Using Convolutional Neural Networks Based on a Taguchi Method for Face Gender Recognition
Abstract
1. Introduction
- (1)
- To avoid using the trial-and-error method to determine the parameters of the network architecture, the Taguchi-based AlexNet network is proposed.
- (2)
- To avoid time-consuming for optimal parameters of the network, the orthogonal array is used. Without the orthogonal array, the 486 experimental number would be needed; however, there is 18 needed in this study.
- (3)
- Experimental results proved that the average accuracy rates of the proposed Taguchi-based AlexNet network is higher 1.576% and 3.47% than the original AlexNet network in CIA and MORPH databases, respectively.
- (4)
- Although this study only uses the Taguchi method to optimize the structural parameters of the AlexNet network, other networks can also adopt the proposed method to determine their network structure and obtain a better average accuracy.
2. The Taguchi-Based AlexNet Network
2.1. Convolutional Neural Networks
- Convolution layer
- Pooling layer
- Fully connected layer
2.2. Proposed Taguchi Method
- Step 1: Understand the narrative of the problem
- Step 2: Determine the levels of each factor
- Step 3: Select the applicable Orthogonal Arrays (OA)
- Step 4: Assign the factors to columns of the OA
- Step 5: Conduct the experiments
- Step 6: Analyze the experimental data
- Step 7: Define the optimal the levels of the factors
- Step 8: Carry out the confirmation experiment
3. Experimental Results
3.1. AlexNet
3.2. Computational Intelligence Application (CIA) Data Set
3.2.1. Determine the Levels of Each Factor
3.2.2. Factor Allocation of Taguchi Experiments
3.2.3. Accuracy and S/N Ratio Results
3.2.4. Quality Characteristics and Optimal Parameters
3.2.5. Optimal Combination of Experimental Parameters
3.3. MORPH Facial Recognition Database
3.3.1. Results of Accuracy and S/N Ratio
3.3.2. Quality Characteristics and Optimal Parameters
3.3.3. Optimal Combination of Experimental Parameters
4. Conclusions
Author Contributions
Funding
Conflicts of Interest
References
- Erik, H.; Boon, K.L. Face detection: A survey. Comput. Vis. Image Underst. 2001, 83, 236–274. [Google Scholar] [CrossRef]
