FAFedZO: Faster Zero-Order Adaptive Federated Learning Algorithm
Abstract
1. Introduction
- By combining the zero-order optimization and adaptive gradient method, we proposed a novel faster zero-order adaptive federated learning algorithm, called FAFedZO, which can eliminate the reliance on gradient information and accelerate convergence at the same time.
- We conducted a theoretical analysis of the proposed zero-order adaptive algorithm and provided a convergence analysis framework under some mild assumptions, demonstrating its convergence. Additionally, we have analyzed the computational complexity and convergence rate of the algorithm.
- We have conducted a large number of comparative experiments on the MNIST, CIFAR-10, and Fashion-MNIST datasets. The experimental results verify the effectiveness of the FAFedZO algorithm. Compared with traditional zero-order optimization algorithms, this algorithm demonstrates significant performance advantages in both IID and non-IID scenarios.
2. Related Work
2.1. Federated Learning
2.2. Zero-Order Optimization
2.3. Adaptive Methods
3. Problem Formulation and Algorithm Design
3.1. Federated Optimization Problem Formulation
3.2. Algorithm Design of FAFedZO
| Algorithm 1: FAFedZO Algorithm |
|
4. Convergence Analysis of FAFedZO Method
5. Experimental Results
5.1. Experimental Environment and Datasets
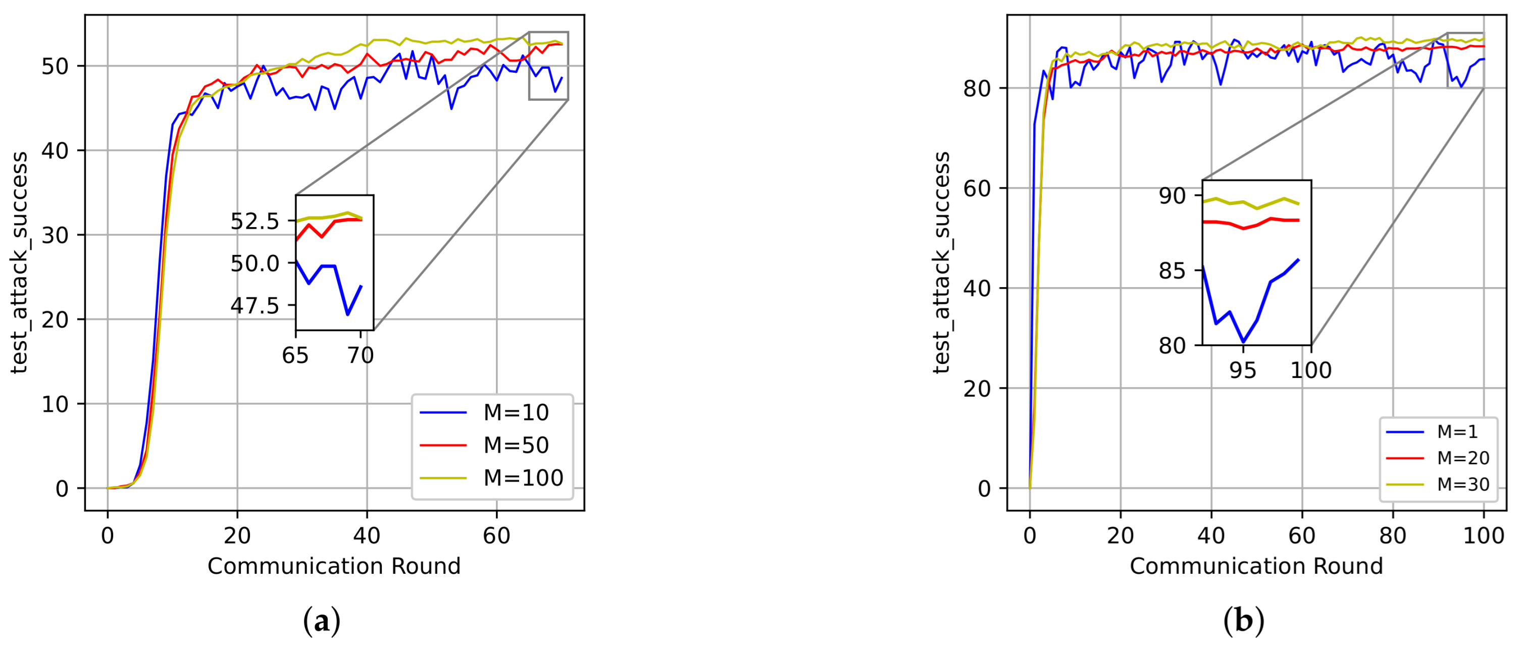
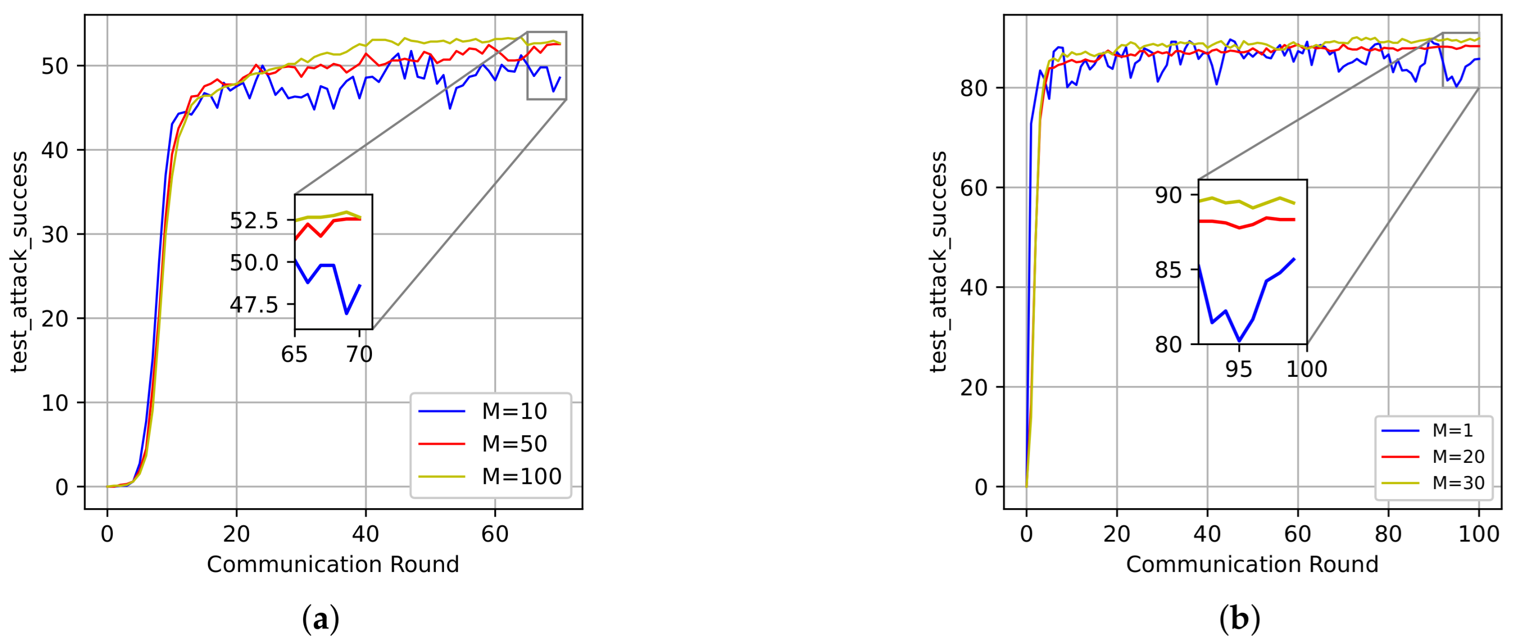
5.2. Experimental Result Analysis
6. Conclusions
Author Contributions
Funding
Data Availability Statement
Conflicts of Interest
Appendix A
References
- McMahan, B.; Moore, E.; Ramage, D.; Hampson, S.; y Arcas, B.A. Communication-efficient learning of deep networks from decentralized data. In Proceedings of the Artificial Intelligence and Statistics, Fort Lauderdale, FL, USA, 20–22 April 2017; pp. 1273–1282. [Google Scholar]
- Shi, Y.; Yang, K.; Yang, Z.; Zhou, Y. Mobile Edge Artificial Intelligence: Opportunities and Challenges; Elsevier: Amsterdam, The Netherlands, 2021. [Google Scholar]
- Yang, L.; Tan, B.; Zheng, V.W.; Chen, K.; Yang, Q. Federated recommendation systems. In Federated Learning: Privacy and Incentive; Springer International Publishing: Cham, Switzerland, 2020; pp. 225–239. [Google Scholar]
