Next Article in Journal
Romanian Style Chinese Modern Poetry Generation with Pre-Trained Model and Direct Preference Optimization
Previous Article in Journal
Comparison of the Reliability of SAC305 and Innolot-Based Solder Alloy in a Board-Level BGA Package Considering Harmonic and Random Vibration Environment
Previous Article in Special Issue
Empirical Insights into 5G Deployments in Highway Operational Environments and Comparative Performance with 4G
 
 
Font Type:
Arial Georgia Verdana
Font Size:
Aa Aa Aa
Line Spacing:
Column Width:
Background:
Article

Secrecy Analysis of LEO Satellite-to-Ground Station Communication System Influenced by Gamma-Shadowed Ricean Fading

1
Faculty of Pedagogy, University of Nis, Partizanska 14, 17501 Vranje, Serbia
2
Dunav Dobrovoljni Penzijski Fond Company, Nikole Pasica 32a, 18000 Nis, Serbia
3
Faculty of Electronic Engineering, University of Nis, A. Medvedeva 4, 18000 Nis, Serbia
4
School of Electrical Engineering, University of Belgrade, Bulevar kralja Aleksandra 73, 11120 Belgrade, Serbia
*
Author to whom correspondence should be addressed.
Electronics 2025, 14(2), 293; https://doi.org/10.3390/electronics14020293
Submission received: 5 December 2024 / Revised: 3 January 2025 / Accepted: 8 January 2025 / Published: 13 January 2025
(This article belongs to the Special Issue New Advances of Microwave and Optical Communication)

Abstract

The Low Earth Orbit (LEO) small satellites are extensively used for global connectivity to enable services in underpopulated, remote or underdeveloped areas. Their inherent broadcast nature exposes LEO–terrestrial communication links to severe security threats, which always reveal new challenges. The secrecy performance of the satellite-to-ground user link in the presence of a ground eavesdropper is studied in this paper. We observe both scenarios of the eavesdropper’s channel state information (CSI) being known or unknown to the satellite. Throughout the analysis, we consider that locations of the intended and unauthorized user are both arbitrary in the satellite’s footprint. On the other hand, we analyze the case when the user is in the center of the satellite’s central beam. In order to achieve realistic physical layer security features of the system, the satellite channels are assumed to undergo Gamma-shadowed Ricean fading, where both line-of-site and scattering components are influenced by shadowing effect. In addition, some practical effects, such as satellite multi-beam pattern and free space loss, are considered in the analysis. Capitalizing on the aforementioned scenarios, we derive the novel analytical expressions for the average secrecy capacity, secrecy outage probability, probability of non-zero secrecy capacity, and probability of intercept events in the form of Meijer’s G functions. In addition, novel asymptotic expressions are derived from previously mentioned metrics. Numerical results are presented to illustrate the effects of beam radius, satellite altitude, receivers’ position, as well as the interplay of the fading or/and shadowing impacts over main and wiretap channels on the system security. Analytical results are confirmed by Monte Carlo simulations.

1. Introduction

The seamless integration of satellites with terrestrial networks is one of the key research and technological challenges in designing beyond 5th generation (B5G) and 6th generation (6G) mobile networks [1,2]. This integration aims to deliver high-quality mobile coverage to rural areas, alleviate the load on terrestrial networks, and provide enhanced throughput for users in peripheral regions, which are outside the service zone of the conventional terrestrial base stations. Satellite communications serve as a critical resource to address the stringent demands of B5G and 6G for high throughput and global connectivity, extending and complementing terrestrial infrastructure [3,4,5]. Undoubtedly, satellite communications are poised to drive a transformative shift in the evolution of next-generation wireless technologies.

1.1. Motivation

Geostationary satellites-assisted communication systems face several challenges. Such systems generally suffer from high latency and strong channel attenuation, which degrade the quality of services. In addition, the systems are less suitable for mobile communications in high-latitude regions, mainly due to the low elevation angle (the angle between the user, the satellite, and the horizon), making terrain obstructions more problematic. Additionally, limited orbital and frequency resources constrain both system coverage and capacity. Authors in [6] dealt with the resource allocation as an efficient way to alleviate the inter-beam interference, which arises due to aggressive frequency reuse. Finally, satellite launch and operational costs are quite substantial. In contrast, Low Earth Orbit (LEO) satellites, typically positioned at altitudes of 500 to 2000 km [7], offer advantages such as lower latency, reduced path loss, and lower production and launch costs, making them highly appealing to the industry. Therefore, by integrating with the terrestrial network [8], LEO satellites can provide a wide range of services, including Earth observation, internet connectivity [9,10], satellite navigation, and tracking for aeronautical and maritime applications.
However, due to the broad radiation pattern of signals from LEO satellites designed to cover extensive surface areas with high-quality connectivity, the communication links between satellites and ground receivers are susceptible to eavesdropping, jamming, or spoofing [11,12]. While the primary challenges of incorporating LEO satellites into terrestrial networks are well-recognized, there are still unresolved issues, both in terms of research and technological development. A critical issue is ensuring secure communication between LEO satellites and ground-based receivers.
The extensive openness of satellite communication networks leads to more significant security challenges compared to terrestrial networks. With advancements in quantum computing, traditional information layer encryption methods face an increasing risk of brute-force attacks. Nevertheless, Physical Layer Security (PLS) techniques are emerging as a robust solution to enhance the security of satellite communications [9,13,14]. The concept of PLS was established in Shannon’s foundational theory of perfect secrecy. According to this, the authors in [15] introduced the eavesdropper channel model, where the eavesdropper’s received information is considered as a degraded version of the legitimate receiver’s data. The primary principle of applying PLS in satellite networks is to exploit the inherent randomness of wireless channels, such as fading, interference, and noise, in order to ensure secure transmission [11,13].
The first LEO satellite constellations were developed in the 1990s (Iridium, Globelstar, Covington, LA, USA). Recent advances in satellite communication and launching technology renewed the interest in LEO networks. Several mega-constellations have been realized or are in the phase of realization with the aim of providing Internet access across the globe. Some of those systems include Starlink, with more than 3000 launched satellites, and OneWeb, Telesat, and Amazon. In all these systems, the security of information transmission is an important issue. The model of the system that we consider in this paper, to a lesser or greater extent, can be useful for the urban propagation environment in all these systems from the standpoint of PLS.

