Congestion-Aware Geocast Routing in Vehicular Delay-Tolerant Networks
Abstract
1. Introduction
2. State of the Art
2.1. Unicast Routing
2.2. Geocast Routing
3. Geocast Strategies Comparison
4. V-GRADIENT Design
4.1. Dynamic Dropping Policy
4.2. Dynamic Replication Mechanism
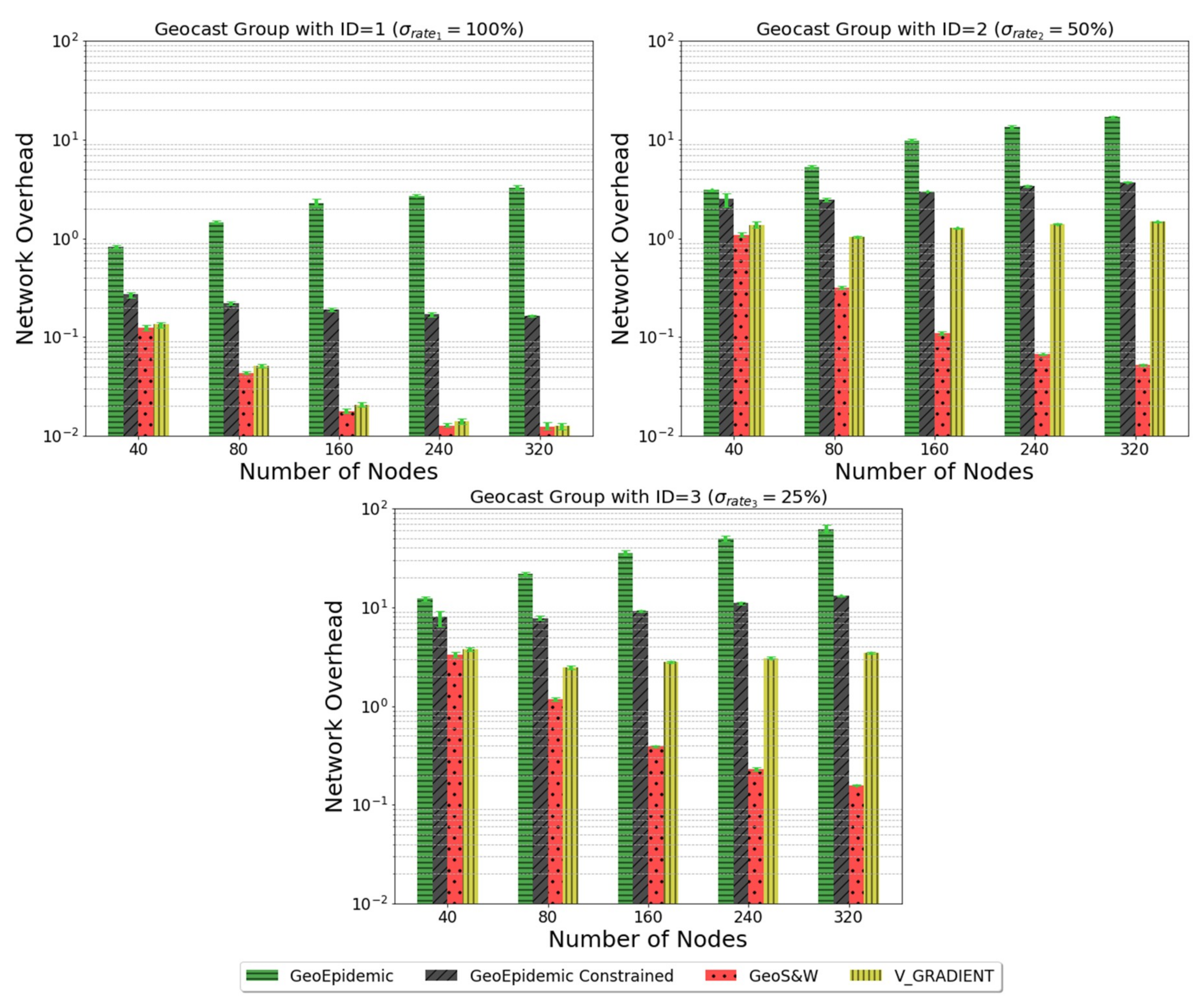
5. Performance Evaluation and Results
5.1. Delivery Rate
5.2. Delivery Latency
5.3. Protocol Overhead
6. Conclusions and Future Work
Author Contributions
Funding
Conflicts of Interest
References
- Cao, Y.; Sun, Z. Routing in delay/disruption tolerant networks: A taxonomy, survey and challenges. IEEE Commun. Surv. Tutor. 2013, 15, 654–677. [Google Scholar] [CrossRef]
- Maihöfer, C. A survey of geocast routing protocols. IEEE Commun. Surv. Tutor. 2004, 6, 32–42. [Google Scholar] [CrossRef]
- Bazzi, A.; Masini, B.M.; Zanella, A.; Ilaria Thibault, I. Beaconing from Connected Vehicles: IEEE 802.11p vs. LTE-V2V. In Proceedings of the IEEE 27th Annual International Symposium on Personal, Indoor, and Mobile Radio Communications (PIMRC) IEEE (2016), Valencia, Spain, 4–8 September 2016. [Google Scholar] [CrossRef]
- Zanella, A.; Bazzi, A.; Masini, B.M. Relay Selection Analysis for an Opportunistic Two-Hop Multi-User System in a Poisson Field of Nodes. IEEE Trans. Wirel. Commun. 2017, 16, 1281–1293. [Google Scholar] [CrossRef]
- Pereira, P.R.; Casaca, A.; Rodrigues, J.J.P.C.; Soares, V.N.G.J.; Triay, J.; Cervelló-Pastor, C. From Delay-Tolerant Networks to Vehicular Delay-Tolerant Networks. IEEE Commun. Surv. Tutor. 2012, 14, 1166–1182. [Google Scholar] [CrossRef]
- Abali, A.M.; Ithnin, N.B.; Ebibio, T.A.; Dawood, M.; Gadzama, W.A. A Survey of Geocast Routing Protocols in Opportunistic Networks. In Proceedings of the International Conference of Reliable Information and Communication Technology, Johor, Malaysia, 22–23 September 2019; Springer: Cham, Germany, 2019; pp. 683–694. [Google Scholar] [CrossRef]
- Nascimento, H.; Pereira, P.R. V-GRADIENT: A Density-Aware Geocast Routing Protocol for Vehicular Delay-Tolerant Networks. In Proceedings of the 10th Advanced Doctoral Conference on Computing, Electrical and Industrial Systems (DOCEIS’2019), Caparica, Portugal, 8–10 May 2019; IFIP Advances in Information and Communication Technology. Springer: Berlin, Germany, 2019; Volume 553, pp. 296–304. [Google Scholar] [CrossRef]
