Stackelberg Game-Theoretic Low Probability of Intercept Performance Optimization for Multistatic Radar System
Abstract
1. Introduction
- (1)
- The problem of Stackelberg game-theoretic LPI performance optimization strategy for multistatic radar system is investigated. Mathematically, the LPI optimization strategy can be formulated as a problem of minimizing the radiated power of each radar for a specified target detection performance. In earlier literature, although both non-cooperative game [19] and cooperative game [20] have been utilized to control the transmit power of multistatic radar system, as aforementioned, the hostile intercept receiver is not considered in such a scenario. Therefore, we take the hierarchical interactions between intercept receiver and multiple radars into consideration and formulate the LPI performance optimization between them as a single-leader multiple-follower Stackelberg game. In the underlying game model, the hostile intercept receiver plays a role of leader, who decides the prices of unit power resource first through the maximization of its own utility. The multiple radars are followers to compete with each other in a non-cooperative game according to the imposed prices from the interceptor subsequently.
- (2)
- We incorporate the total received power at intercept receiver, the unit power prices, the specified SINR requirement, and the transmit power of each radar to define the novel utility functions for the single leader and multiple followers. Then, we analyze the followers’ non-cooperative game model with the released prices from the leader, and the Nash equilibrium (NE) solution for the considered game model is derived. Additionally, the existence and uniqueness of the NE solution are strictly proved.
- (3)
- A pricing-based distributed iterative power control method is presented to solve the resulting optimization problem, which guarantees the convergence to the Stackelberg equilibrium (SE) points.
- (4)
- Some numerical examples are provided to confirm the convergence of the approach to the unique SE solution and verify the effectiveness of our proposed strategy in terms of LPI performance enhancement.
2. System Model and Assumptions
3. Problem Formulation
3.1. Stackelberg Game Formulation
3.1.1. Leader-Level Game
3.1.2. Follower-Level Game
3.2. Analysis of the Proposed Stackelberg Game
- (i)
- is a non-null, convex and tight subset in a finite Euclidean space;
- (ii)
- is continuous and quasi-concave with .
- (i)
- Positivity: For , ;
- (ii)
- Monotonicity: If , then ;
