-Ćulafić, D.; Nikolić, B. The role of gentiana lutea extracts in reducing uv-induced DNA damage. Mutagenesis 2022, 38, 71–80. [Google Scholar] [CrossRef] [PubMed]
- Keane, S.; de Weerd, H.; Ejeskär, K. Dlg2 impairs dsdna break repair and maintains genome integrity in neuroblastoma. DNA Repair 2022, 112, 103–112. [Google Scholar] [CrossRef] [PubMed]
- Pharmacopoeia Commission of the Ministry of Health of the People’s Republic of China. Pharmacopoeia of the People’s Republic of China; China Pharmaceutical Science and Technology Press: Beijing, China, 2015. [Google Scholar]
- Lee, H. Principle and Technology of Plant Physiological and Biochemical Experiment; Higher Education Press: Beijing, China, 2000; pp. 130–134. [Google Scholar]
- Wen, C.; Liu, S.; Geng, D.; Gu, Y.; Li, Z.; Pan, J.; Bai, Y. Effect of shading on saponin content and biochemical indexes of paris polyphylla smith var. Chinensis(franch.) hara in northern Zhejiang. Chin. J. Eco-Agric. 2022, 30, 72–81. [Google Scholar]
- Juan, L.; Tao, Y.; Yi, Y. Effect of shading on photosynthetic characteristics and saponins content of paris polyphylla smith var. Chinensis (franch.) hara. Jiangsu Agric. Sci. 2016, 44, 265–267. [Google Scholar]
- Li, L.; Jiang, Z.; Ma, L.; Zheng, W.; Feng, L. Physiological response of paris polyphylla under different led light quality culture. J. Fujian For. Sci. Technol. 2020, 47, 57–62. [Google Scholar] [CrossRef]
- Li, B.; Tang, Z.; Wang, N.; Sun, X.; Huang, W.; Song, Z.; Yang, X.; Cheng, H.; Huang, K. Effects of different led light quality on physiological characteristics and component accumulation of paris polyphylla in shaanxi province. Mod. Chin. Med. 2019, 21, 1386–1391. [Google Scholar] [CrossRef]
- Zhang, Q.; Liang, S.; Cao, J.; He, Z.; Mo, J. Effects of different led light quality on growth, photosynthesis, saponins content and yield of paris polyphylla var. Yunnanensis. China Illum. Eng. J. 2018, 29, 45–49. [Google Scholar]
- Lee, J.H.; Shibata, S.; Goto, E. Time-course of changes in photosynthesis and secondary metabolites in canola (brassica napus) under different uv-b irradiation levels in a plant factory with artificial light. Front. Plant Sci. 2021, 12, 786555. [Google Scholar] [CrossRef] [PubMed]
- Li, J.; Liang, Q.; Li, C.; Liu, M.; Zhang, Y. Comparative transcriptome analysis identifies putative genes involved in dioscin biosynthesis in dioscorea zingiberensis. Molecules 2018, 23, 454. [Google Scholar] [CrossRef] [PubMed]
- Yang, Z.; Yang, L.; Liu, C.; Qin, X.; Liu, H.; Chen, J.; Ji, Y. Transcriptome analyses of paris polyphylla var. Chinensis, ypsilandra thibetica, and polygonatum kingianum characterize their steroidal saponin biosynthesis pathway. Fitoterapia 2019, 135, 52–63. [Google Scholar] [CrossRef] [PubMed]
- Hua, X.; Song, W.; Wang, K.; Yin, X.; Hao, C.; Duan, B.; Xu, Z.; Su, T.; Xue, Z. Effective prediction of biosynthetic pathway genes involved in bioactive polyphyllins in paris polyphylla. Commun. Biol. 2022, 5, 50–59. [Google Scholar] [CrossRef] [PubMed]
- Yin, L.; Zuo, Y.; Huang, X.; Han, P.; Yan, Y.; Xu, Y.; Di, P. Transcriptome analysis of polygonatum odoratum rhizome and study on its steroid saponins biosynthesis pathway. Mol. Plant Breed. 2022, 20, 1–13. [Google Scholar] [CrossRef]
- Chen, Y.; Lai, M.; Yun, X.; Wang, K.; Xu, H. Discovery and functional analysis of a cytochrome p450 gene involved in c-28 oxidation of the triterpenoids from llex pubescens. J. China Pharm. Univ. 2019, 50, 459–467. [Google Scholar]
- Kumar, S.; Kalra, S.; Singh, B.; Kumar, A.; Kaur, J.; Singh, K. Rna-seq mediated root transcriptome analysis of chlorophytum borivilianum for identification of genes involved in saponin biosynthesis. Funct. Integr. Genom. 2016, 16, 37–55. [Google Scholar] [CrossRef] [PubMed]
- Song, W.; Zhang, C.; Wu, J.; Qi, J.; Hua, X.; Kang, L.; Yuan, Q.; Yuan, J.; Xue, Z. Characterization of three paris polyphylla glycosyltransferases from different ugt families for steroid functionalization. ACS Synth. Biol. 2022, 11, 1669–1680. [Google Scholar] [CrossRef]
- Yan, H.; Ni, W.; Yu, L.L.; Xiao, L.G.; Ji, Y.H.; Liu, H.Y. Parisvaniosides a-e, five new steroidal saponins from paris vaniotii. Steroids 2022, 177, 108949. [Google Scholar] [CrossRef]
- Tang, T.; Li, C.H.; Li, D.S.; Jing, S.X.; Hua, J.; Luo, S.H.; Liu, Y.; Li, S.H. Peltate glandular trichomes of colquhounia vestita harbor diterpenoid acids that contribute to plant adaptation to uv radiation and cold stresses. Phytochemistry 2020, 172, 112285. [Google Scholar] [CrossRef] [PubMed]