- Spyropoulos, T.; Psounis, K.; Raghavendra, C.S. Single-copy routing in intermittently connected mobile networks. In Proceedings of the First Annual IEEE Communications Society Conference on Sensor and Ad Hoc Communications and Networks (SECON), Santa Clara, CA, USA, 4–7 October 2004; pp. 235–244. [Google Scholar] [CrossRef]
- Spyropoulos, T.; Psounis, K.; Raghavendra, C.S. Spray and wait: An efficient routing scheme for intermittently connected mobile networks. In Proceedings of the ACM SIGCOMM Workshop on Delay-tolerant Networking (WDTN), New York, NY, USA, 22−26 August 2005; ACM: New York, NY, USA, 2005; pp. 252–259. [Google Scholar] [CrossRef]
- Vahdat, A.; Becker, D. Epidemic Routing for Partially-Connected Ad Hoc Networks; Tech. rep., CS-200006; Department of Computer Science, Duke University: Durham, NC, USA, 2000. [Google Scholar]
- Rajaei, A.; Chalmers, D.; Wakeman, I.; Parisis, G. GSAF: Efficient and flexible geocasting for opportunistic networks. In Proceedings of the IEEE 17th International Symposium on a World of Wireless, Mobile and Multimedia Networks (WoWMoM), Coimbra, Portugal, 21–24 June 2016; pp. 1–9. [Google Scholar] [CrossRef]
- Lu, S.; Liu, Y. Geoopp. Geocasting for opportunistic networks. In Proceedings of the IEEE Wireless Communications and Networking Conference (WCNC), Istanbul, Turkey, 6–9 April 2014; pp. 2582–2587. [Google Scholar] [CrossRef]
- Ott, J.; Hyytiä, E.; Lassila, P.E.; Vaegs, T.; Kangasharju, J. Floating content: Information sharing in urban areas. In Proceedings of the IEEE International Conference on Pervasive Computing and Communications (PerCom), Seattle, WA, USA, 21–25 March 2011; pp. 136–146. [Google Scholar] [CrossRef][Green Version]
- Keränen, A.; Ott, J.; Kärkkäinen, T. The ONE Simulator for DTN Protocol Evaluation. In Proceedings of the 2nd International Conference on Simulation Tools and Techniques ICST, Rome, Italy, 2–6 March 2009. [Google Scholar] [CrossRef]
- Rajaei, A. The G-ONE Package for the ONE Simulator. Available online: https://github.com/aydinrajaei/g-one (accessed on 7 March 2020).