- (iii)
- Scalability: For , .
3.3. Distributed Approach for Calculating Stackelberg Equilibrium
| Algorithm 1: Pricing-Based Distributed Iterative Power Control Approach |
![]() |
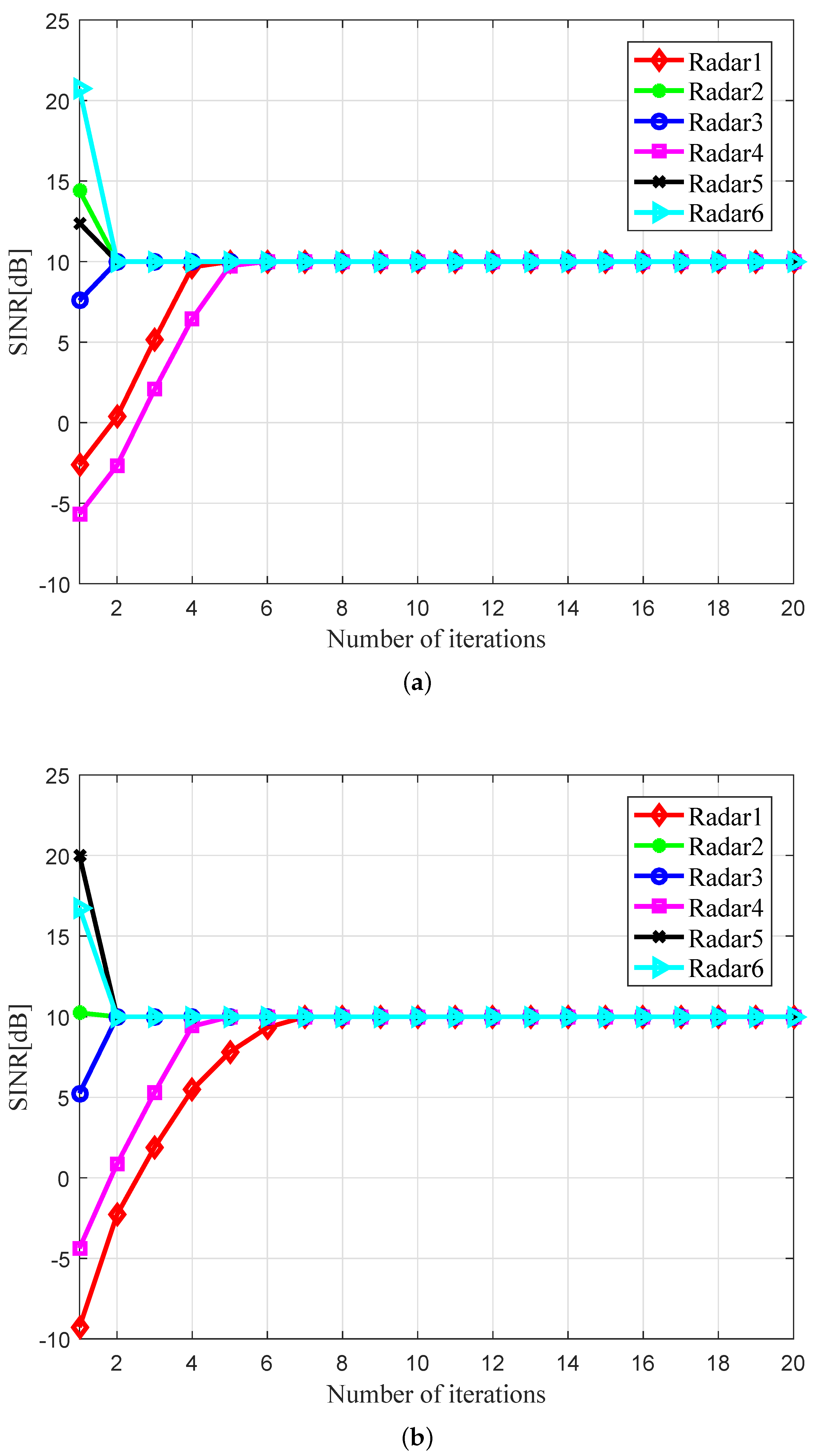
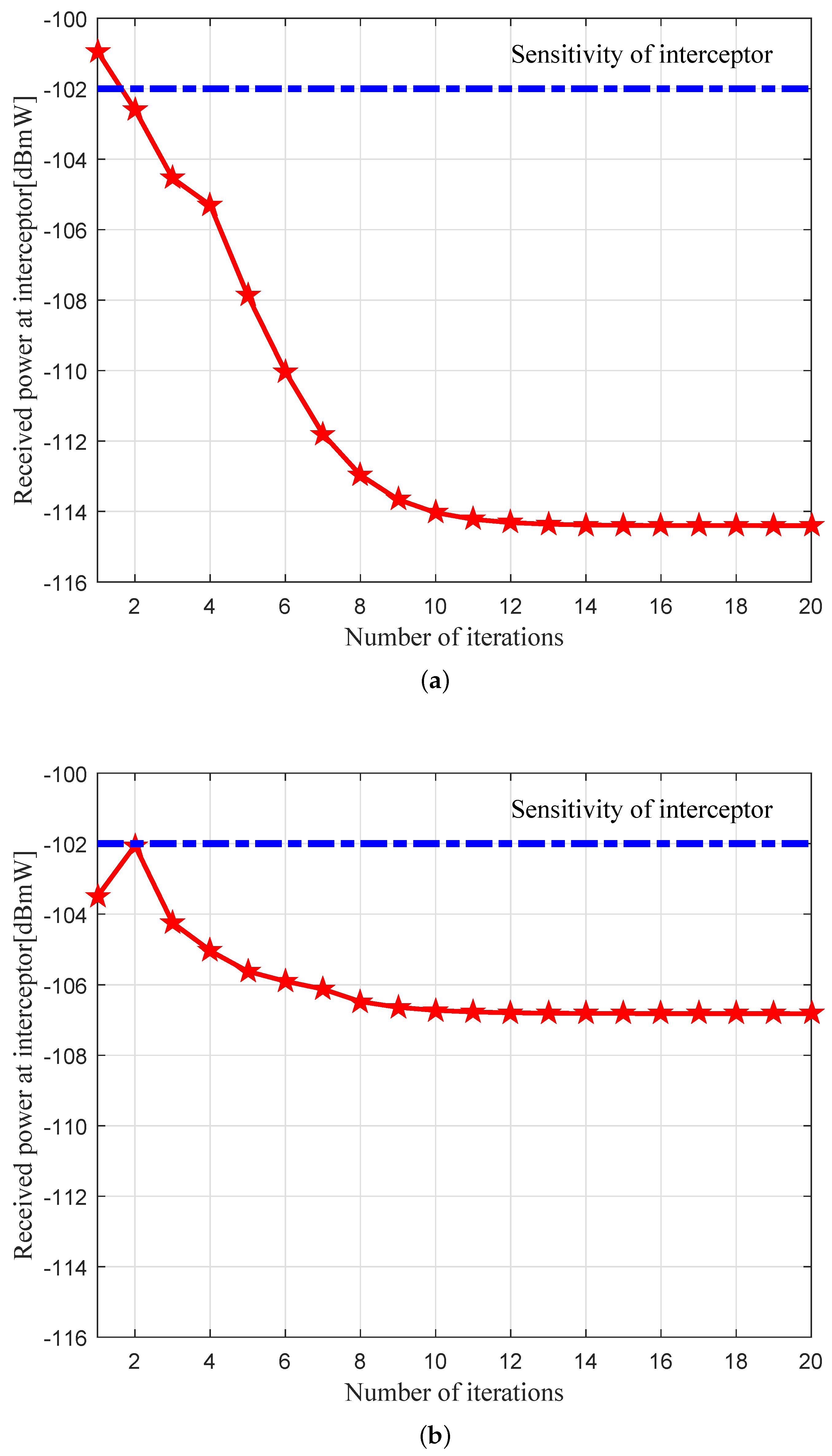
4. Numerical Examples and Performance Evaluation
5. Conclusions
Author Contributions
Funding
Acknowledgments
Conflicts of Interest
References
- Pace, P.E.; Tan, C.K.; Ong, C.K. Microwave-photonics direction finding system for interception of low probability of intercept radio frequency signals. Opt. Eng. 2018, 57, 1–8. [Google Scholar] [CrossRef]
- Zhang, Z.K.; Tian, Y.B. A novel resource scheduling method of netted radars based on Markov decision process during target tracking in clutter. EURASIP J. Adv. Signal Process. 2016, 16, 1–9. [Google Scholar] [CrossRef]
- Zhang, Z.K.; Salous, S.; Li, H.L.; Tian, Y.B. Optimal coordination method of opportunistic array radars for multi-target-tracking-based radio frequency stealth in clutter. Radio Sci. 2015, 50, 1187–1196. [Google Scholar] [CrossRef]
- Shi, C.G.; Wang, F.; Salous, S.; Zhou, J.J. Joint transmitter selection and resource management strategy based on low probability of intercept optimization for distributed radar networks. Radio Sci. 2018, 53, 1108–1134. [Google Scholar] [CrossRef]
- Wang, X.L.; Yi, W.; Xie, M.C.; Kong, L.J. A joint beam and dwell time allocation strategy for multiple target tracking based on phase array radar system. In Proceedings of the 20th International Conference on Information Fusion (Fusion), Xi’an, China, 10–13 July 2017; pp. 1–5. [Google Scholar]
- Wang, X.L.; Yi, W.; Xie, M.C.; Zhai, B.W.; Kong, L.J. Time management for target tracking based on the predicted Bayesian Cramer-Rao lower bound in phase array radar system. In Proceedings of the 20th International Conference on Information Fusion (Fusion), Xi’an, China, 10–13 July 2017; pp. 1–5. [Google Scholar]
- Cheng, T.; Zou, D.Q.; He, Z.S. Adaptive waveform and sampling interval tracking based on estimation accuracy for Doppler radar. In Proceedings of the 2013 IET International Radar Conference, Xi’an, China, 14–16 April 2013; pp. 1–4. [Google Scholar]
- Lawrence, D.E. Low probability of intercept antenna array beamforming. IEEE Trans. Antennas Propag. 2010, 58, 2858–2865. [Google Scholar] [CrossRef]
- Zhou, C.W.; Gu, Y.J.; He, S.B.; Shi, Z.G. A robust and efficient algorithm for coprime array adaptive beamforming. IEEE Trans. Veh. Technol. 2018, 67, 1099–1112. [Google Scholar] [CrossRef]