1.2. Previous Work

In order to realistically describe PLS, from an information-theoretic point of view [16], accurate channel modeling is required. The authors in [17] gave an overview of the main satellite channel models for land scenarios, among which are also early proposed models in [18,19]. A classical statistical characterization of the Land Mobile Satellite (LMS) channel is proposed by Loo [18], where it is assumed that the received signal consists of a log-normally distributed Line-of-Sight (LOS) component and scattering, i.e., Non-Line-of-Sight (NLOS) component with Rayleigh distribution. This model adequately describes various situations, ranging from clear LOS scenarios to signal blockage in trees (as illustrated by a comparison with the measurement results presented in [18]). However, in this model, the lognormal shadowing affects the direct LOS component only, whereas a constant average power is assumed for the scattering contribution. Although this assumption simplifies the analysis, it is adequate only for rural environments, where the LOS component is available at the receiver most of the time. For the NLOS situation, it is necessary to model the shadowing of the scattering component as well. In [19], for cases when the receiver is located in shadowed areas, it was shown that the Rayleigh channel model is inaccurate, and it was proposed to use Rayleigh distribution with the log-normally distributed mean received power. In the same paper, the comparison with the measurement results was given, and it was shown that the assumption is reasonable. As another approach [20], the channel coefficient can be modeled as multiplication of two random variables, one with a lognormal distribution and another with a Rayleigh distribution. An extension of this approach was presented in [21]. The overview of these models was presented in [22], where a graphical method for predicting the satellite shadowing in urban areas was proposed.
The widely used LMS channel model is the shadowed multipath fading model, as suggested in [23]. According to that model, there are scattering components and an LOS component, whose amplitude has Nakagami-m distribution. The popularity of this model is based on the fact that a mathematically tractable gamma distribution replaces a log-normal distribution. Similarly to Loo’s channel model, only the LoS component is influenced by the shadowing effect, while the shadowing effect does not influence the scattered components. Although this model is usually used to describe the propagation in the channels between the LEO satellites and the ground terminals [24,25], this model is not accurate in urban areas when the shadowing is present, and the LOS component has a small strength.
The secrecy performance of multi-beam LMS systems was investigated in [26], where the mobile satellite channel model from [23] was utilized. In that study, a sub-optimal transmit beamforming approach was proposed to minimize the satellite’s total transmit power, assuming the satellite has perfect channel state information (CSI) of the wiretap links. Beamforming design is very often utilized for PLS enhancement of flying transmitters [27]. Furthermore, authors in [28] examined a scenario where the satellite has imperfect CSI for the legitimate link, and no knowledge of eavesdroppers’ CSI. In that work, the exact and asymptotic expressions for the secrecy outage probability (SOP) and the probability of strictly positive secrecy capacity (SPSC), as adequate metrics for passive eavesdropping, were derived. The secure downlink transmission of randomly distributed legitimate/illegitimate nodes in the satellite’s footprint was analyzed in [29], for the case of no available CSIs at the satellite. In [30], the secrecy performance was analyzed for both passive (CSI of eavesdroppers’ channel is unknown by satellite) and active (CSI of eavesdroppers’ channel is known by satellite) wiretap scenarios, where eavesdroppers are located inside or outside the beam coverage areas. The authors assumed that both legitimate and illegitimate terrestrial nodes utilize multi-branch receivers.
In our previous work [31], we analyzed the secure transmission from the satellite to the receiver on the ground in the presence of an eavesdropper, assuming that the wiretap CSI is not available on the satellite. In the scenario of arbitrarily located nodes in the satellite’s footprint, we determined the secrecy outage probability (SOP) and probability of SPSC. Then, we studied the impact of fading/shadowing parameters and path loss factor on these PLS metrics. Unlike the channel model in [26,28,29,30], we used the Gamma-shadowed Ricean channel model from [32]. In comparison to the fading model introduced in [23], where only the direct component is influenced by shadowing, the author in [32] proposed a satellite channel model which implies that there is Rice scattering (Line-of-Sight plus Rayleigh scattering), but that both direct and scattering components are influenced by shadowing. Therefore, the shadowing effect is considered even for the case when shadowing is present when NLOS component is dominant, as a typical scenario for the urban environment.

1.3. Contribution and Organisation

In this paper, we present a comprehensive analysis of the secrecy performance of a LEO satellite and ground user (U) downlink in the presence of an eavesdropper (E), over Gamma-shadowed Ricean fading channels. Both the passive and active eavesdropping scenarios are analyzed in two cases: the case when the position of the legitimate receiver and eavesdropper is arbitrary in the satellite’s footprint, which is in the shape of a circle of predefined radius; but also the situation when the legitimate receiver is in the center of the satellite antenna footprint. We introduce the system’s geometry and observe the influence of the satellite’s height, as well as the three-decibel wide characteristics of the satellite’s antenna and its gain. In contrast to [29,31], on-board beam factor, satellite transmit power, and the angle of U/E position relative to the beam axis are considered.
For the scenario of active eavesdropping, we derive novel analytical expressions of the average secrecy capacity (ASC) in terms of double Meijer’s G function and its asymptotic counterpart in terms of univariate Meijer’s G function. In addition, the novel exact and asymptotic expressions for SOP, SPSC, and intercept probability (IP) are determined as adequate PLS metrics in the analysis of passive eavesdropping. Both scenarios and both cases are considered, and the impact of different system/channel parameters on the system security on the physical layer is discussed.
In brief, main contributions of this paper can be summarized as:
-
Taking into account various practical factors (system’s geometry, satellite’s antenna pattern, free space loss), novel exact and asymptotic expressions of PLS metrics are derived. To the best of authors’ knowledge, a comprehensive secrecy analysis of LEO satellite communication over the fading channel where both LOS and NLOS components are influenced by shadowing effect, has not been previously published.
-
Two specific eavesdropping scenarios, active and passive, are addressed; and two different system sub-models (U in the center of the satellite’s footprint or arbitrarily located as E) are studied. The analysis is valid for the case when an eavesdropper is located on the Earth surface.
-
Asymptotes are given in easy-to-follow forms, marking off the system or channel parameters that affect the secrecy performance most profoundly. It can be helpful in the first steps of the design, for quicker performance evaluations.
-
The impact of interplay of all system and channel parameters on secrecy transmission is analyzed and discussed in detail.
The rest of the paper is organized in the following way. Section 2 presents the system model including a description of composite fading over main and wiretap channels. The secrecy analysis is presented in Section 3 and Section 4. In Section 3, the ASC is derived when the wiretap CSI is available at satellite, and in Section 4, the SOP, SPSC, and IP are defined for an active eavesdropping scenario. Numerical results followed by appropriate comments are given in Section 5, while Section 6 contains some concluding remarks. Appendix A shows the derivation procedure of asymptotic ASC, and in Appendix B we present the unified derivation of SOP, SPSC, and IP asymptotes.

2. System Model

We analyze the system model shown in Figure 1. The ground user (U), which is assumed as the intended receiver, can be positioned in the center of the central LEO’s beam spot (Figure 1a), or can be arbitrarily distributed at the distance rU from the center of the satellite footprint (Figure 1b), i.e., in the circle area of radius R. The location of an unauthorized entity or eavesdropper (E) is assumed to be arbitrary at the distance r E in the footprint of the satellite (S). E attempts to overhear S-U confidential transmission at the physical layer with the intention of using the intercepted information for further security attacks. All nodes are equipped with a single antenna.
Based on possible passive or active eavesdropping, we analyze two scenarios. The first one refers to the case of the CSIs from the main and wiretap channel being available at S. This can be validated by the fact that when the potential E is a part of a satellite–terrestrial network, the CSI of both the U and that unauthorized user (potential E) can be available at the satellite. The scenario is particularly applicable in multicast and unicast networks where the users play dual roles as legitimate users for some signals and eavesdroppers for others. For the second scenario, we assume that only the CSI of the intended propagation channel is known by S. This is also a realistic scenario in PLS analysis of the system model under consideration. If E is not part of the network, S is incapable of obtaining the CSI of that channel.
Both sub-models from Figure 1 (Figure 1a,b) are applicable to both scenarios.
The satellite, S, is located at the height, H, from the earth’s surface. Let S transmits a secret message by emitting signal s, where E [ s 2 ] = 1 . The signal received by U is
x U = P h U s + n U ,
with hU being a fading coefficient of the main channel, i.e., the channel between the S and U, P describing the satellite emitting power, and n U ~ N 0 , σ U 2 denoting the zero mean additive white Gaussian noise (AWGN) of variance σ U 2 .
In the system model under consideration, another ground node (E) tries to eavesdrop on the signal from S. The received signal at node E has the following form
x E = P h E s + n E ,
where hE represents a fading coefficient of the wiretap channel, i.e., the channel between the S and E, and n E ~ N 0 , σ E 2 denotes the AWGN over the wiretap channel. The noise has zero mean value and variance σ E 2 .

