Next Article in Journal
Design and Evaluation of a Hip-Only Actuated Lower Limb Exoskeleton for Lightweight Gait Assistance
Previous Article in Journal
Face Morphing Attack Detection Using Similarity Score Patterns Between De-Morphed and Live Images
Previous Article in Special Issue
Dual Circularly Polarized Textile Antenna with Dual Bands and On-/Off-Body Communication Modes for Multifunctional Wearable Devices
 
 
Font Type:
Arial Georgia Verdana
Font Size:
Aa Aa Aa
Line Spacing:
Column Width:
Background:
Article

High-Isolation Compact Wideband MIMO Antennas for 5G Smartphones with Unbroken Metal Frames

1
Xi’an ZTE Technology Co., Ltd., No. 1088, Xifeng South Road, High-tech Zone, Xi’an 710000, China
2
Yangtze Delta Region Institute (Quzhou), University of Electronic Science and Technology of China (UESTC), Quzhou 324003, China
*
Author to whom correspondence should be addressed.
Electronics 2025, 14(19), 3852; https://doi.org/10.3390/electronics14193852
Submission received: 25 August 2025 / Revised: 17 September 2025 / Accepted: 26 September 2025 / Published: 28 September 2025
(This article belongs to the Special Issue Antenna Design and Its Applications, 2nd Edition)

Abstract

This article presents a novel design method for realizing wideband operation and excellent isolation in fifth-generation (5G) multiple-input multiple-output (MIMO) systems. The proposed MIMO antenna employs a ground-plane slot in the shape of the Chinese character “工” and maintains an unbroken metal frame, thereby avoiding slot openings on the rim. The theory of characteristic modes (TCM) is applied to determine appropriate feeding structures and locations for two functional antenna modules. This design achieves wide bandwidth and high isolation without requiring additional decoupling structures, simplifying the overall system. Two prototype arrays, consisting of four and eight antenna elements, were implemented for 5G operation in the 3.4–5.0 GHz band. The measured results confirm isolation levels above 21.6 dB and 16.2 dB for the four- and eight-element arrays, respectively, with envelope correlation coefficients (ECCs) below 0.16. These results indicate that the proposed design is a promising solution for integration into 5G smartphones.

