Evaluation of a 1200 V Polarization Super Junction GaN Field-Effect Transistor in Cascode Configuration
Abstract
1. Introduction
2. Principle of Operation
3. Experimental Methodology
4. Experimental Results and Discussion
4.1. Static Characteristics
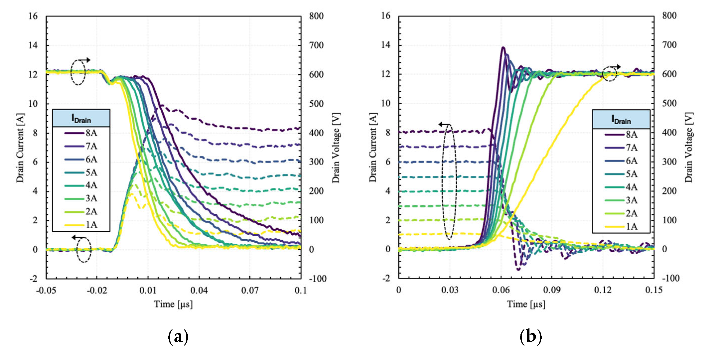
4.2. Dynamic Switching Characteristics
4.2.1. Switching Characteristics
4.2.2. dV/dt Controllability
4.3. Power Loss Analysis
4.4. UIS Capability
5. Conclusions
Author Contributions
Funding
Data Availability Statement
Conflicts of Interest
References
- Kawai, H.; Yagi, S.; Hirata, S.; Nakamura, F.; Saito, T.; Kamiyama, Y.; Yamamoto, M.; Amano, H.; Unni, V.; Narayanan, E.M.S. Low cost high voltage GaN polarization superjunction field effect transistors. Phys. Status Solidi (a) 2017, 214, 1600834. [Google Scholar] [CrossRef]
- Sheikhan, A.; Narayanan, E.M.S.; Kawai, H.; Yagi, S.; Narui, H. Evaluation of a 3 kV Polarization Superjunction GaN HEMT. In Proceedings of the PCIM Europe, Nuremberg, Germany, 11–13 June 2024. [Google Scholar]
- Nakajima, A.; Sumida, Y.; Dhyani, M.H.; Kawai, H.; Narayanan, E.M.S. GaN-Based Super Heterojunction Field Effect Transistors Using the Polarization Junction Concept. IEEE Electron Device Lett. 2011, 32, 542–544. [Google Scholar] [CrossRef]
- Sheikhan, A.; Narayanan, E.M.S.; Kawai, H.; Yagi, S.; Narui, H. Evaluation of turn-off dV/dt controllability and switching characteristics of 1.2 kV GaN polarisation superjunction HFETs. Jpn. J. Appl. Phys. 2023, 62, 014501. [Google Scholar] [CrossRef]
- Sheikhan, A.; Narayanankutty, G.; Narayanan, E.M.S.; Kawai, H.; Yagi, S.; Narui, H. Analysis of 1.2 kV GaN polarisation superjunction diode surge current capability. Jpn. J. Appl. Phys. 2023, 62, 064502. [Google Scholar] [CrossRef]
- Nakajima, A.; Adachi, K.; Shimizu, M.; Okumura, H. Improvement of unipolar power device performance using a polarization junction. Appl. Phys. Lett. 2006, 89, 193501. [Google Scholar] [CrossRef]
- Nakajima, A.; Sumida, Y.; Dhyani, M.H.; Kawai, H.; Narayanan, E.M.S. High Density Two-Dimensional Hole Gas Induced by Negative Polarization at GaN/AlGaN Heterointerface. Appl. Phys. Express 2010, 3, 121004. [Google Scholar] [CrossRef]
- Saito, W.; Takada, Y.; Kuraguchi, M.; Tsuda, K.; Omura, I.; Ogura, T.; Ohashi, H. High breakdown voltage AlGaN-GaN power-HEMT design and high current density switching behavior. IEEE Trans. Electron Devices 2003, 50, 2528–2531. [Google Scholar] [CrossRef]
- Uemoto, Y.; Hikita, M.; Ueno, H.; Matsuo, H.; Ishida, H.; Yanagihara, M.; Ueda, T.; Tanaka, T.; Ueda, D. Gate Injection Transistor (GIT)—A Normally-Off AlGaN/GaN Power Transistor Using Conductivity Modulation. IEEE Trans. Electron Devices 2007, 54, 3393–3399. [Google Scholar] [CrossRef]