- Yang, M.H.; Kriegman, D.J.; Ahuja, N. Detecting faces in images: A survey. IEEE Trans. Pattern Anal. Mach. Intell. 2002, 24, 34–58. [Google Scholar] [CrossRef]
- WenYi, Z.; Rama, C.; Jonathon, P.; Azriel, R. Face recognition: A literature survey. ACM Comput. Surv. 2003, 35, 399–458. [Google Scholar] [CrossRef]
- Saatci, Y.; Town, C. Cascaded classification of gender and facial expression using active appearance models. In Proceedings of the 7th International Conference on Automatic Face and Gesture Recognition (FGR06), Southampton UK, 10–12 April 2006; pp. 393–398. [Google Scholar] [CrossRef]
- Mäkinen, E.; Raisamo, R. An experimental comparison of gender classification methods. Pattern Recognit. Lett. 2008, 29, 1544–1556. [Google Scholar] [CrossRef]
- Singh, V.; Shokeen, V.; Singh, B. Comparison of feature extraction algorithms for gender classification from face images. Int. J. Eng. Res. Technol. 2010, 2, 61034767. [Google Scholar]
- Eidinger, E.; Enbar, R.; Hassner, T. Age and Gender Estimation of Unfiltered Faces. IEEE Trans. Inf. Forensics Secur. 2014, 9, 2170–2179. [Google Scholar] [CrossRef]
- Duan, M.; Li, K.; Yang, C.; Li, K. A hybrid deep learning CNN–ELM for age and gender classification. Pattern Recognit. Lett. 2018, 275, 448–461. [Google Scholar] [CrossRef]
- Kumar, A.; Kim, J.; Lyndon, D.; Fulham, M.; Feng, D. An Ensemble of Fine-Tuned Convolutional Neural Networks for Medical Image Classification. IEEE J. Biomed. Health Inform. 2017, 21, 31–40. [Google Scholar] [CrossRef]
- Ševo, I.; Avramović, A. Convolutional Neural Network Based Automatic Object Detection on Aerial Images. IEEE Geosci. Remote Sens. Lett. 2016, 13, 740–744. [Google Scholar] [CrossRef]
- Ponce, J.M.; Aquino, A.; Andújar, J.M. Olive-Fruit Variety Classification by Means of Image Processing and Convolutional Neural Networks. IEEE Access 2019, 7, 147629–147641. [Google Scholar] [CrossRef]
- Ding, C.; Tao, D. Trunk-Branch Ensemble Convolutional Neural Networks for Video-Based Face Recognition. IEEE Trans. Pattern Anal. Mach. Intell. 2018, 40, 1002–1014. [Google Scholar] [CrossRef] [PubMed]
- Rasti, P.; Uiboupin, T.; Escalera, S.; Anbarjafari, G. Convolutional Neural Network Super Resolution for Face Recognition in Surveillance Monitoring. In Proceedings of the 2016 International Conference on Articulated Motion and Deformable Objects, Palma de Mallorca, Spain, 13–15 July 2016; pp. 175–184. [Google Scholar]