- Su, W.; Zhang, G.; Li, X.; Ou, X. Relationship between accumulation of secondary metabolism in medicinal plant and environmental condition. Chin. Tradit. Herb. Drugs 2005, 9, 1415–1418. [Google Scholar]
- Li, B.; He, Y.; Wang, N.; Sun, X.; Huang, W.; Bi, S.; Song, Z.; Tang, Z. Water stress: Effects on protective enzyme activities and osmotic regulatory substances of paris polyphylla in Shaanxi. Chin. Agric. Sci. Bull. 2020, 36, 57–61. [Google Scholar]
- Zhao, Z.; Li, C.; Liu, H.; Yang, J.; Huang, P.; Liao, W. The involvement of glucose in hydrogen gas-medicated adventitious rooting in cucumber. Plants 2021, 10, 1937. [Google Scholar] [CrossRef] [PubMed]
- Bodi, H. Carotenoid Chemistry and Biochemistry; China Light Industry Press: Beijing, China, 2005; pp. 7–15. [Google Scholar]
- Wang, L.; Li, Y.; Xin, G.; Wei, M.; Yang, Q.; Mi, Q. This may be because carotenoids are more sensitive to blue-violet light. Liwei et al. Found that blue light can significantly promote the accumulation of carotenoids. Chin. J. Appl. Ecol. 2017, 28, 1595–1602. [Google Scholar]
- Heinze, M.; Hanschen, F.S.; Wiesner-Reinhold, M.; Baldermann, S.; Gräfe, J.; Schreiner, M.; Neugart, S. Effects of developmental stages and reduced uvb and low uv conditions on plant secondary metabolite profiles in pak choi (brassica rapa subsp.Chinensis). J. Agric. Food Chem. 2018, 66, 1678–1692. [Google Scholar] [CrossRef]
- Surjadinata, B.; Jacobo-Velázquez, D.; Cisneros-Zevallos, L. Uva, uvb and uvc light enhances the biosynthesis of phenolic antioxidants in fresh-cut carrot through a synergistic effect with wounding. Molecules 2017, 22, 668. [Google Scholar] [CrossRef]
- Santin, M.; Lucini, L.; Castagna, A.; Chiodelli, G.; Hauser, M.T.; Ranieri, A. Post-harvest uv-b radiation modulates metabolite profile in peach fruit. Postharvest Biol. Technol. 2018, 139, 127–134. [Google Scholar] [CrossRef]
- Li, Y.M.; You, J.L.; Nie, W.F.; Sun, M.H.; Xie, Z.S. Transcription profiles reveal age-dependent variations of photosynthetic properties and sugar metabolism in grape leaves (Vitis vinifera L.). Int. J. Mol. Sci. 2022, 23, 2243. [Google Scholar] [CrossRef]
- Nwoba, E.G.; Rohani, T.; Raeisossadati, M.; Vadiveloo, A.; Bahri, P.A.; Moheimani, N.R. Monochromatic light filters to enhance biomass and carotenoid productivities of dunaliella salina in raceway ponds. Bioresour. Technol. 2021, 340, 125689. [Google Scholar] [CrossRef]









| Time (min) | Acetonitrile | Water (%) |
|---|---|---|
| 0 | 30 | 70 |
| 40 | 60 | 40 |
| 50 | 30 | 70 |
| 90 | 30 | 70 |
| UV Light | Treatment | Record |
|---|---|---|
| UVA | 90 min | UVA-90 min |
| 4 h | UVA-4 h | |
| UVB | 30 min | UVB-30 min |
| 4 h | UVB-4 h | |
| UVC | 15 min | UVC-15 min |
| 4 h | UVC-4 h |
Disclaimer/Publisher’s Note: The statements, opinions and data contained in all publications are solely those of the individual author(s) and contributor(s) and not of MDPI and/or the editor(s). MDPI and/or the editor(s) disclaim responsibility for any injury to people or property resulting from any ideas, methods, instructions or products referred to in the content. |
© 2024 by the authors. Licensee MDPI, Basel, Switzerland. This article is an open access article distributed under the terms and conditions of the Creative Commons Attribution (CC BY) license (https://creativecommons.org/licenses/by/4.0/).
Share and Cite
Geng, D.; Sun, Y.; Liu, S.; Chen, W.; Gao, F.; Bai, Y.; Zhang, S. Study on Synthesis and Regulation of PPVI and PPVII in Paris polyphylla with UV. Metabolites 2024, 14, 427. https://doi.org/10.3390/metabo14080427
Geng D, Sun Y, Liu S, Chen W, Gao F, Bai Y, Zhang S. Study on Synthesis and Regulation of PPVI and PPVII in Paris polyphylla with UV. Metabolites. 2024; 14(8):427. https://doi.org/10.3390/metabo14080427
Chicago/Turabian StyleGeng, Dongjie, Yiqun Sun, Shouzan Liu, Wen Chen, Fei Gao, Yan Bai, and Shaobo Zhang. 2024. "Study on Synthesis and Regulation of PPVI and PPVII in Paris polyphylla with UV" Metabolites 14, no. 8: 427. https://doi.org/10.3390/metabo14080427
APA StyleGeng, D., Sun, Y., Liu, S., Chen, W., Gao, F., Bai, Y., & Zhang, S. (2024). Study on Synthesis and Regulation of PPVI and PPVII in Paris polyphylla with UV. Metabolites, 14(8), 427. https://doi.org/10.3390/metabo14080427