- Ikeda, N.; Li, J.; Kato, S.; Masuda, M.; Yoshida, S. A Novel GaN Device with Thin AlGaN/GaN Heterostructure for High-power Applications. Furukawa Rev. 2006, 29, 1–6. [Google Scholar]
- Kambayashi, H.; Satoh, Y.; Niiyama, Y.; Kokawa, T.; Iwami, M.; Nomura, T.; Chow, P.T. Enhancement-mode GaN hybrid MOS-HFETs on Si substrates with Over 70 A operation. In Proceedings of the 21st International Symposium on Power Semiconductor Devices & ICs (ISPSD), Barcelona, Spain, 14–18 June 2009. [Google Scholar]
- Zhang, W.; Huang, X.; Lee, F.C.; Li, Q. Gate drive design considerations for high voltage cascode GaN HEMT. In Proceedings of the IEEE Applied Power Electronics Conference and Exposition (APEC), Fort Worth, TX, USA, 16–20 March 2014. [Google Scholar]
- Sugiyama, T.; Hung, H.; Isobe, Y.; Yoshioka, A.; Yasuzumi, T.; Sato, Y. Stable cascode GaN HEMT operation by direct gate drive. In Proceedings of the 32nd International Symposium on Power Semiconductor Devices and ICs (ISPSD), Vienna, Austria, 13–18 September 2020. [Google Scholar]
- Liu, C.; Salih, A.; Padmanabhan, B.; Jeon, W.; Moens, P.; Tack, M.; Backer, E.D. Development of 650V Cascode GaN Technology. In Proceedings of the PCIM Europe, Nuremberg, Germany, 19–20 May 2015. [Google Scholar]
- Huang, X.; Liu, Z.; Lee, F.C.; Li, Q. Characterization and Enhancement of High-Voltage Cascode GaN Devices. IEEE Trans. Electron Devices 2014, 62, 270–277. [Google Scholar] [CrossRef]
- Huang, X.; Liu, Z.; Li, Q.; Lee, F.C. Evaluation and application of 600V GaN HEMT in cascode structure. In Proceedings of the IEEE Applied Power Electronics Conference and Exposition (APEC), Long Beach, CA, USA, 17–21 March 2013. [Google Scholar]
- Fujihira, T. Theory of semiconductor superjunction devices. Jpn. J. Appl. Phys. 1997, 36, 6254–6262. [Google Scholar] [CrossRef]
- Deboy, G.; Marz, M.; Stengl, J.P.; Strack, H.; Tihanyi, J.; Weber, H. A new generation of high voltage MOSFETs breaks the limit line of silicon. In Proceedings of the International Electron Devices Meeting (IEDM), San Francisco, CA, USA, 6–9 December 1998. [Google Scholar]
- Nakajima, A.; Dhyani, M.H.; Narayanan, E.M.S.; Sumida, Y.; Kawai, H. GaN based Super HFETs over 700V using the polarization junction concept. In Proceedings of the International Symposium on Power Semiconductor Devices and ICs (ISPSD), San Diego, CA, USA, 23–26 May 2011. [Google Scholar]
- Huang, X.; Du, W.; Lee, F.C.; Li, Q.; Liu, Z. Avoiding Si MOSFET Avalanche and Achieving Zero-Voltage Switching for Cascode GaN Devices. IEEE Trans. Power Electron. 2016, 31, 593–600. [Google Scholar] [CrossRef]
- Toshiba Electronic Devices & Storage Corporation: Application Note: MOSFET Secondary Breakdown. Available online: https://toshiba.semicon-storage.com/info/application_note_en_20180901_AKX00077.pdf?did=63593 (accessed on 25 January 2025).