1. Introduction

Fifth-generation (5G) mobile communication technology is characterized by large bandwidth, low latency, and wide coverage, which not only enhances user experience in consumer internet applications but also drives the rapid development of Internet of Things (IoT) scenarios [1,2]. Among the enabling technologies, multiple-input multiple-output (MIMO) has been widely adopted in 5G systems to improve channel capacity, spectrum efficiency, and transmission rates. However, the increasing number of antennas required in smartphones often leads to reduced isolation between antenna elements, thereby degrading channel capacity and overall system performance. Thus, one of the key challenges in 5G MIMO antenna design is to achieve wideband performance within the limited internal space of smartphones while maintaining high isolation.
Another critical challenge is to design high-performance 5G antennas without compromising the integrity of the metal frame. Metal-framed smartphones are popular due to their sleek appearance and premium feel. Nevertheless, the presence of a metal frame complicates antenna design. To mitigate this issue, breakpoints are often etched into the frame to improve antenna performance, but this approach may compromise the device esthetics. Furthermore, when a user’s hand touches the frame at these breakpoints, antenna performance and user experience can be adversely affected.
Various decoupling techniques have been investigated to enhance isolation, including neutralization lines [3,4,5,6,7,8,9], parasitic elements [10,11,12,13], lumped components [14,15,16,17,18], polarization diversity [19,20,21,22,23], self-isolation [24,25,26,27,28,29,30], orthogonal modes [31,32], and common/differential mode (CM/DM) designs [33]. However, these methods often involve trade-offs among bandwidth, isolation, structural complexity, or frame integrity. For instance, the 8-element dual-band MIMO antenna proposed in [10] uses decoupling stubs to improve isolation from 10 dB to 15.1 dB within the 3.3–3.6 GHz band; however, this improvement results in a narrow 0.3 GHz bandwidth and increased PCB area due to the additional stub structures. The multi-slot decoupling technique in [11] achieves 15.5 to 19.0 dB isolation across its operating bands. However, it is limited to two narrow bands with modest relative bandwidths of 12.2% and 15.4%, respectively—failing to cover the full 3.4–5.0 GHz frequency range needed for 5G smartphone applications. The ultra-wideband MIMO antenna system presented in [13] employs multiple T-and C-shaped slots etched into the metal frame to achieve an operating band of 3.3–6.0 GHz. However, this approach requires numerous patterned apertures, which increases fabrication complexity and weakens the metal frame’s structural integrity. Additionally, the design lacks scalability to higher-element MIMO configurations, limiting its use in multi-antenna systems requiring increased channel capacity. The design in [17] achieves a 6 dB bandwidth from 3.3 to 5.0 GHz but offers only over 10 dB isolation and requires breakpoints in the metal rim, which compromises mechanical robustness and aesthetic quality. In [18] employs a chip-based capacitive decoupler to attain good isolation around 3.5 GHz; however, it introduces significant system complexity and provides a narrow bandwidth of only 3.4–3.6 GHz. The 12-element dual-polarized MIMO array introduced in [19] attains isolation greater than 20 dB through orthogonal polarization diversity. Nevertheless, it operates exclusively within the 3.4–3.6 GHz band, providing a limited bandwidth of merely 0.2 GHz, insufficient to support the multi-band spectrum requirements of contemporary 5G devices. The self-decoupled antenna pair presented in [25] employs a simplified structure that eliminates additional decoupling components. However, it achieves only 11.5 dB isolation across the 3.3–4.2 GHz band. Moreover, when extended to an 8 × 8 MIMO configuration, the isolation further deteriorates to 10.5 dB, falling significantly below the level necessary for high-efficiency MIMO systems. Although orthogonal-mode designs [31] and [32] deliver excellent isolation (>20 dB), they are limited to the 3.4–3.6 GHz band. Similarly, the CM/DM approach [33] enhances isolation within a similarly restricted bandwidth. Therefore, achieving both wideband operation (covering 3.4–5.0 GHz) and high isolation in unbroken metal-frame smartphones remains a significant challenge.
In this work, we propose compact 4 × 4 and 8 × 8 wideband MIMO antenna arrays for 5G smartphones, which cover the 3.4–5.0 GHz band with measured isolation exceeding 21.6 dB and 16.2 dB, respectively. In contrast to existing designs, the proposed structure requires no breakpoints in the metal rim, thereby preserving mechanical integrity and visual appeal. It also avoids additional decoupling components, reducing design complexity. The good agreement between simulation and measurement results confirms the design’s feasibility for practical applications.
In the following sections, Section 2 details the antenna configuration, operating principle, and single-element/antenna pair analysis. Section 3 presents simulation and measurement results of the four-element and eight-element arrays, including performance under component integration and hand grip. Section 4 compares the proposed design with state-of-the-art literature. Section 5 concludes the work and discusses future directions.

2. Design and Analysis of Proposed Antenna

2.1. Configuration of the Antenna

Figure 1 shows the geometry of the proposed unbroken metal-framed 5G antenna. As shown in Figure 1a, an FR4 substrate with a thickness of 0.8 mm, a dielectric constant of 4.4, and a loss tangent of 0.024 is used with a system printed circuit board (PCB) with a dimension of 150 × 75 mm2. A metal frame surrounds the substrate with a thickness of 0.8 mm and a height of 6 mm. A “工” shaped slot with a width of 0.8 mm is located at the bottom layer of the PCB. This unbroken metal-framed antenna has two modules: four wideband antennas (Ants 1, 2, 3, 4) and two shared aperture antenna pairs (Ants 5, 6, 7, 8). The wideband antenna consists of a “工” slot and an F-shaped 50 Ω feed microstrip line with a width of 1.5 mm. The shared aperture antenna pair comprises two L-shaped feeding lines and the “工” slot. More details will be introduced in the following sections.