- Levi, G.; Hassncer, T. Age and gender classification using convolutional neural networks. In Proceedings of the 2015 IEEE Conference on Computer Vision and Pattern Recognition Workshops (CVPRW), Boston, MA, USA, 7–12 June 2015; pp. 34–42. [Google Scholar]
- Hou, J.; Wang, S.; Lai, Y.; Tsao, Y.; Chang, H.; Wang, H. Audio-Visual Speech Enhancement Using Multimodal Deep Convolutional Neural Networks. IEEE Trans. Emerg. Top. Comput. Intell. 2018, 2, 117–128. [Google Scholar] [CrossRef]
- Ozbulak, G.; Aytar, Y.; Ekenel, H.K. How transferable are CNN-based features for age and gender classification. In Proceedings of the 2016 International Conference of the Biometrics Special Interest Group (BIOSIG), Darmstadt, Germany, 21–23 September 2016. [Google Scholar] [CrossRef]
- Esteban, R.; Sherry, M.; Andrew, S.; Saurabh, S.; Yutakaleon, S.; Jie, T.; Quoc, V.L.; Alexey, L.K. Large-scale evolution of image classifiers. In Proceedings of the ICML’17: 34th International Conference on Machine Learning, Sydney, Australia, 6–11 August 2017; Volume 70, pp. 2902–2911. [Google Scholar] [CrossRef]
- Benteng, M.; Xiang, L.; Yong, X.; Yanning, Z. Autonomous deep learning: A genetic DCNN designer for image classification. Neurocomputing 2020, 379, 152–161. [Google Scholar] [CrossRef]
- Zoph, B.; Le, Q.V. Neural Architecture Search with Reinforcement Learning. arXiv, 2016; arXiv:1611.01578. [Google Scholar]
- Yang, W.H.; Tarng, Y.S. Design optimization of cutting parameters for turning operations based on the Taguchi method. J. Mater. Process. Tech. 1998, 84, 122–129. [Google Scholar] [CrossRef]
- Ballantyne, K.N.; van Oorschot, R.A.; Mitchell, R.J. Reduce optimisation time and effort: Taguchi experimental design methods. Forensic Sci. Int. Genet. Suppl. Ser. 2008, 1, 7–8. [Google Scholar] [CrossRef]
- Harlapur, M.D.; Mallapur, D.G.; Rajendra, K. AIP Conference Proceeding; AIP Publishing: New York, NY, USA, 2018; Volume 1943. [Google Scholar]
- LeCun, Y.; Bottou, L.; Bengio, Y.; Haffner, P. Gradient-based learning applied to document recognition. Proc. IEEE 1998, 86, 2278–2324. [Google Scholar] [CrossRef]
- Alex, K.; Ilya, S.; Geoffrey, H. ImageNet classification with deep convolutional neural networks. Neural Inf. Process. Syst. 2012, 60, 84–90. [Google Scholar] [CrossRef]