- Yang, K.; Shi, Y.; Zhou, Y.; Yang, Z.; Fu, L.; Chen, W. Federated machine learning for intelligent IoT via reconfigurable intelligent surface. IEEE Netw. 2020, 34, 16–22. [Google Scholar]
- Tian, J.; Smith, J.S.; Kira, Z. Fedfor: Stateless heterogeneous federated learning with first-order regularization. arXiv 2022, arXiv:2209.10537. [Google Scholar]
- Zhang, M.; Sapra, K.; Fidler, S.; Yeung, S.; Alvarez, J.M. Personalized federated learning with first order model optimization. arXiv 2021, arXiv:2012.08565. [Google Scholar]
- Elbakary, A.; Issaid, C.B.; Shehab, M.; Seddik, K.G.; ElBatt, T.A.; Bennis, M. Fed-Sophia: A Communication-Efficient Second-Order Federated Learning Algorithm. arXiv 2024, arXiv:2406.06655. [Google Scholar]
- Dai, Z.; Low, B.K.H.; Jaillet, P. Federated Bayesian optimization via Thompson sampling. Adv. Neural Inf. Process. Syst. 2020, 33, 9687–9699. [Google Scholar]
- Staib, M.; Reddi, S.; Kale, S.; Kumar, S.; Sra, S. Escaping saddle points with adaptive gradient methods. In Proceedings of the International Conference on Machine Learning, Long Beach, CA, USA, 10–15 June 2019; pp. 5956–5965. [Google Scholar]
- Chen, X.; Li, X.; Li, P. Toward communication efficient adaptive gradient method. In Proceedings of the 2020 ACM-IMS on Foundations of Data Science Conference, San Francisco, CA, USA, 18–20 October 2020; pp. 119–128. [Google Scholar]
- Reddi, S.; Charles, Z.; Zaheer, M.; Garrett, Z.; Rush, K.; Konečnỳ, J.; Kumar, S.; McMahan, H.B. Adaptive federated optimization. arXiv 2020, arXiv:2003.00295. [Google Scholar]
- Wang, Y.; Lin, L.; Chen, J. Communication-efficient adaptive federated learning. In Proceedings of the International Conference on Machine Learning, Baltimore, MD, USA, 17–23 July 2022; pp. 22802–22838. [Google Scholar]
- Zhang, P.; Yang, X.; Chen, Z. Neural network gain scheduling design for large envelope curve flight control law. J. Beijing Univ. Aeronaut. Astronaut. 2005, 31, 604–608. [Google Scholar]
- Wang, J.; Liu, Q.; Liang, H.; Joshi, G.; Poor, H.V. A novel framework for the analysis and design of heterogeneous federated learning. IEEE Trans. Signal Process. 2021, 69, 5234–5249. [Google Scholar]