- Akagi, H. Influence of high dv/dt switching on a motor drive system: A practical solution to EMI issues. In Proceedings of the 16th International Symposium on Power Semiconductor Devices and ICs (ISPSD), Kitakyushu, Japan, 24–27 May 2004. [Google Scholar]
- Persson, E. Transient effects in application of PWM inverters to induction motors. IEEE Trans. Ind. Appl. 1992, 28, 1095–1101. [Google Scholar] [CrossRef]
- Kozak, J.P.; Zhang, R.; Porter, M.; Song, Q.; Liu, J.; Wang, B. Stability, Reliability, and Robustness of GaN Power Devices: A Review. IEEE Trans. Power Electron. 2023, 38, 8442–8471. [Google Scholar] [CrossRef]
- Saito, W.; Suwa, T.; Uchihara, T.; Naka, T.; Kobayashi, T. Breakdown behaviour of high-voltage GaN-HEMTs. Microelectron. Reliab. 2015, 55, 1682–1686. [Google Scholar] [CrossRef]
- Saito, W.; Nishizawa, S.-i. Failure Process of GaN-HEMTs by Repetitive Overvoltage Stress. In Proceedings of the 35th International Symposium on Power Semiconductor Devices and ICs (ISPSD), Hong Kong, China, 28 May–1 June 2023. [Google Scholar]













| PSJ GaN HEMT | Cascode GaN FET | Si MOSFET | |
|---|---|---|---|
| Breakdown voltage | 1200 V | 1200 V | 30 V |
| On-resistance | 93 mΩ/120 mΩ * | 125 mΩ | 5 mΩ |
| Threshold voltage | −4.75 V | 2 V | 2 V |
Disclaimer/Publisher’s Note: The statements, opinions and data contained in all publications are solely those of the individual author(s) and contributor(s) and not of MDPI and/or the editor(s). MDPI and/or the editor(s) disclaim responsibility for any injury to people or property resulting from any ideas, methods, instructions or products referred to in the content. |
© 2025 by the authors. Licensee MDPI, Basel, Switzerland. This article is an open access article distributed under the terms and conditions of the Creative Commons Attribution (CC BY) license (https://creativecommons.org/licenses/by/4.0/).
Share and Cite
Sheikhan, A.; Narayanan, E.M.S.; Kawai, H.; Yagi, S.; Narui, H. Evaluation of a 1200 V Polarization Super Junction GaN Field-Effect Transistor in Cascode Configuration. Electronics 2025, 14, 624. https://doi.org/10.3390/electronics14030624
Sheikhan A, Narayanan EMS, Kawai H, Yagi S, Narui H. Evaluation of a 1200 V Polarization Super Junction GaN Field-Effect Transistor in Cascode Configuration. Electronics. 2025; 14(3):624. https://doi.org/10.3390/electronics14030624
Chicago/Turabian StyleSheikhan, Alireza, E. M. Sankara Narayanan, Hiroji Kawai, Shuichi Yagi, and Hironobu Narui. 2025. "Evaluation of a 1200 V Polarization Super Junction GaN Field-Effect Transistor in Cascode Configuration" Electronics 14, no. 3: 624. https://doi.org/10.3390/electronics14030624
APA StyleSheikhan, A., Narayanan, E. M. S., Kawai, H., Yagi, S., & Narui, H. (2025). Evaluation of a 1200 V Polarization Super Junction GaN Field-Effect Transistor in Cascode Configuration. Electronics, 14(3), 624. https://doi.org/10.3390/electronics14030624