- Palma, A.; Pereira, P.R.; Casaca, A. Multicast Routing Protocol for Vehicular Delay-Tolerant Networks. In Proceedings of the 5th International Workshop on Selected Topics in Wireless and Mobile Computing STWiMob’2012, 8th IEEE International Conference on Wireless and Mobile Computing, Networking and Communications (WiMob), Barcelona, Spain, 8–10 October 2012; pp. 761–768. [Google Scholar] [CrossRef]









| Map | The Downtown Part of the City of Helsinki [4500 m × 3400 m] |
|---|---|
| Simulation time | 12 h |
| Movement model | Shortest Path Map-Based Movement |
| Type of nodes | Vehicles (cars) |
| Nodes’ speed interval | 10–50 km/h |
| Nodes’ message buffer size | 5 MB |
| Nodes’ wait time | 5–30 s |
| Message size interval | 500 kB–1 MB |
| Message generation interval | 30–90 s |
| Interfaces’ data rate | 250 kbps |
| Interfaces’ transmission range | 50 m |
| Initial Number of Copy Tickets | 3 |
| Message’s TTL | 150 min |
| Number of nodes | [20;50;100;200;300;400] nodes |
| ROI Radius | [200;400;600;800;1000] m |
| R+ratio | Vector of 100 evenly spaced points between 1 and 10 |
| 50 Nodes | 100 Nodes | 200 Nodes | 400 Nodes | |
|---|---|---|---|---|
| ρavg = 0.3952 | ρavg = 0.8329 | ρavg = 1.6470 | ρavg = 3.2884 | |
| RROI = 200 m | 9.5 | 8.6 | 8.1 | 7.9 |
| RROI = 400 m | 3.4 | 3 | 2.8 | 2.5 |
| RROI = 600 m | 2 | 1.7 | 1.5 | 1.4 |
| RROI = 800 m | 1.5 | 1.2 | 1.1 | 1.1 |
| RROI = 1000 m | 1 | 1 | 1 | 1 |
| R2 score | 0.9964 | 0.9932 | 0.9827 | 0.9706 |
| Group of Nodes | Group Size | Interested in Messages with Geocast Group IDs: | ||
|---|---|---|---|---|
| ID = 1 | ID = 2 | ID = 3 | ||
| Group 1 | 25% of vehicles | ✓ | ✕ | ✕ |
| Group 2 | 50% of vehicles | ✓ | ✓ | ✕ |
| Group 3 | 25% of vehicles | ✓ | ✕ | ✓ |
| Message Event Generator Parameters | Generator 1 | Generator 2 | Generator 3 |
|---|---|---|---|
| Message size interval | 500 kB–1 MB | 500 kB–1 MB | 500 kB–1 MB |
| Message generation interval | 60–120 s | 80–140 s | 100–160 s |
| Messages’ initial TTL | 100 min | 60 min | 80 min |
| ROI radius | 600 m | 400 m | 300 m |
| Geocast group identifier | ID = 1 | ID = 2 | ID = 3 |
| Geocast group penetration rate | 100% | 50% | 25% |
© 2020 by the authors. Licensee MDPI, Basel, Switzerland. This article is an open access article distributed under the terms and conditions of the Creative Commons Attribution (CC BY) license (http://creativecommons.org/licenses/by/4.0/).
Share and Cite
Nascimento, H.; Pereira, P.R.; Magaia, N. Congestion-Aware Geocast Routing in Vehicular Delay-Tolerant Networks. Electronics 2020, 9, 477. https://doi.org/10.3390/electronics9030477
Nascimento H, Pereira PR, Magaia N. Congestion-Aware Geocast Routing in Vehicular Delay-Tolerant Networks. Electronics. 2020; 9(3):477. https://doi.org/10.3390/electronics9030477
Chicago/Turabian StyleNascimento, Henrique, Paulo Rogério Pereira, and Naercio Magaia. 2020. "Congestion-Aware Geocast Routing in Vehicular Delay-Tolerant Networks" Electronics 9, no. 3: 477. https://doi.org/10.3390/electronics9030477
APA StyleNascimento, H., Pereira, P. R., & Magaia, N. (2020). Congestion-Aware Geocast Routing in Vehicular Delay-Tolerant Networks. Electronics, 9(3), 477. https://doi.org/10.3390/electronics9030477