- Li, T.; Sahu, A.K.; Zaheer, M.; Sanjabi, M.; Talwalkar, A.; Smith, V. Federated optimization in heterogeneous networks. Proc. Mach. Learn. Syst. 2020, 2, 429–450. [Google Scholar]
- Karimireddy, S.P.; Kale, S.; Mohri, M.; Reddi, S.; Stich, S.; Suresh, A.T. Scaffold: Stochastic controlled averaging for federated learning. In Proceedings of the International Conference on Machine Learning, Virtual, 13–18 July 2020; pp. 5132–5143. [Google Scholar]
- Pathak, R.; Wainwright, M.J. FedSplit: An algorithmic framework for fast federated optimization. Adv. Neural Inf. Process. Syst. 2020, 33, 7057–7066. [Google Scholar]
- Zhang, X.; Hong, M.; Dhople, S.; Yin, W.; Liu, Y. Fedpd: A federated learning framework with adaptivity to non-IID data. IEEE Trans. Signal Process. 2021, 69, 6055–6070. [Google Scholar]
- Wang, S.; Roosta, F.; Xu, P.; Mahoney, M.W. Giant: Globally improved approximate newton method for distributed optimization. Adv. Neural Inf. Process. Syst. 2018, 31, 2332–2342. [Google Scholar]
- Li, T.; Sahu, A.K.; Zaheer, M.; Sanjabi, M.; Talwalkar, A.; Smithy, V. Feddane: A federated newton-type method. In Proceedings of the 2019 53rd Asilomar Conference on Signals, Systems, and Computers , Pacific Grove, CA, USA, 3–6 November 2019; pp. 1227–1231. [Google Scholar]
- Xu, A.; Huang, H. Coordinating momenta for cross-silo federated learning. In Proceedings of the AAAI Conference on Artificial Intelligence, Online, 22 February–1 March 2022; Volume 36, pp. 8735–8743. [Google Scholar]
- Das, R.; Acharya, A.; Hashemi, A.; Sanghavi, S.; Dhillon, I.S.; Topcu, U. Faster non-convex federated learning via global and local momentum. In Proceedings of the Uncertainty in Artificial Intelligence, Eindhoven, The Netherlands, 1–5 August 2022; pp. 496–506. [Google Scholar]
- Khanduri, P.; Sharma, P.; Yang, H.; Hong, M.; Liu, J.; Rajawat, K.; Varshney, P. Stem: A stochastic two-sided momentum algorithm achieving near-optimal sample and communication complexities for federated learning. Adv. Neural Inf. Process. Syst. 2021, 34, 6050–6061. [Google Scholar]
- Tang, Y.; Zhang, J.; Li, N. Distributed zero-order algorithms for nonconvex multiagent optimization. IEEE Trans. Control Netw. Syst. 2020, 8, 269–281. [Google Scholar]