- Xiong, J.; Wang, W.Q.; Cui, C.; Gao, K.D. Cognitive FDA-MIMO radar for LPI transmit beamforming. IET Radar Sonar Navig. 2017, 11, 1574–1580. [Google Scholar] [CrossRef]
- Shi, C.G.; Wang, F.; Sellathurai, M.; Zhou, J.J.; Salous, S. Power minimization-based robust OFDM radar waveform design for radar and communication systems in coexistence. IEEE Trans. Signal Process. 2018, 66, 1316–1330. [Google Scholar] [CrossRef]
- Fang, H.; Xu, L.; Wang, X.B. Coordinated multiple-relays based physical-layer security improvement: A single-leader multiple-followers Stackelberg game scheme. IEEE Trans. Inf. Forensics Secur. 2018, 13, 197–209. [Google Scholar] [CrossRef]
- Du, Z.Y.; Wu, Q.H.; Jiang, B.; Xu, Y.H.; Qin, Z.Q. Interference-aware spectrum access self-organization: A weighted graph game perspective. IEEE Syst. J. 2018, 12, 3250–3259. [Google Scholar] [CrossRef]
- Zhang, Y.L.; Xu, Y.H.; Wu, Q.H. Group buying based on social aware in D2D networks: A game theoretic approach. In Proceedings of the IEEE/CIC International Conference on Communications in China (ICCC), Qingdao, China, 22–24 October 2017; pp. 1–6. [Google Scholar]
- Sun, B.; Chen, H.W.; Wei, X.Z.; Wang, H.Q.; Li, X. Power allocation for range-only localisation in distributed multiple-input multiple-output radar networks-a cooperative game approach. IET Radar Sonar Navig. 2014, 8, 708–718. [Google Scholar] [CrossRef]
- Song, X.F.; Willett, P.; Zhou, S.L.; Luh, P.B. The MIMO radar and jammer games. IEEE Trans. Signal Process. 2012, 60, 687–699. [Google Scholar] [CrossRef]
- Piezzo, M.; Aubry, A.; Buzzi, S.; Maio, A.D.; Farina, A. Non-cooperative code design in radar networks: A game-theoretic approach. EURASIP J. Adv. Signal Process. 2013, 2013, 63. [Google Scholar] [CrossRef]
- Deligiannis, A.; Panoui, A.; Lambotharan, S.; Chambers, J.A. Game-theoretic power allocation and the Nash equilibrium analysis for a multistatic MIMO radar network. IEEE Trans. Signal Process. 2017, 65, 6397–6408. [Google Scholar] [CrossRef]
- Shi, C.G.; Wang, F.; Sellathurai, M.; Zhou, J.J. Non-cooperative game theoretic power allocation strategy for distributed multiple-radar architecture in a spectrum sharing environment. IEEE Access 2018, 6, 17787–17800. [Google Scholar] [CrossRef]
- Shi, C.G.; Wang, F.; Salous, S.; Zhou, J.J.; Hu, Z.T. Nash bargaining game-theoretic framework for power control in distributed multiple-radar architecture underlying wireless communication system. Entropy 2018, 20, 267. [Google Scholar] [CrossRef]