- Szegedy, C.; Liu, W.; Jia, Y.; Sermanet, P.; Reed, S.; Anguelov, D.; Vanhoucke, V.; Rabinovich, A. Going deeper with convolutions. In Proceedings of the 2015 IEEE Conference on Computer Vision and Pattern Recognition (CVPR), Boston, MA, USA, 7–12 June 2015; pp. 1–9. [Google Scholar] [CrossRef]
- Simonyan, K.; Zisserman, A. Very deep convolutional neural network based image classification using small training sample size. In Proceedings of the 2015 3rd IAPR Asian Conference on Pattern Recognition (ACPR), Kuala Lumpur, Malaysia, 3–6 November 2015; pp. 730–734. [Google Scholar] [CrossRef]
- Kaiming, H.; Xiangyu, Z.; Shaoqing, R.; Jian, S. Deep Residual Learning for Image Recognition. In Proceedings of the IEEE Conference on Computer Vision and Pattern Recognition (CVPR), Las Vegas, NV, USA, 27–30 June 2016; pp. 770–778. [Google Scholar]
- Weiss, K.; Khoshgoftaar, T.M.; Wang, D. A survey of transfer learning. J. Big Data 2016, 3, 9. [Google Scholar] [CrossRef]
- Islam, M.M.; Tasnim, N.; Baek, J.-H. Human Gender Classification Using Transfer Learning via Pareto Frontier CNN Networks. Inventions 2020, 5, 16. [Google Scholar] [CrossRef]
- Lin, C.J.; Lin, C.H.; Jeng, S.Y. Using feature fusion and parameter optimization of dual-input convolutional neural network for face gender recognition. Appl. Sci. 2020, 10, 3166. [Google Scholar] [CrossRef]
- Lin, C.J.; Jeng, S.Y.; Chen, M.K. Using 2D CNN with Taguchi parametric optimization for lung cancer recognition from CT images. Appl. Sci. 2020, 10, 2591. [Google Scholar] [CrossRef]







| Conv-1 | Pool-1 | Conv-2 | Pool-2 | Conv-3 | Conv-4 | Conv-5 | Pool-5 | |
|---|---|---|---|---|---|---|---|---|
| Kernel size (KS) | 11 × 11 | 3 × 3 | 5 × 5 | 3 × 3 | 3 × 3 | 3 × 3 | 3 × 3 | 3 × 3 |
| Stride (S) | 4 | 2 | 1 | 2 | 1 | 1 | 1 | 2 |
| Padding (P) | 0 | 0 | 2 | 0 | 1 | 1 | 1 | 0 |
| KS of Conv-1 | S of Conv-1 | P of Conv-1 | KS of Conv-5 | S of Conv-5 | P of Conv-5 | |
|---|---|---|---|---|---|---|
| 1 | 13 | 4 | 2 | 7 | 3 | 2 |
| 2 | 13 | 3 | 2 | 5 | 2 | 1 |
| 3 | 13 | 2 | 2 | 3 | 1 | 0 |
| 4 | 11 | 4 | 2 | 7 | 2 | 1 |
| 5 | 11 | 3 | 2 | 5 | 1 | 0 |
| 6 | 11 | 2 | 2 | 3 | 3 | 2 |
| 7 | 9 | 4 | 2 | 5 | 3 | 0 |
| 8 | 9 | 3 | 2 | 3 | 2 | 2 |