2.1. Channel Model

Further, the channel coefficients hU and hE are defined as [33]
h * = L * g * ,
where is a subscript that refers to channel indexes of U or E, respectively. L * represents the radio propagation parameter, which includes the free space loss and the antenna pattern effect, in the following way [30,32]
L * = λ c 4 π G S * r * 2 + H 2 ,
where λc presents the carrier wavelength, H is the height of a LEO satellite (H ∈ [80–2000 km]) [8,9], most commonly 500 km, and GS* is the beam gain transferred down to the ground nodes. It can be approximately calculated as [33]
G S * G max J 1 u 2 u + 36 J 3 u u 3 2 ,
with Gmax being the maximum satellite’s beam gain at the boresight, while J 1 . and J 3 . are the first kind Bessel functions of order 1 and 3, respectively. The variable u is
u = 2.07123 sin φ sin φ 3 dB .
The angle φ represents the angle of position of the U or E relative to the beam axis, while φ 3 dB is the 3 dB power loss angle, both defined, respectively, as [33]
φ = arctan r H
and
φ 3 dB = arctan R 3 dB H .
Finally, R3dB is the radius of the 3 dB beam spot (marked in Figure 1).
We assume that the satellite channels are Gamma-shadowed Ricean fading channels. Thus, the signal envelope, g * , has the Ricean distribution given by [32]
p G * g * Ω * = 2 g * Ω * 1 + K * exp 1 + K * Ω * g * 2 K * I 0 2 g * K * 1 + K * Ω * ,
where I0(.) is the zero order modified Bessel function of the first kind, while K * and Ω * are the Ricean parameter and local mean received power, respectively. The Ricean parameter is the ratio of the LOS signal power and scattered signal power. One should notice two facts. Firstly, the local mean received power is the sum of the LOS component power and scattered components power. Secondly, the probability density function (PDF) given by (9) is conditional PDF because local mean power is a random process due to shadowing. Mean received power has Gamma distribution. The average PDF of the Gamma-shadowed Ricean faded signal envelope is obtained by averaging the conditional Ricean PDF given by (9) over the Gamma distributed local mean received power. All relevant details related to derivation can be found in [32].
The received signal-to-noise ratios (SNRs) over the main (S-U) or wiretap (S-E) link can be defined in the following form
γ * = h * 2 P σ * 2 = γ ¯ * g * 2 ,
where γ ¯ * = P L * / σ * 2 denotes the average SNRs. As previously mentioned, the main and wiretap channel obey gamma-shadowed Ricean fading. Relying on ([32], eq. (4)), the PDF of the instantaneous SNR is
p γ * γ = 2 e K * Γ m s * i * = 0 1 + K * m s * γ ¯ * m s * + i * + 1 2 K * i * i * ! 2 γ m s * + i * 1 2 Κ m s * i * 1 2 1 + K * m s * γ γ ¯ * ,
where Γ(·) denotes the Gamma function ([34], eq. (8.310)), while Κ ν denotes the vth order modified Bessel function of the second kind ([34], eq. (8.432.3)). The multipath fading is described by parameter K * . If the multipath fading is more severe, the value of the parameter K * is lower ( K * ( 3.9 ÷ 18.1   dB ) , [19]). The shadowing is defined by the parameter m s * . The larger the value of parameter m s * (0 < m s * < ∞), the shadowing severity decreases. Parameter m s * can be rewritten in the form of shadowing spread σ s * dB , as σ s * dB = 10 ψ m s * / ln 10 , where ψ . and ψ . is the psi function and its derivative ([34], eq. (8.360)), respectively. According to [19], typical values of shadowing spread are σ s * ( 3 ÷ 10   dB ) .
The previous form of PDF (11) can be rewritten in terms of Meijer’s G function, by transforming Κ ν function into Meijer’s G function, relying on ([35], eq. (8.4.23.1)) and using the argument simplification of this special function ([36], eq. (07.34.16.0001.01)), as [31]
p γ * γ = e K * Γ m s * γ i * = 0 K * i * i * ! 2 G 0 , 2 2 , 0 1 + K * m s * γ ¯ * γ m s * , i * + 1 .
G p , q m , n is notation for the univariate Meijer’s G function ([34], eq. (9.301)), which is a special built-in function in Mathematica, Maple, or Matlab software packages. For the analytics that follows, the cumulative distribution function (CDF) of the instantaneous SNR is also required. The CDF can be derived following its definition, and recalling ([37], eq. (26)), as
F γ * γ = e K * Γ m s * i * = 0 K * i * i * ! 2 G 1 , 3 2 , 1 1 + K * m s * γ ¯ * γ 1 m s * , i * + 1 , 0 .

2.2. Secrecy Channel Capacity

The instantaneous channel capacities, i.e., the main channel capacity, RU, and the wiretap channel capacity, RE, were defined by Shannon [38], as R U = log 2 1 + γ U , R E = log 2 1 + γ E , and consequently, the secrecy capacity of LEO’s confident transmission is [16,23,28,29,30]
C s = R U R E + ,
where x + max x , 0 . In general, assuming the availability of perfect CSI at all nodes in the system, the instantaneous secrecy capacity is characterized as a difference between the channel capacities. The information-theoretic based analysis is a fundamental PLS technique in all wireless communications. Hereinafter, both scenarios of active and passive eavesdropping will be studied through analytical and numerical framework.

3. Secrecy Analysis on the Physical Layer for the First Scenario—CSIs Available

When the CSI from both channels is available at S, the average secrecy capacity can be analyzed as a principle PLS metric. It is active eavesdropping. In this scenario, the S can adapt the rate of downlink transmission, according to the CSI’s knowledge, in order to reach perfect secure transmission. Active eavesdropping refers to the case of E being a legitimate user of particular signals and unauthorized for the specific (private) ones. There are numerous examples in the literature of the PLS analysis under the assumption of active eavesdropping [16,30,33].
Depending on whether wiretap or legitimate channel CSI is known, different metrics are relevant to describe PLS performance. Table 1 provides relevant metrics for different scenarios in terms to make the analysis that follows clearer.

Average Secrecy Capacity (ASC)

Theoretically, perfect secrecy could be obtained if S delivers a positive data rate to U, allowing E to receive no data. In that regard, the ASC indicates the average communication rate of the main transmission. It can be defined as [33]
C ¯ s = D ¯ d γ U d γ E log 2 1 + γ U 1 + γ E p γ U γ U p γ E γ E ; D ¯ = 0 γ E < , γ E γ U < .
The previous formula can be rewritten in the following form:
C ¯ s = 0 d γ E p γ E γ E γ E + log 2 1 + γ U 1 + γ E p γ U γ U d γ U = 1 + 2 3 ,
where the integrals 1 , 2 , 3 are defined as 1 = 0 log 2 1 + γ U p γ U γ U F γ E γ U d γ U , 2 = 0 log 2 1 + γ E p γ E γ E F γ U γ E d γ E and 3 = 0 log 2 1 + γ E p γ E γ E d γ E .
We solve the first two integrals by using the transformation of the logarithm into Meijer’s G function, log 2 1 + x = 1 log ( 2 ) G 2 , 2 1 , 2 x 1 , 1 1 , 0 ([36], eq. (01.05.26.0002.01)) and then relying on the solution of the integral of the product of three Meijer’s G functions ([36], eq. (07.34.21.0081.01)), in the forms
1 = e K U K E Γ m s U Γ m s E log 2    i U , i E = 0 K U i U K E i E i U ! i E ! 2 G 2 , 2 : 0 , 2 : 1 , 3 2 , 1 : 2 , 0 : 2 , 1 1 + K U m s U γ ¯ U , 1 + K E m s E γ ¯ E 0 , 1 0 , 0 m s U , i U + 1 1 m s E , i E + 1 , 0 ,
and
2 = e K U K E Γ m sU Γ m sE log 2    × i U , i E = 0 K U i U K E i E i U ! i E ! 2 G 2 , 2 : 0 , 2 : 1 , 3 2 , 1 : 2 , 0 : 2 , 1 1 + K E m s E γ ¯ E , 1 + K U m s U γ ¯ U 0 , 1 0 , 0 m s E , i E + 1 1 m s U , i U + 1 , 0 ,
with G q , p : p 1 , q 1 : p 2 , q 2 n , m : m 1 , n 1 : m 2 , n 2 z , s being the bivariate Meijer’s G function. This special function can be calculated using the Matlab codes given in [39,40]. The third integral is solved using the same logarithm transformation as in the previous two integrals ([36], eq. (01.05.26.0002.01)), and then recalling the solution of the integral of the product of two Meijer’s G functions ([36], eq. (07.34.21.0013.01)), in the form
3 = e K E Γ m s E i E = 0 K E i E i E ! 2 G 2 , 4 4 , 1 1 + K E m s E γ ¯ E 0 , 1 m s E , i E + 1 , 0 , 0 .
At last, by substituting Equations (17)–(19) into Equation (16), we obtain the expression for evaluating ASC.
In order to avoid a complex evaluation of bivariate Meijer’s G function and to enable quick insight into secrecy performance, we also derive the asymptotic ASC. The detailed derivation procedure and the expression for evaluating the asymptotic ASC is given in Appendix A.