- Nikolakakis, K.; Haddadpour, F.; Kalogerias, D.; Karbasi, A. Black-box generalization: Stability of zeroth-order learning. Adv. Neural Inf. Process. Syst. 2022, 35, 31525–31541. [Google Scholar]
- Balasubramanian, K.; Ghadimi, S. Zeroth-order (non)-convex stochastic optimization via conditional gradient and gradient updates. Adv. Neural Inf. Process. Syst. 2018, 31, 3459–3468. [Google Scholar]
- Fang, W.; Yu, Z.; Jiang, Y.; Shi, Y.; Jones, C.N.; Zhou, Y. Communication-efficient stochastic zeroth-order optimization for federated learning. IEEE Trans. Signal Process. 2022, 70, 5058–5073. [Google Scholar]
- Li, Z.; Ying, B.; Liu, Z.; Yang, H. Achieving Dimension-Free Communication in Federated Learning via Zeroth-Order Optimization. arXiv 2024, arXiv:2405.15861. [Google Scholar]
- Maritan, A.; Dey, S.; Schenato, L. FedZeN: Quadratic convergence in zeroth-order federated learning via incremental Hessian estimation. In Proceedings of the 2024 European Control Conference, Stockholm, Sweden, 25–28 June 2024; pp. 2320–2327. [Google Scholar]
- Mhanna, E.; Assaad, M. Rendering wireless environments useful for gradient estimators: A zero-order stochastic federated learning method. In Proceedings of the 2024 60th Annual Allerton Conference on Communication, Control, and Computing, Urbana, IL, USA, 24–27 September 2024; IEEE: New York, NY, USA, 2024; pp. 1–8. [Google Scholar]
- Diederik, P.K. Adam: A method for stochastic optimization. arXiv 2014, arXiv:1412.6980. [Google Scholar]
- Duchi, J.; Hazan, E.; Singer, Y. Adaptive subgradient methods for online learning and stochastic optimization. J. Mach. Learn. Res. 2011, 12, 2121–2159. [Google Scholar]
- Ling, X.; Fu, J.; Wang, K.; Liu, H.; Chen, Z. Ali-dpfl: Differentially private federated learning with adaptive local iterations. In Proceedings of the 2024 IEEE 25th International Symposium on a World of Wireless, Mobile and Multimedia Networks, Perth, Australia, 4–7 June 2024; pp. 349–358. [Google Scholar]
- Cong, Y.; Qiu, J.; Zhang, K.; Fang, Z.; Gao, C.; Su, S.; Tian, Z. Ada-FFL: Adaptive computing fairness federated learning. CAAI Trans. Intell. Technol. 2024, 9, 573–584. [Google Scholar]
- Huang, Y.; Zhu, S.; Chen, W.; Huang, Z. FedAFR: Enhancing Federated Learning with adaptive feature reconstruction. Comput. Commun. 2024, 214, 215–222. [Google Scholar]