| 9 | 9 | 2 | 2 | 7 | 1 | 1 |
| 10 | 13 | 4 | 1 | 3 | 1 | 1 |
| 11 | 13 | 3 | 1 | 7 | 3 | 0 |
| 12 | 13 | 2 | 1 | 5 | 2 | 2 |
| 13 | 11 | 4 | 1 | 5 | 1 | 2 |
| 14 | 11 | 3 | 1 | 3 | 3 | 1 |
| 15 | 11 | 2 | 1 | 7 | 2 | 0 |
| 16 | 9 | 4 | 1 | 3 | 2 | 0 |
| 17 | 9 | 3 | 1 | 7 | 1 | 2 |
| 18 | 9 | 2 | 1 | 5 | 3 | 1 |
| KS of Conv-1 | S of Conv-1 | P of Conv-1 | KS of Conv-5 | S of Conv-5 | P of Conv-5 | |
|---|---|---|---|---|---|---|
| Level 1 | 13 | 4 | 2 | 7 | 3 | 2 |
| Level 2 | 11 | 3 | 1 | 5 | 2 | 1 |
| Level 3 | 9 | 2 | 3 | 1 | 0 |
| KS of Conv-1 | S of Conv-1 | P of Conv-1 | KS of Conv-5 | S of Conv-5 | P of Conv-5 | |
|---|---|---|---|---|---|---|
| 1 | 13 | 4 | 2 | 7 | 3 | 2 |
| 2 | 13 | 3 | 2 | 5 | 2 | 1 |
| 3 | 13 | 2 | 2 | 3 | 1 | 0 |
| 4 | 11 | 4 | 2 | 7 | 2 | 1 |
| 5 | 11 | 3 | 2 | 5 | 1 | 0 |
| 6 | 11 | 2 | 2 | 3 | 3 | 2 |
| 7 | 9 | 4 | 2 | 5 | 3 | 0 |
| 8 | 9 | 3 | 2 | 3 | 2 | 2 |
| 9 | 9 | 2 | 2 | 7 | 1 | 1 |
| 10 | 13 | 4 | 1 | 3 | 1 | 1 |
| 11 | 13 | 3 | 1 | 7 | 3 | 0 |
| 12 | 13 | 2 | 1 | 5 | 2 | 2 |
| 13 | 11 | 4 | 1 | 5 | 1 | 2 |
| 14 | 11 | 3 | 1 | 3 | 3 | 1 |
| 15 | 11 | 2 | 1 | 7 | 2 | 0 |
| 16 | 9 | 4 | 1 | 3 | 2 | 0 |
| 17 | 9 | 3 | 1 | 7 | 1 | 2 |
| 18 | 9 | 2 | 1 | 5 | 3 | 1 |
| NO. | Cross- Validation 1 | Cross- Validation 2 | Cross- Validation 3 | Cross- Validation 4 | Cross- Validation 5 | S/N Ratio |
|---|---|---|---|---|---|---|
| 1 | 83.69 | 89.18 | 87.41 | 89.01 | 87.23 | −1.18618 |
| 2 | 84.93 | 83.51 | 84.57 | 85.11 | 87.23 | −1.40709 |
| 3 | 87.23 | 86.88 | 86.88 | 84.93 | 85.28 | −1.28739 |
| 4 | 85.46 | 84.22 | 84.93 | 88.48 | 85.99 | −1.33231 |
| 5 | 85.99 | 87.23 | 85.11 | 83.33 | 85.99 | −1.36063 |
| 6 | 81.91 | 82.09 | 85.11 | 83.16 | 83.51 | −1.6046 |
| 7 | 83.16 | 85.64 | 84.4 | 86.17 | 87.06 | −1.38582 |
| 8 | 87.23 | 86.17 | 82.45 | 85.82 | 85.28 | −1.37656 |
| 9 | 88.83 | 84.4 | 86.17 | 84.93 | 84.93 | −1.32939 |
| 10 | 86.17 | 86.88 | 84.22 | 85.64 | 87.23 | −1.3092 |
| 11 | 87.59 | 85.11 | 85.46 | 84.22 | 82.8 | −1.41238 |
| 12 | 86.17 | 85.11 | 84.75 | 85.28 | 84.22 | −1.40154 |
| 13 | 88.3 | 85.64 | 84.93 | 85.28 | 87.59 | −1.27808 |
| 14 | 84.04 | 83.87 | 84.57 | 81.38 | 87.06 | −1.50144 |
| 15 | 87.23 | 85.64 | 85.99 | 84.4 | 82.09 | −1.41003 |
| 16 | 84.75 | 83.51 | 84.4 | 85.11 | 84.4 | −1.47017 |