2.2. Operation of Principle

In the design of 5G mobile phone antennas, opening slots in the metal frame is an effective method to enhance performance. As shown in Figure 2a, such a configuration supports two characteristic modes: Mode 1a, an open-slot mode with in-phase currents along the slot, and Mode 2a, a classic slot mode with out-of-phase currents. The orthogonal radiation patterns of these modes allow the realization of broadband 5G antennas [17] or high-isolation MIMO antennas [33] through appropriate feeding techniques. However, such broken-frame designs are highly sensitive to user interaction, with hand proximity significantly degrading antenna performance.
An unbroken metal-frame antenna is proposed to improve mechanical robustness and reduce sensitivity to user effects, as illustrated in Figure 2b. Open-slot structures 1 and 2 share a common segment AB, forming two distinct current paths that excite Mode 3 (in-phase) and Mode 4 (out-of-phase). The combination of these slot structures also generates a hybrid Mode 5. Both broadband and MIMO operation can be achieved through proper excitation of these characteristic modes. Broadband performance is attained via complementary resonances from multiple modes: while Modes 1 and 2 enhance impedance bandwidth in the broken-frame design, Modes 3–5 collectively enable wideband coverage in the unbroken-frame design through multi-mode excitation. The spatial and polarization orthogonality of the dominant modes ensures high port isolation in the MIMO system. Although not explicitly illustrated with field vectors in Figure 2, the orthogonality between modes such as Mode 1 and Mode 2 results from their complementary current phase distributions—specifically, the in-phase and out-of-phase current paths along different segments of the “工”-shaped slot, which produce radiated fields with orthogonal polarizations. This inherent pola/rization diversity, combined with strategically placed independent ports and orthogonal radiation patterns, effectively minimizes mutual coupling and maintains low envelope correlation across the operating band.