4. Secrecy Analysis on the Physical Layer for the Second Scenario—Unknown Eavesdropper’s CSI

Commonly, the CSI of illegitimate ground entities is unknown. The second scenario in our work is related to passive eavesdropping, which is the scenario of an entity being an intruder for every transmission, authorized/unauthorized, completely unknown from S. In this case, perfect secrecy cannot be guaranteed, and therefore the ASC cannot be determined. The PLS metrics that are relevant for defining the secrecy performance when E’s CSI is unavailable are SOP, SPSC, and IP [30,31].

4.1. Secrecy Outage Probability (SOP)

The SOP indicates a particular secrecy outage event when secrecy capacity falls below the predefined secrecy rate, R t . Thus, the exact expression for SOP can be derived by following the definition form [31]
P out EX = Pr C s < R t = Pr γ U R s γ E + R s 1 =    = 0 0 γ 0 p γ U γ U p γ E γ E d γ E d γ U = 0 F γ U γ 0 p γ E γ E d γ E ,
where γ 0 = R s γ E + R s 1 and R s = 2 R t . By substituting (12) and (13) in (20), then making the following change in variables, 1 + K U m s U R s γ E / γ ¯ U = p and with the help of ([35], eq. (2.24.1.3)), we obtain the exact SOP in the following form
P out EX = e K U K E Γ m s U Γ m s E j = 0 1 j j ! 1 + K U m s U R s 1 γ ¯ U j × i U , i E = 0 K U i U K E i E i U ! i E ! 2 G 4 , 4 3 , 3 1 + K E m s U γ ¯ U 1 + K U m s E γ ¯ E R s 1 , j m s U + 1 , j i U , j + 1 m s U , i E + 1 , j , j + 1 .
This expression requires significant computational effort in order to calculate its value precisely. However, it is possible to derive lower bound expression in a much simpler form. We determine the lower bounded version of SOP as
P out Lower = Pr γ U R s γ E P o u t = 0 F γ U R s γ E p γ E γ E d γ E .
By substituting (12) and (13), with adequate subscripts and arguments, in (22) and relying on ([35], eq. (2.24.1.2)), after some mathematical manipulations, we obtain the following form of P out Lower
P out Lower = e K U K E Γ m s U Γ m s U i U , i E = 0 K U i U K E i E i U ! i E ! 2 G 3 , 3 2 , 3 1 + K U m s U R s 1 + K E m s E λ 1 , 1 m s U , i E m s U , i U + 1 , 0 ,
where λ = γ ¯ U / γ ¯ E refers to the average main-to-eavesdropper’s channel power ratio (MER). In addition, we derive the following form of asymptotic SOP
P out , asymp Lower = e K U K E Γ m s E + m s U Γ 1 m s U z m S U Γ m s E F 1 1 1 + m S U , 1 , K E L m S U 1 K U + e K U m S U 1 m S E z 1 + K E + m S E + 1 2 + K E 4 + K E 2 m S U 2 K U z ,
where L m S U 1 . is Laguerre function defined by ([36], eq. (07.02.06.0002.01)) and z = 1 + K U m s U R s 1 + K E m s E λ . The derived asymptote for λ , can enable quick insight into the parameters that impact SOP the most significantly. In Appendix B, one can find the principal derivation of P out , asymp Lower .

4.2. Strictly Positive Secrecy Capacity (SPSC)

Another relevant PLS metric in the scenario of unknown CSI of E’s channel is the probability of non-zero secrecy capacity or SPSC. It is defined as the probability that secrecy capacity remains positive
P spsc = Pr γ U > γ E = 0 F γ E γ U p γ U γ U d γ U .
Thus, by substituting (12) and (13) in (25) and with the help of solution for the integral of the product of two Meijer’s G functions ([36], eq. (07.34.21.0013.01)), the P spsc becomes
P spsc = e K U K E Γ m S U Γ m S E i U , i E = 0 K U i U K E i E i U ! i E ! 2 G 3 , 3 3 , 2 1 + K U m S U 1 + K E m S E λ 1 m S E , i E , 1 m S U , i U + 1 , 0 .
Similarly to the procedure in Appendix B, using the following ([36], eq. (07.34.06.0001.01)), we can obtain asymptotic SPSC. Taking the limit when z → 0, Meijer’s G functions in the previous series converge to their respective constant values, resulting in
P spsc , asymp = e K U K E i U , i E = 0 K U i U K E i E i U ! i E ! 2 Γ i U + 1 Γ 1 + i E .
Obviously, this series simplifies to
P spsc , asymp = e K U K E e + K U + K E = 1 .

4.3. Intercept Probability (IP)

The probability of intercept events, or—the intercept probability, Pint, represents the probability that secrecy capacity becomes non-positive, i.e.,
P int = Pr γ U < γ E = 1 P s p s c .
This metric indicates the probability that E intercepts the intended (private) transmission. It can be evaluated by substituting (26) in (29) or by putting R s = 1 in (23). In addition, its asymptotic version can be obtained according to Appendix B, in the following form
P int , asymp = e K U K E Γ m s E + m s U Γ 1 m s U t m S U Γ m s E F 1 1 1 + m S U , 1 , K E L m S U 1 K U       + e K U m S U 1 m S E t 1 + K E + m S E + 1 2 + K E 4 + K E 2 m S U 2 K U t ,
where t = 1 + K U m s U 1 + K E m s E λ . The form is identical to (24), but with different variable t.