| 17 | 85.64 | 89.01 | 85.99 | 87.77 | 85.28 | −1.23927 |
| 18 | 82.62 | 84.75 | 83.33 | 84.04 | 85.28 | −1.51569 |
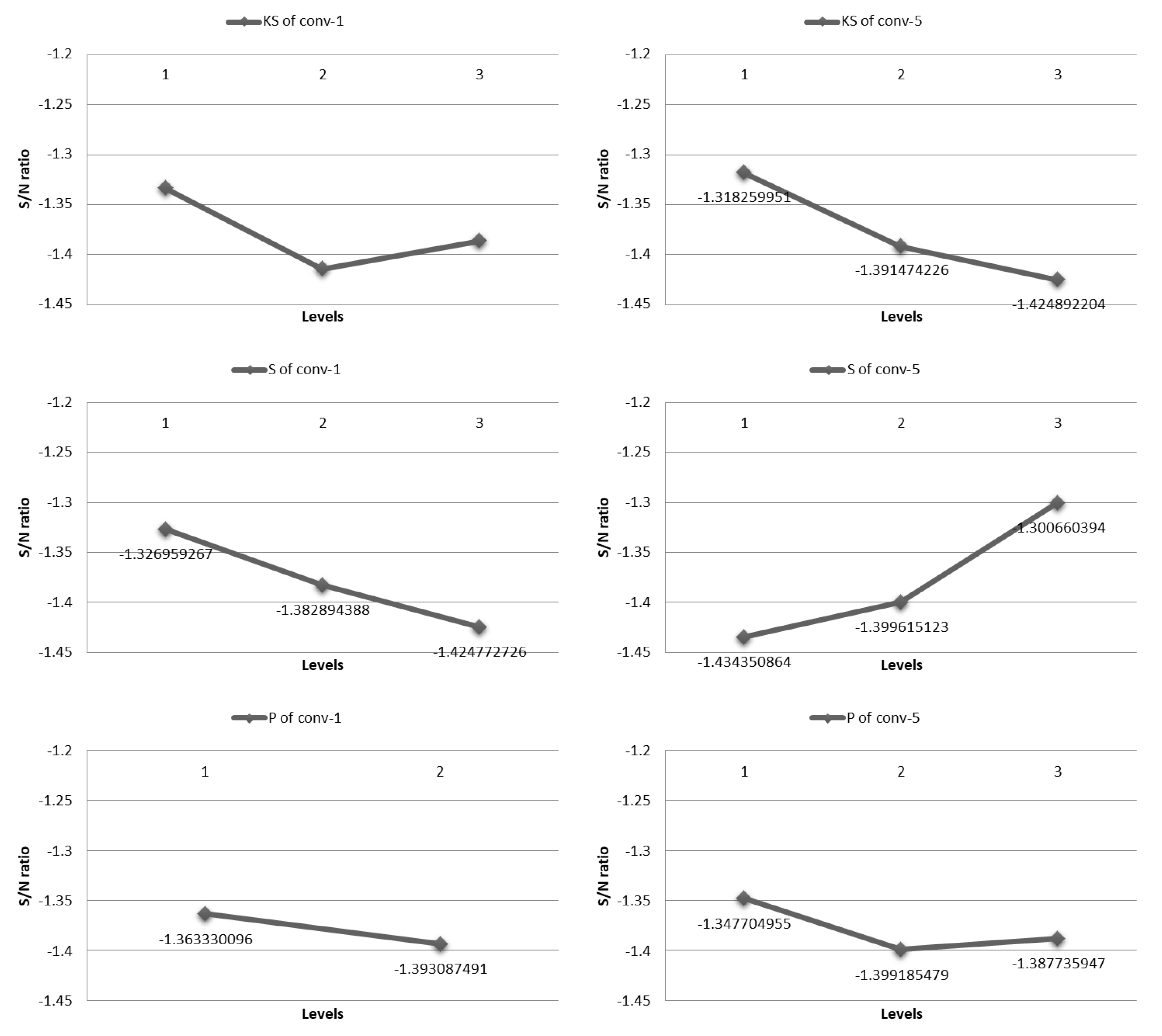
| Factors Levels | KS of Conv-1 | S of Conv-1 | P of Conv-1 | KS of Conv-5 | S of Conv-5 | P of Conv-5 |
|---|---|---|---|---|---|---|
| 1 | −1.33396 | −1.32696 | −1.36333 | −1.31826 | −1.43435 | −1.3477 |
| 2 | −1.41451 | −1.38289 | −1.39309 | −1.39147 | −1.39962 | −1.39919 |
| 3 | −1.38615 | −1.42477 | - | −1.42489 | −1.30066 | −1.38774 |
| Delta | 0.08055 | 0.097813 | 0.029757 | 0.106632 | 0.13369 | 0.051481 |
| Rank | 4 | 3 | 6 | 2 | 1 | 5 |
| Best levels | 1 | 1 | 1 | 1 | 3 | 1 |
| Best factors | 13 | 4 | 2 | 7 | 1 | 2 |
| Optimal Parameter Combination | Cross- Validation 1 | Cross- Validation 2 | Cross- Validation 3 | Cross- Validation 4 | Cross- Validation 5 | Average Accuracy |
|---|---|---|---|---|---|---|
| Original AlexNet network | 85.99 | 84.22 | 86.11 | 84.93 | 86.17 | 85.48 |
| Taguchi-based AlexNet network | 86.88 | 86.93 | 86.17 | 87.89 | 87.41 | 87.056 |
| NO. | Cross- Validation 1 | Cross- Validation 2 | Cross- Validation 3 | Cross- Validation 4 | Cross- Validation 5 | S/N Ratio |
|---|---|---|---|---|---|---|
| 1 | 97.96 | 98.1 | 97.96 | 97.99 | 98.02 | −0.17495 |
| 2 | 98.11 | 97.79 | 97.07 | 97.89 | 97.74 | −0.2005 |
| 3 | 97.79 | 97.88 | 97.82 | 97.55 | 97.68 | −0.19822 |
| 4 | 97.09 | 97.99 | 98.21 | 98.01 | 98.13 | −0.18581 |
| 5 | 97.14 | 97.68 | 97.76 | 97.49 | 97.08 | −0.22625 |
| 6 | 97.7 | 97.87 | 97.39 | 97.33 | 97.15 | −0.22107 |
| 7 | 97.32 | 98.16 | 97.62 | 97.93 | 98.26 | −0.18824 |
| 8 | 97.69 | 97.91 | 97.75 | 97.75 | 98.24 | −0.18724 |
| 9 | 97.87 | 97.91 | 98.28 | 97.94 | 98.31 | −0.17003 |
| 10 | 97.7 | 98.01 | 97.76 | 97.19 | 97.66 | −0.20541 |
| 11 | 97.92 | 97.86 | 97.76 | 97.67 | 97.49 | −0.19858 |
| 12 | 97.91 | 96.96 | 97.44 | 97.56 | 96.89 | −0.2333 |
| 13 | 97.42 | 97.83 | 98.16 | 97.61 | 97.87 | −0.19526 |
| 14 | 97.59 | 97.46 | 97.1 | 97.76 | 97.38 | −0.22372 |
| 15 | 97.9 | 97.67 | 97.74 | 97.77 | 97.09 | −0.20809 |
| 16 | 97.62 | 97.49 | 97.24 | 97.66 | 97.85 | −0.21355 |
| 17 | 97.18 | 98.22 | 98.15 | 98.39 | 98.1 | −0.17502 |
| 18 | 97.65 | 97.59 | 97.6 | 96.69 | 97.85 | −0.22227 |
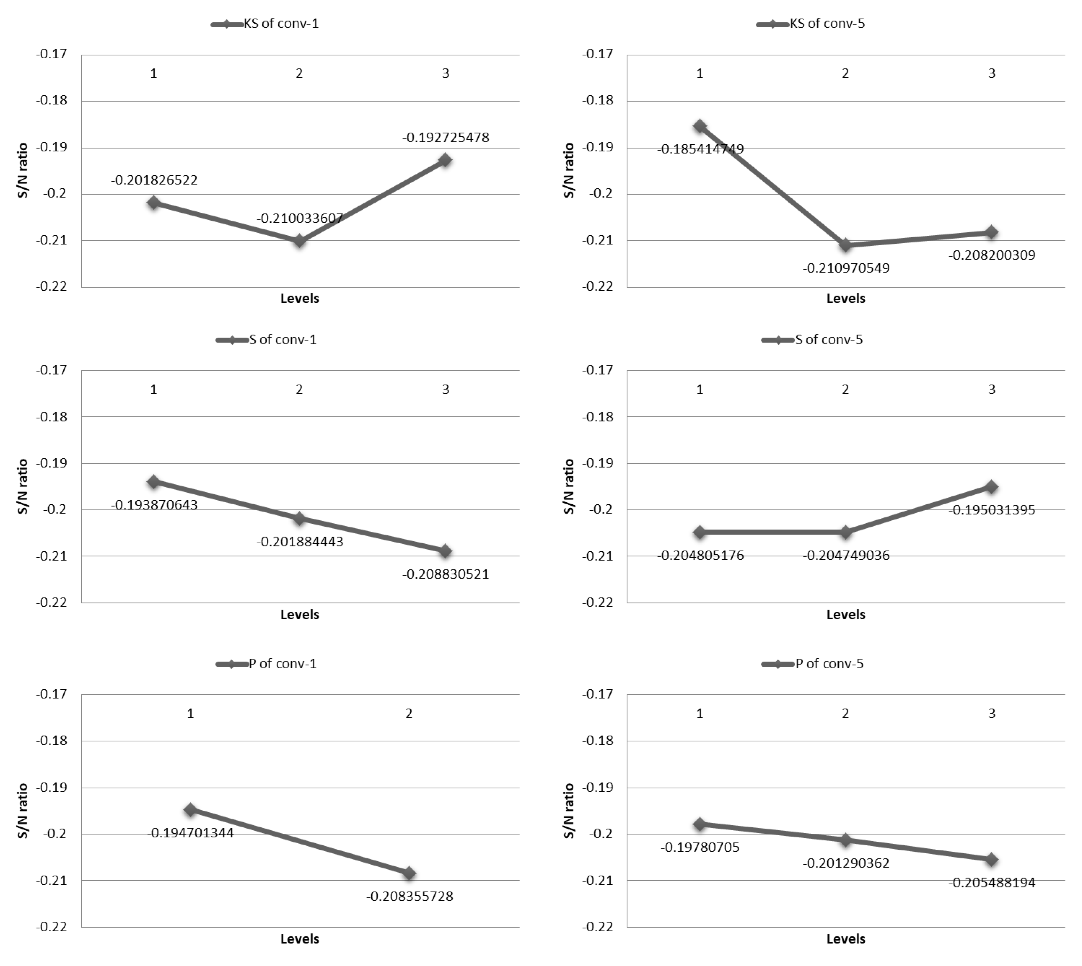