- Kang, X.; Zhang, R.; Motani, M. Price-based resource allocation for spectrum-sharing femtocell networks: A Stackelberg game approach. IEEE J. Sel. Areas Commun. 2012, 30, 538–549. [Google Scholar] [CrossRef]
- Wang, W.B.; Hoang, D.T.; Niyato, D.; Wang, P.; Kim, D.I. Stackelberg game for distributed time scheduling in RF-powered backscatter cognitive radio networks. IEEE Trans. Wirel. Commun. 2018, 17, 5606–5622. [Google Scholar] [CrossRef]
- Yin, R.; Zhong, C.J.; Yu, G.D.; Zhang, Z.Y.; Wong, K.K.; Chen, X.M. Joint spectrum and power allocation for D2D communications underlying cellular networks. IEEE Trans. Veh. Technol. 2016, 65, 2182–2195. [Google Scholar] [CrossRef]
- Yuan, Y.L.; Liang, C.C.; Kaneko, M.; Chen, X.; Hogrefe, D. Topology control for energy-efficient localization in mobile underwater sensor networks using Stackelberg game. IEEE Trans. Veh. Technol. 2019, 68, 1487–1500. [Google Scholar] [CrossRef]
- Lan, X.; Li, W.; Wang, X.L.; Yan, J.B.; Jiang, M.R. MIMO radar and target Stackelberg game in the presence of clutter. IEEE Sens. J. 2015, 15, 6912–6920. [Google Scholar] [CrossRef]
- Shi, C.G.; Wang, F.; Sellathurai, M.; Zhou, J.J. Non-cooperative game-theoretic distributed power control technique for radar network based on low probability of intercept. IET Signal Process. 2018, 12, 983–991. [Google Scholar] [CrossRef]











| Parameter | Value | Parameter | Value |
|---|---|---|---|
© 2019 by the authors. Licensee MDPI, Basel, Switzerland. This article is an open access article distributed under the terms and conditions of the Creative Commons Attribution (CC BY) license (http://creativecommons.org/licenses/by/4.0/).
Share and Cite
Shi, C.; Qiu, W.; Wang, F.; Salous, S.; Zhou, J. Stackelberg Game-Theoretic Low Probability of Intercept Performance Optimization for Multistatic Radar System. Electronics 2019, 8, 397. https://doi.org/10.3390/electronics8040397
Shi C, Qiu W, Wang F, Salous S, Zhou J. Stackelberg Game-Theoretic Low Probability of Intercept Performance Optimization for Multistatic Radar System. Electronics. 2019; 8(4):397. https://doi.org/10.3390/electronics8040397
Chicago/Turabian StyleShi, Chenguang, Wei Qiu, Fei Wang, Sana Salous, and Jianjiang Zhou. 2019. "Stackelberg Game-Theoretic Low Probability of Intercept Performance Optimization for Multistatic Radar System" Electronics 8, no. 4: 397. https://doi.org/10.3390/electronics8040397
APA StyleShi, C., Qiu, W., Wang, F., Salous, S., & Zhou, J. (2019). Stackelberg Game-Theoretic Low Probability of Intercept Performance Optimization for Multistatic Radar System. Electronics, 8(4), 397. https://doi.org/10.3390/electronics8040397