5. Results and Discussion

In this section, numerical results are presented to highlight the impact and interplay of various system/channel parameters on different PLS metrics. The basic transmitter/receiver parameters are LEO satellite height, maximum gain of satellite antenna, carrier wavelength, 3 dB power loss angle, transmitter power, and radius of 3 dB beam spot. These numerical values were presented in [8]. In addition, a shadowed multipath Ricean model contains two basic parameters: Ricean factor and shadowing spread (taken into account through value of parameter ms). The numerical values of these parameters were given in [19].
The numerical results are obtained based on expressions derived in Section 3 and Section 4. These evaluations can be performed in the software package Mathematica 12. In addition, we develop simulation models in order to confirm analytical results by Monte Carlo simulations. The random variable having shadowed Ricean PDF is generated as a product of two random variables; the first one has Nakagami-m distribution, and the second one has Ricean distribution (it should be taken into account that squared Nakagami-m variate has Gamma distribution). The ASC is estimated by using 104 generated variates, while IP, SOP, and SPSC are estimated based on 109 samples.
In Figure 2, we illustrate the ASC versus the average SNR of the main channel. The sub-model from Figure 1b assumes that the U and E are both arbitrarily located within the circle area of radius R = 100 km. Both nodes are inside the S’s beam spot for all S’s altitudes. It is noticeable that for shorter heights of S, the ASC is larger, resulting from the avoidance of an additional free space loss. In addition, the results indicate that when the shadowing effect is more severe (lower value of parameter m s * ) over the main/wiretap channel, the value of ASC is lower. In addition, smaller fading depths over the main/wiretap channel (higher values of KU/KE) lead to higher ASC. The asymptotes in this figure, obtained in Appendix A, show good agreement with the exact results in the high average SNR range of the main channel.
The Monte Carlo simulations were performed in Matlab 2023a. Although Monte Carlo simulations validated all numerical results, only Figure 3 and Figure 4 present simulation results in order to ensure all figures are clear. In Figure 3, we plot the IP versus the E’s distance, rE, for different values of fading parameters KU, KE, and different MER values. The sub-model from Figure 1a is considered. In this figure, we notice that IP drops gradually as the E’s distance from legitimate U increases. Moreover, when E is located at a specific distance corresponding to the minimum in the satellite antenna radiation pattern, and thus receives very low signal power, IP becomes almost negligible. When E moves further away, and comes out of the signal dead zone, the IP increases from a negligible to a measurable level, but is still much lower than when in close proximity to U. In general, favorable conditions regarding signal intercept prevention are weak fading depths, higher MER values, and potentially, when E is in the signal dead zone. The effect of multipath fading depth can be seen from this figure. For example, when rE = 200 km, by changing Ricean parameter from 0 dB to 7 dB (the larger value of this parameter corresponds to the case when LOS component is more dominant compared with scattered components), intercept probability decreases from 10−4 to 7 × 10−6.
In Figure 4, SOP versus the distance of E is presented for different radius R3dB, i.e., different angle φ 3 dB . We can notice fluctuations of SOP between 10−3 and 10−5, when E is located outside S’s beam coverage, where fluctuations start from a certain distance depending on φ 3 dB . In addition, for lower distances (on the x-axis), SOP has the lowest value for 3 dB angle of φ 3 dB = π / 18 . The unacceptable large values of SOP around 0.1 can be observed for the largest value of the 3 dB angle. This means that the narrower the S’s beam spot is, the lower the SOP occurs, and security on the physical layer improves. These conclusions are valid when shadowing effect is more severe over the main channel compared with the shadowing over wiretap channel.
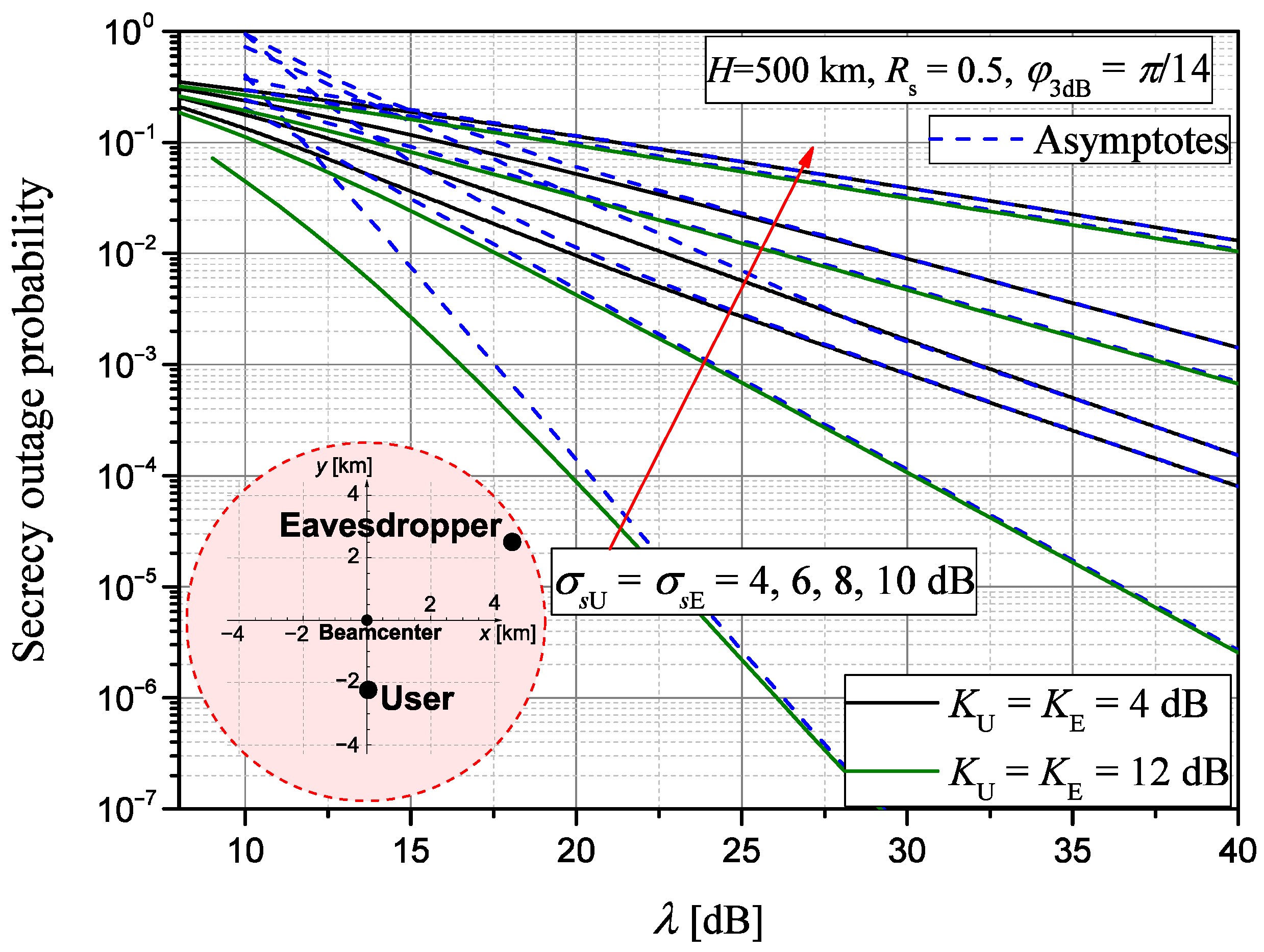
In Figure 5, we plot SOP vs. MER for the case of the second sub-model scenario, when users (legitimate/illegitimate) are arbitrarily located in the circle area of radius R = 100 km, for different values of fading and shadowing shaping factors. This figure aims to show the impact of shadowing on the system performance. It is clearly seen that with the increase in the shadowing spread, the value of the SOP also increases. In other words, in conditions of strong shadowing, the SOP is higher. For example, if the shadowing spread changes from 4 dB to 10 dB, the SOP increases 2.5 × 103 times when λ = 25 dB and K U = K E = 12 dB . At this point, we conclude that the influence of shadowing is more pronounced when the regular component of multipath fading is stronger. In conditions where the regular component is not so strong, changes in the shadowing spread do not cause such significant changes in the SOP.
Figure 6 depicts the SPSC versus MER for different system or channel parameters. More specifically, Figure 6 illustrates the impact of various E’s distances, when the U is in the center of the beam spot of S (sub-model from Figure 1a). One can notice a slight increase in SPSC with the increase in the E’s distance, and also a slight increase in SPSC with the decrease in shadowing severity and fading depth parameter of E’s channel (implies more severe shadowing severity over wiretap channel). Anyhow, the significant increase in SPSC with the increase in MER is evident, which indicates the positive effect of lower received power at the eavesdropper. For large values of MER, all curves tend to one (blue dashed line) that is in agreement with Equation (28).
In Figure 7, we illustrate the intercept probability for two predefined system sub-models, when U is in the center of the beamspot, and when it is arbitrarily located as E. We performed the comparison over various shadowing severity conditions. It can be observed that the first case offers better secrecy performance in terms of lower intercept probabilities. This approves that the probability of intercept events drops when U is in the area of the strongest power signal from S, even though U is closer to E for the second case (blue lines). Also, the intercept probability decreases, when the shadowing severity decreases (msU, msE increases) and/or MER becomes higher.