| Factors Levels | KS of Conv-1 | S of Conv-1 | P of Conv-1 | KS of Conv-5 | S of Conv-5 | P of Conv-5 |
|---|---|---|---|---|---|---|
| 1 | −0.20183 | −0.19387 | −0.1947 | −0.18541 | −0.20481 | −0.19781 |
| 2 | −0.21003 | −0.20188 | −0.20836 | −0.21097 | −0.20475 | −0.20129 |
| 3 | −0.19273 | −0.20883 | - | −0.2082 | −0.19503 | −0.20549 |
| Delta | 0.017308 | 0.01496 | 0.013654 | 0.025556 | 0.009774 | 0.007681 |
| Rank | 2 | 3 | 4 | 1 | 5 | 6 |
| Best levels | 3 | 1 | 1 | 1 | 3 | 1 |
| Best factors | 9 | 4 | 2 | 7 | 1 | 2 |
| Optimal Parameter Combination | Cross- Validation 1 | Cross- Validation 2 | Cross- Validation 3 | Cross- Validation 4 | Cross- Validation 5 | Average Accuracy |
|---|---|---|---|---|---|---|
| Original AlexNet network | 94.53 | 94.58 | 95.98 | 95.75 | 95.45 | 95.25 |
| Taguchi-based AlexNet network | 98.99 | 98.65 | 98.78 | 99.08 | 98.1 | 98.72 |
| Optimal Parameter Combination | Taguchi-Based AlexNet Network | LeNet [14] | ResNet [18] | GoogLeNet [16] | CNN–ELM + Dropout 0.5 [6] | CNN–ELM + Dropout 0.7 [6] |
|---|---|---|---|---|---|---|
| Accuracy | 98.72% | 96.30% | 98.15% | 97.48 | 87.30% | 88.20% |
| Training time | 40 min 23s | 41 min 9s | 1 h 2 min 52s | 1 h 33 min 8s | - | - |
© 2020 by the authors. Licensee MDPI, Basel, Switzerland. This article is an open access article distributed under the terms and conditions of the Creative Commons Attribution (CC BY) license (http://creativecommons.org/licenses/by/4.0/).
Share and Cite
Lin, C.-J.; Li, Y.-C.; Lin, H.-Y. Using Convolutional Neural Networks Based on a Taguchi Method for Face Gender Recognition. Electronics 2020, 9, 1227. https://doi.org/10.3390/electronics9081227
Lin C-J, Li Y-C, Lin H-Y. Using Convolutional Neural Networks Based on a Taguchi Method for Face Gender Recognition. Electronics. 2020; 9(8):1227. https://doi.org/10.3390/electronics9081227
Chicago/Turabian StyleLin, Cheng-Jian, Yu-Chi Li, and Hsueh-Yi Lin. 2020. "Using Convolutional Neural Networks Based on a Taguchi Method for Face Gender Recognition" Electronics 9, no. 8: 1227. https://doi.org/10.3390/electronics9081227
APA StyleLin, C.-J., Li, Y.-C., & Lin, H.-Y. (2020). Using Convolutional Neural Networks Based on a Taguchi Method for Face Gender Recognition. Electronics, 9(8), 1227. https://doi.org/10.3390/electronics9081227