- Li, Y.; He, Z.; Gu, X.; Xu, H.; Ren, S. AFedAvg: Communication-efficient federated learning aggregation with adaptive communication frequency and gradient sparse. J. Exp. Theor. Artif. Intell. 2024, 36, 47–69. [Google Scholar]
- Yi, X.; Zhang, S.; Yang, T.; Johansson, K.H. Zeroth-order algorithms for stochastic distributed nonconvex optimization. Automatica 2022, 142, 110353. [Google Scholar]
- Wu, X.; Huang, F.; Hu, Z.; Huang, H. Faster adaptive federated learning. In Proceedings of the AAAI Conference on Artificial Intelligence, Vancouver, BC, Canada, 20–27 February 2023; Volume 37, pp. 10379–10387. [Google Scholar]
- Gao, X.; Jiang, B.; Zhang, S. On the information-adaptive variants of the ADMM: An iteration complexity perspective. J. Sci. Comput. 2018, 76, 327–363. [Google Scholar]









Disclaimer/Publisher’s Note: The statements, opinions and data contained in all publications are solely those of the individual author(s) and contributor(s) and not of MDPI and/or the editor(s). MDPI and/or the editor(s) disclaim responsibility for any injury to people or property resulting from any ideas, methods, instructions or products referred to in the content. |
© 2025 by the authors. Licensee MDPI, Basel, Switzerland. This article is an open access article distributed under the terms and conditions of the Creative Commons Attribution (CC BY) license (https://creativecommons.org/licenses/by/4.0/).
Share and Cite
Lu, Y.; Gao, H.; Zhang, Y.; Xu, Y. FAFedZO: Faster Zero-Order Adaptive Federated Learning Algorithm. Electronics 2025, 14, 1452. https://doi.org/10.3390/electronics14071452
Lu Y, Gao H, Zhang Y, Xu Y. FAFedZO: Faster Zero-Order Adaptive Federated Learning Algorithm. Electronics. 2025; 14(7):1452. https://doi.org/10.3390/electronics14071452
Chicago/Turabian StyleLu, Yanbo, Huimin Gao, Yi Zhang, and Yong Xu. 2025. "FAFedZO: Faster Zero-Order Adaptive Federated Learning Algorithm" Electronics 14, no. 7: 1452. https://doi.org/10.3390/electronics14071452
APA StyleLu, Y., Gao, H., Zhang, Y., & Xu, Y. (2025). FAFedZO: Faster Zero-Order Adaptive Federated Learning Algorithm. Electronics, 14(7), 1452. https://doi.org/10.3390/electronics14071452