6. Conclusions

We have analyzed a system that consists of a LEO satellite and a ground receiver with an eavesdropper also located on the Earth surface. We have assumed that there are direct and scattered components over the channels, and both components are influenced by shadowing. In the presented secrecy analysis, we have taken propagation effects, system’s geometry of two sub-models, and antenna radiation pattern into account. For both passive and active eavesdropping, we have derived novel analytical expressions for metrics relevant to PLS, as well as their asymptotic forms. These analytical expressions can be applied for different positions of LEO satellites, legitimate receivers, and eavesdroppers, as well as for different propagation conditions over main channel and wiretap channel.
The results have illustrated the impact of fading and shadowing shaping factors on secrecy performance. It is evident that more favorable channel conditions in identically distributed channel cases lead to security enhancement. This feature of the PLS approach can improve secure transmission in wiretap channel conditions.
According to the analysis of the influences of system parameters, we have noticed that lower altitudes of the satellite imply lower free space losses, and thus better secrecy performance. Also, the results have shown that highly directional antenna from the satellite, i.e., narrower beam spot, is preferable from the PLS point of view. We also have noticed that the probability of intercept events is almost negligible at a certain location of eavesdropper, which corresponds to the minimum in the radiation diagram of the satellite’s antenna.
The analysis is valid when the eavesdropper is located on the Earth’s surface, which cannot always be achieved in practice. A further research topic could be considering more eavesdropping scenarios. In addition, we will continue research about this topic by developing a FPGA implementation of the system observed in this paper.

Author Contributions

Conceptualization, I.R., J.A. and D.N.M.; methodology, D.N.M., J.A. and I.R.; software, J.A. and I.R.; formal analysis, I.R., J.A. and D.N.M.; investigation, I.R., G.T.D., D.N.M., J.A. and P.I. data curation, J.A.; writing—original draft preparation G.T.D., D.N.M., I.R., J.A.; writing—review and editing, P.I., D.N.M. and G.T.D.; visualization, J.A. and D.N.M.; supervision, P.I. and G.T.D.; project administration, G.T.D. and P.I.; funding acquisition, P.I. and G.T.D. All authors have read and agreed to the published version of the manuscript.

Funding

This paper is partially supported by the Science fund of the Republic of Serbia under the project “Hybrid integrated satellite terrestrial access network” (grant no. 7750284), and by Ministry of Science, Innovations and Technological Development of Serbia.

Data Availability Statement

All data underlying the results are available as part of the article and no additional source data are required.

Conflicts of Interest

Author Ivan Radojkovic was employed by the Dunav Dobrovoljni Penzijski Fond Company. The remaining authors declare that the research was conducted in the absence of any commercial or financial relationships that could be construed as a potential conflict of interest.

Appendix A. Derivation of Asymptote for ASC

In order to present the solution of the exact ASC, Equations (17)–(19) in a more tractable way, we derive an asymptotic version of ASC at high MER regime, i.e., when λ = γ ¯ U / γ ¯ E tends to infinity. More specifically, at high SNR region, Equation (16) can be rewritten as
C ¯ ^ s = ^ 1 + ^ 2 3 ,
where ^ 1 = 0 log 2 1 + γ U p γ U γ U F ^ γ E γ U d γ U and ^ 2 = 0 log 2 1 + γ E p γ E γ E F ^ γ U γ E d γ E denote asymptotic versions of 1 and 2 , respectively. The analytical solutions of integrals can be obtained with the help of asymptotic expressions for CDFs of the instantaneous SNRs of main and wiretap channels. Namely, we recall the series expansion of Meijer’s G function when its argument tends to 0, ([36], eq. (07.34.06.0001.01)), which corresponds to a high MER regime, and we take only the first term in expansion to obtain asymptotic behavior of (13) in the following way
F ^ γ * γ = e K * Γ m s * i * = 0 K * i * i * ! 2 Γ m s i * 1 i * + 1 1 + K * m s * γ ¯ * γ i * + 1 .
Then, by substituting (12) and (A.2) in ^ 1 , and with the help of ([36], eqs. (01.05.26.0002.01), (07.34.21.0013.01)), after some mathematical manipulations, we obtain the following form
^ 1 = e K U K E Γ m s U Γ m s E log 2 i U , i E = 0 K U i U K E i E i U ! i E ! 2 Γ m s E i E 1 i E + 1 1 + K E m s E γ ¯ E i E + 1 G 2 , 4 4 , 1 1 + K U m s U γ ¯ U i E 1 ,   i E m s U , i U + 1 , i E 1 , i E .
One can notice the solution to this integral in the form of Meijer’s G function, which is contrary to the solution for the more complex bivariate, Meijer’s G function. Also, by substituting (12) and (A2) with appropriate subscripts, in ^ 2 , and again recalling ([36], eqs. (01.05.26.0002.01), (07.34.21.0013.01)), we obtain
^ 2 = e K U K E Γ m s U Γ m s E log 2 i U , i E = 0 K U i U K E i E i U ! i E ! 2 Γ m s U i U 1 i U + 1 1 + K U m s U γ ¯ U i U + 1    G 2 , 4 4 , 1 1 + K E m s E γ ¯ E i U 1 ,   i U m s E , i E + 1 , i U 1 , i U .
Therefore, the final asymptotic form of ASC, in the high SNR region of the main channel, i.e., for large MER values, is obtained by substituting Equations (A3), (A4), and (19) in (A1).

Appendix B. Derivation of Asymptote for SOP (SPSC, IP)

In order to analyze the asymptotic behavior of derived expression for the SOP in the range of high MER values, we recall ([36], eq. (07.34.06.0001.01)). By utilizing the first term in the series expansion of Meijer’s G function in (23), the asymptotic SOP can be evaluated as
P out , asymp L = e K U K E Γ m s U Γ m s U i U , i E = 0 K U i U K E i E i U ! i E ! 2 Γ i U + 1 m s M Γ m s E + m s U Γ 1 + i E + m s U m s U z m s U + Γ m s U i U 1 Γ m s E + i U + 1 Γ 2 + i E + i U i U + 1 z i U + 1 = S 1 + S 2 ,
where z = 1 + K U m s U R s 1 + K E m s E λ . The first addend can be simplified by recalling the definition of hypergeometric 1F1(.) function ([36], eq. (07.20.02.0001.01)) and Laguerre’s function, L m S U 1 . , defined by ([36], eq. (07.02.06.0002.01)), which implies the following
S 1 = e K U K E Γ m s E + m s U Γ m s U Γ m s E m s U z m S U i E = 0 K E i E i E ! 2 Γ 1 + i E + m s U i U = 0 K U i U Γ i U + 1 m s U i U ! 2 =    = e K U K E Γ m s E + m s U Γ 1 m s U z m s U Γ m s E F 1 1 1 + m s U , 1 , K E L m s E 1 K U .
For the second addend in (A5), we proceed with the following derivation
S 2 = e K U K E Γ m s U Γ m s E i E = 0 K E i E i E ! 2 i U = 0 K U i U Γ m s U i U 1 Γ m s E + i U + 1 Γ 2 + i E + i U i U ! 2 i U + 1 z i U + 1    = e K U K E Γ m s U 1 Γ m s E + 1 Γ m s U Γ m s E z i E = 0 K E i E i E ! 2 Γ 2 + i E F 2 2 i E + 2 , m s E + 1 ; 2 , 2 m s U ; K U z ,
where we conveniently use the generalized hypergeometric function to replace the infinite sum over iU. Since we seek an asymptotic form for large MER values, this implies z 0 + . Therefore, we use a generalized hypergeometric series ([34], eq. (9.14.1)) as Maclaurin series of the function, i.e., F 2 2 a , b ; c , d ; z = c 0 + c 1 z + c 2 z 2 + o z 2 . Then, we proceed with
S 2 = e K U K E m s E m s U 1 z i E = 0 K E i E i E ! 2 Γ 2 + i E 1 + i E + 2 m s E + 1 2 m s U 2 K U z + o z 2    = e K U K E m s E m s U 1 z e K E 1 + K E + m s E + 1 2 + K E 4 + K E 2 m s U 2 K U z + o z 2 .
After taking only the terms up to the second order and simplifying them, we obtain
S 2 m s E e K U m s U 1 z 1 + K E + m s E + 1 2 + K E 4 + K E 2 m s U 2 K U z .
Finally, by substituting (A6) and (A9) in (A5), we obtain (24).

References

  1. Tirmizi, S.B.R.; Chen, Y.; Lakshminarayana, S.; Feng, W.; Khuwaja, A.A. Hybrid satellite–terrestrial networks toward 6G: Key technologies and open issues. Sensors 2022, 22, 8544. [Google Scholar] [CrossRef]
  2. Pastukh, A.; Tikhvinskiy, V.; Dymkova, S.; Varlamov, O. Challenges of using the L-band and S-band for direct-to-cellular satellite 5G–6G NTN systems. Technologies 2023, 11, 110. [Google Scholar] [CrossRef]
  3. Kodheli, O.; Lagunas, E.; Maturo, N.; Sharma, S.K.; Shankar, B.; Montoya, J.F.M.; Duncan, J.C.M.; Spano, D.; Chatzinotas, S.; Kisseleff, S.; et al. Satellite communications in the new space era: A survey and future challenges. IEEE Commun. Surv. Tutor. 2021, 23, 70–109. [Google Scholar] [CrossRef]
  4. Liu, J.; Shi, Y.; Zhao, L.; Cao, Y.; Sun, W.; Kato, N. Joint placement of controllers and gateways in SDN-enabled 5G-satellite integrated network. IEEE J. Sel. Areas Commun. 2018, 36, 221–232. [Google Scholar] [CrossRef]
  5. Gopal, R.; BenAmmar, N. Framework for unifying 5G and next generation satellite communications. IEEE Netw. 2018, 32, 16–24. [Google Scholar] [CrossRef]
  6. Hu, X.; Liu, S.; Chen, R.; Wang, W.; Wang, C. A Deep. Reinforcement learning-based framework for dynamic resource allocation in multibeam satellite systems. IEEE Commun. Lett. 2018, 22, 1612–1615. [Google Scholar] [CrossRef]
  7. Su, Y.; Liu, Y.; Zhou, Y.; Yuan, J.; Cao, H.; Shi, J. Broadband LEO satellite communications: Architectures and key technologies. IEEE Wirel. Commun. 2019, 26, 55–61. [Google Scholar] [CrossRef]
  8. Mayorga, I.L.; Soret, B.; Röper, M.; Wübben, D.; Matthiesen, B.; Dekorsy, A.; Popovski, P. LEO small-satellite constellations for 5G and beyond-5G communications. IEEE Access 2020, 8, 184955–184964. [Google Scholar] [CrossRef]
  9. Talgat, A.; Wang, R.; Kishk, M.A.; Alouini, M.-S. Enhancing physical layer security in LEO satellite-enabled IoT network communications. IEEE Internet Things J. 2024, 11, 33967–33979. [Google Scholar] [CrossRef]
  10. Ledesma, O.; Lamo, P.; Fraire, J.A. Trends in LPWAN technologies for LEO satellite constellations in the NewSpace context. Electronics 2024, 13, 579. [Google Scholar] [CrossRef]
  11. Tedeschi, P.; Sciancalepore, S.; Di Pietro, R. Satellite-based communications security: A survey of threats, solutions, and research challenges. Comp. Netw. 2022, 216, 109246. [Google Scholar] [CrossRef]
  12. Kang, M.; Park, S.; Lee, Y. A survey on satellite communication system security. Sensors 2024, 24, 2897. [Google Scholar] [CrossRef] [PubMed]
  13. Han, S.; Li, J.; Meng, W.; Guizani, M.; Sun, S. Challenges of physical layer security in a satellite-terrestrial network. IEEE Netw. 2022, 36, 98–104. [Google Scholar] [CrossRef]
  14. Kumar, R.; Arnon, S. Review of physical layer security in integrated satellite–terrestrial networks. Electronics 2024, 13, 4414. [Google Scholar] [CrossRef]
  15. Wyner, A.D. The wire-tap channel. Bell Syst. Tech. J. 1975, 54, 1355–1387. [Google Scholar] [CrossRef]
  16. Bloch, M.; Barros, J.; Rodrigues, M.; McLaughlin, S. Wireless information-theoretic security. IEEE Trans. Inf. Theory 2008, 54, 2515–2534. [Google Scholar] [CrossRef]
  17. Tropea, M.; De Rango, F. A comprehensive review of channel modelling for land mobile satellite communications. Electronics 2022, 11, 820. [Google Scholar] [CrossRef]
  18. Loo, C. A statistical model for a land mobile satellite link. IEEE Trans. Veh. Technol. 1985, VT-34, 122–127. [Google Scholar]
  19. Lutz, E.; Cygan, D.; Dippold, M.; Dolainsky, F.; Papke, W. The land mobile satellite communication channel—Recording, statistics and channel model. IEEE Trans. Vehh. Technol. 1991, 40, 375–386. [Google Scholar] [CrossRef]
  20. Suzuki, H.A. Statistical model of mobile radio reception. IEEE Trans. Commun. 1977, 25, 673–680. [Google Scholar] [CrossRef]
  21. Patzold, M.; Killat, U.; Laue, F. An extended Suzuki model for land mobile satellite channels and its statistical properties. IEEE Trans. Veh. Technol. 1998, 47, 617–630. [Google Scholar] [CrossRef]
  22. Hornillo-Mellado, S.; Martín-Clemente, R.; Baena-Lecuyer, V. Prediction of satellite shadowing in smart cities with application to IoT. Sensors 2020, 20, 475. [Google Scholar] [CrossRef] [PubMed]
  23. Abdi, A.; Lau, W.; Alouini, M.-S.; Kaveh, M. A new simple model for land mobile satellite channels: First and second order statistics. IEEE Trans. Wirel. Commun. 2003, 2, 519–528. [Google Scholar] [CrossRef]
  24. Zhang, H.; Pan, G.; Ke, S.; Wang, S.; An, J. Outage analysis of cooperative satellite-aerial-terrestrial networks with spatially random terminals. IEEE Trans. Commun. 2022, 70, 4972–4987. [Google Scholar] [CrossRef]
  25. Pan, G.; Ye, J.; An, J.; Alouini, S. Latency versus reliability in LEO mega-constellations: Terrestrial, aerial, or space relay. IEEE Trans. Mob. Comput. 2023, 22, 5330–5345. [Google Scholar] [CrossRef]
  26. Zheng, G.; Arapoglou, P.-D.; Ottersten, B. Physical layer security in multibeam satellite systems. IEEE Trans. Wireless Commun. 2012, 11, 852–863. [Google Scholar] [CrossRef]
  27. Pang, X.; Zhao, N.; Tang, J.; Wu, C.; Niyato, D.; Wong, K.-K. IRS-assisted secure UAV transmission via joint trajectory and beamforming design. IEEE Trans. Commun. 2022, 70, 1140–1152. [Google Scholar] [CrossRef]
  28. Li, Y.; An, K.; Liang, T.; Yan, X. Secrecy performance of land mobile satellite systems with imperfect channel estimation and multiple eavesdroppers. IEEE Access 2019, 7, 31751–31761. [Google Scholar] [CrossRef]
  29. Zhang, Y.; Ye, J.; Pan, G.; Alouini, S.-M. Secrecy outage analysis for satellite-terrestrial downlink transmissions. IEEE Wirel. Commun. Lett. 2020, 9, 1643–1647. [Google Scholar] [CrossRef]
  30. An, K.; Liang, T.; Yan, X.; Zheng, G. On the secrecy performance of land mobile satellite communication systems. IEEE Access 2018, 6, 39606–39620. [Google Scholar] [CrossRef]
  31. Anastasov, J.; Ivanis, P.; Makal, J.; Djordjevic, G.T.; Milic, D. On the Secrecy Analysis of Satellite-Terrestrial Communication Link over Gamma-Shadowed Ricean Fading Channels. In Proceedings of the 2022 13th International Symposium on Communication Systems, Networks and Digital Signal Processing (CSNDSP), Porto, Portugal, 20–22 July 2022. [Google Scholar]
  32. Kostic, I.M. MGF for Gamma-shadowed Ricean fading channel. Eur. Trans. Telecommun. 2008, 19, 155–159. [Google Scholar] [CrossRef]
  33. Wang, R.; Zhou, F. Physical layer security for land mobile satellite communication networks with user cooperation. IEEE Access 2019, 7, 29495–29505. [Google Scholar] [CrossRef]
  34. Gradshteyn, I.S.; Ryzhik, I.M. Table of Integrals, Series, and Products, 8th ed.; Academic press: Oxford, UK, 2014. [Google Scholar] [CrossRef]
  35. Prudnikov, A.P.; Brychkov, Y.A.; Marichev, O.I. Integral and Series: Volume 3, More Special Functions; CRC Press Inc.: New York, NY, USA, 1990. [Google Scholar]
  36. The Mathematical Functions Site; Wolfram Research, Inc.: Champaign, IL, USA, 1998–2024; Available online: https://functions.wolfram.com (accessed on 2 June 2024).
  37. Adamchik, V.S.; Marichev, O. The algorithm for calculating integrals of hypergeometric type functions and its realization in REDUCE system. In Proceedings of the International Symposium on Symbolic and Algebraic Computation, Tokyo, Japan, 20–24 August 1990. [Google Scholar]
  38. Shannon, C.E. Communication theory of secrecy systems. Bell Syst. Tech. J. 1949, 28, 656–715. [Google Scholar] [CrossRef]
  39. Peppas, K.P. A new formula for the average bit error probability of dual-hop amplify-and-forward relaying systems over generalized shadowed fading channels. IEEE Wirel. Commun. Lett. 2012, 1, 85–88. [Google Scholar] [CrossRef]
  40. Chergui, H.; Benjillali, M.; Saoudi, S. Performance analysis of project-and-forward relaying in mixed MIMO-pinhole and Rayleigh dual-hop channel. IEEE Commun. Lett. 2016, 20, 610–613. [Google Scholar] [CrossRef]
Figure 1. System model. (a) User in the center of the beam spot; (b) Users arbitrarily located inside disk of radius R.
Figure 1. System model. (a) User in the center of the beam spot; (b) Users arbitrarily located inside disk of radius R.
Electronics 14 00293 g001
Figure 2. ASC versus the average SNR, γ ¯ U , for different S’s altitudes.
Figure 2. ASC versus the average SNR, γ ¯ U , for different S’s altitudes.
Electronics 14 00293 g002
Figure 3. IP versus the E’s distance for different fading depths and MERs.
Figure 3. IP versus the E’s distance for different fading depths and MERs.
Electronics 14 00293 g003
Figure 4. SOP versus the E’s distance for different values of 3 dB angle.
Figure 4. SOP versus the E’s distance for different values of 3 dB angle.
Electronics 14 00293 g004
Figure 5. SOP versus MER for different shadowing severity when users are arbitrarily located within a specific circle disk.
Figure 5. SOP versus MER for different shadowing severity when users are arbitrarily located within a specific circle disk.
Electronics 14 00293 g005
Figure 6. SPSC versus MER for different system/channel parameters.
Figure 6. SPSC versus MER for different system/channel parameters.
Electronics 14 00293 g006
Figure 7. Intercept probability vs. MER for different positions of legitimate users.
Figure 7. Intercept probability vs. MER for different positions of legitimate users.
Electronics 14 00293 g007
Table 1. List of metrics describing PLS performance for different CSIs cases.
Table 1. List of metrics describing PLS performance for different CSIs cases.
MetricName of the Performance Metric Conditions That ApplyMetric Information EstimateDetails/Comments
SCSecrecy capacityPerfect knowledge of both, user’s and eavesdropper’s CSI.Most informativeInstantaneous capacity of secretive communication channel. Can be negative.
ASCAverage secrecy capacityKnowledge of both CSIs in terms of PDFs for the specific environment.Fairly informativeAverage of SC for specific geometrical model and/or fading conditions.
SOPSecrecy outage probabilityPerfect knowledge of main user’s CSI. Eavesdropper’s CSI assumed statistically, given as PDF for specific fading/geometric environment.Slightly less informativeProbability that secrecy experiences outage, i.e., SC becomes lower than prescribed. A lower bound of this metric is known and commonly used in the literature.
IPIntercept probabilitySame as previous.Less informativeProbability of negative secrecy capacity. Equal to zero-threshold SOP. Relevant from the eavesdropper’s viewpoint.
SPSCStrictly positive secrecy capacitySame as previous.Less informativeComplementary to IP. Probability that SC would be strictly positive. Relevant from the main user’s viewpoint.
Disclaimer/Publisher’s Note: The statements, opinions and data contained in all publications are solely those of the individual author(s) and contributor(s) and not of MDPI and/or the editor(s). MDPI and/or the editor(s) disclaim responsibility for any injury to people or property resulting from any ideas, methods, instructions or products referred to in the content.

Share and Cite

MDPI and ACS Style

Radojkovic, I.; Anastasov, J.; Milic, D.N.; Ivaniš, P.; Djordjevic, G.T. Secrecy Analysis of LEO Satellite-to-Ground Station Communication System Influenced by Gamma-Shadowed Ricean Fading. Electronics 2025, 14, 293. https://doi.org/10.3390/electronics14020293

AMA Style

Radojkovic I, Anastasov J, Milic DN, Ivaniš P, Djordjevic GT. Secrecy Analysis of LEO Satellite-to-Ground Station Communication System Influenced by Gamma-Shadowed Ricean Fading. Electronics. 2025; 14(2):293. https://doi.org/10.3390/electronics14020293

Chicago/Turabian Style

Radojkovic, Ivan, Jelena Anastasov, Dejan N. Milic, Predrag Ivaniš, and Goran T. Djordjevic. 2025. "Secrecy Analysis of LEO Satellite-to-Ground Station Communication System Influenced by Gamma-Shadowed Ricean Fading" Electronics 14, no. 2: 293. https://doi.org/10.3390/electronics14020293

APA Style

Radojkovic, I., Anastasov, J., Milic, D. N., Ivaniš, P., & Djordjevic, G. T. (2025). Secrecy Analysis of LEO Satellite-to-Ground Station Communication System Influenced by Gamma-Shadowed Ricean Fading. Electronics, 14(2), 293. https://doi.org/10.3390/electronics14020293

Note that from the first issue of 2016, this journal uses article numbers instead of page numbers. See further details here.

Article Metrics

Back to TopTop