2.3. Single-Antenna Element Analysis

To validate the proposed concept, characteristic mode analysis (CMA) [34] was employed, as it provides clear physical insights into antenna behavior. The modal significances and Eigen currents are illustrated in Figure 3. It can be observed that the current distributions of the three dominant modes are similar, which is consistent with the structure shown in Figure 2b. The maximum current density appears near the corners of the open-slot structure, while the minimum current occurs along the central symmetry line. This property makes the structure highly suitable for broadband 5G antenna design, since multiple modes can be simultaneously excited with appropriate feeding.
As shown in Figure 4, Antenna 1 (Ant 1) generates two resonances within the 3.4–5.0 GHz operating band using an L-shaped feeding line. By contrast, the proposed antenna achieves a wider bandwidth (3.3–5.0 GHz) through an F-shaped feeding structure, which excites four resonant modes labeled R1–R4. The first two modes (R1 and R2) are identical to those in Ant 1, originating from the intrinsic in-phase and out-of-phase current paths of open slot structure I (shown in Figure 2b), covering the low-frequency range of 3.3–3.6 GHz. The third and fourth modes (R3 and R4) are excited by electromagnetic coupling between the additional microstrip line AC (a key branch of the F-shaped feed) and the open slot structure I. Since the open slot I inherently supports two current paths (in-phase/out-of-phase), introducing microstrip line AC creates two new resonant loops: the AC segment is placed parallel to the open slot structure I, and their mutual coupling generates two resonant frequencies (4.2 and 4.6 GHz). The corresponding surface current distributions for these resonant modes are illustrated in Figure 5.
Notably, the microstrip line AC also serves as a tunable impedance compensation unit to improve overall impedance matching. By adjusting the length of AC (Feed_L2), the coupling strength between AC and the open slot structure I can be precisely tuned, adjusting the input impedance of R1 and R2 to be closer to 50 Ω, as observed in the Smith chart, Figure 6, where the green curve for the proposed antenna is more concentrated around the 50 Ω point compared to the Ant 1. This impedance optimization eliminates the impedance mismatch of the “工”-shaped slot in the 3.3–3.6 GHz (between R1 and R2) and 4.2–4.7 GHz (between R3 and R4) ranges. Ultimately, the complementary coverage of R1 (3.3–3.6 GHz), R2 (3.5–3.8 GHz), R3 (3.8–4.3 GHz), and R4 (4.4–5.0 GHz) enables the antenna to achieve continuous bandwidth across 3.3–5.0 GHz.
To clarify the operating mechanism of the antenna and offer clear design guidance for bandwidth adjustment, a systematic parametric analysis was conducted to evaluate the influence of key structural parameters on the resonant modes, as shown in Figure 7.
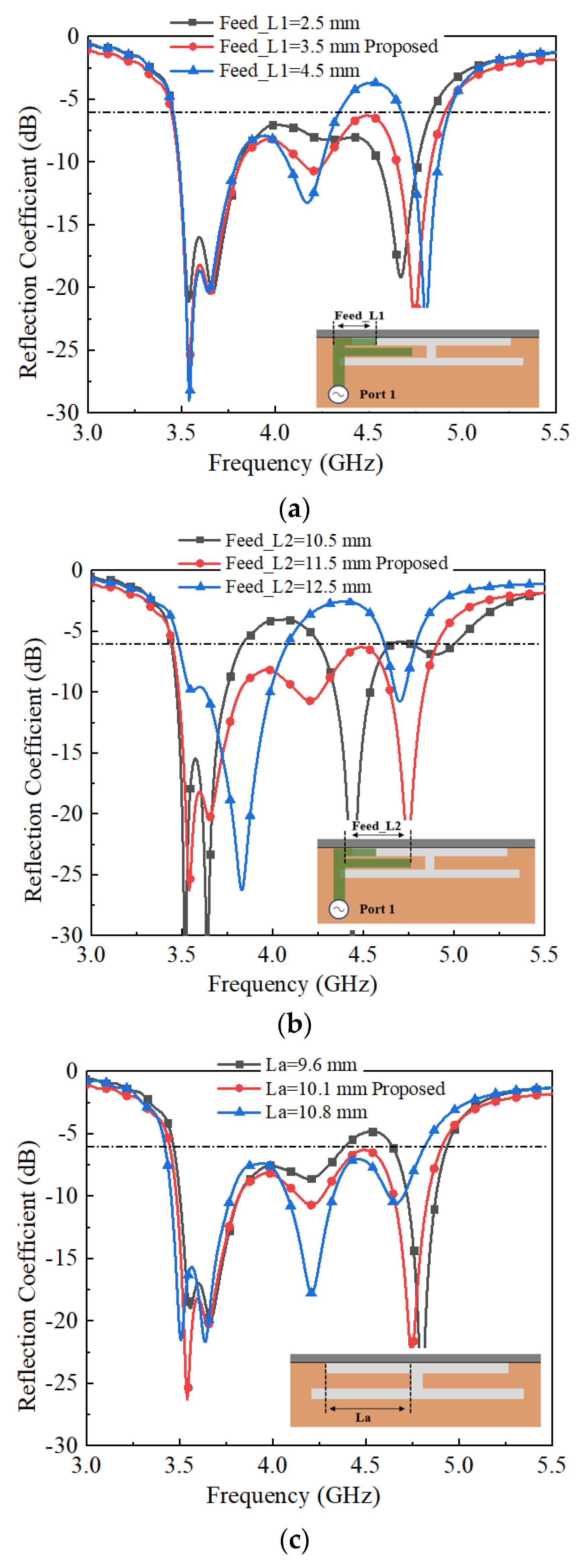
As shown in Figure 7a, the parameter Feed_L1 mainly affects the high-frequency band (4.5–5.0 GHz), which is dominated by modes R3 and R4. Reducing Feed_L1 has little effect on R1 and R2 but causes R3 to shift to higher frequencies and R4 to lower frequencies. This change reduces the gap between R3 and R4, thereby enhancing impedance matching and ensuring continuous coverage in the high-frequency range of the target 3.4–5.0 GHz band.
Figure 7b shows that Feed_L2 significantly impacts all resonant modes. Increasing Feed_L2 causes a slight shift in R1 and R2 while consistently moving both R3 and R4 to lower frequencies. This feature allows effective control over the total bandwidth envelope; an 11.5 mm value for Feed_L2 provides enough mode overlap to fully cover the target band.
As observed in Figure 7c, decreasing the parameter La causes an upward shift in R1, R3, and R4, while R2 remains largely unchanged. Since R2 functions as the main resonance in the mid-band (3.8–4.2 GHz), fixing La at 10.1 mm effectively contains the shifting of other modes without disrupting mid-band continuity, thereby stabilizing the overall frequency response.
Figure 7d shows that decreasing Lb selectively shifts only R2 upward in frequency, with minimal effects on other modes. This feature allows precise tuning of the mid-band performance. An optimized Lb value of 14.0 mm ensures proper alignment of R2 with R1 and R3, eliminating gaps in the 3.8–4.2 GHz range.
It is worth noting that R1 and R2, originating from the “工”-shaped slot, remain relatively stable under variations in the feed structure. In contrast, R3 and R4 are more sensitive to feed parameters such as Feed_L1 and Feed_L2. This difference in modal dependence allows R1 and R2 to function as orthogonally polarized elements supporting MIMO operation, while R3 and R4 primarily contribute to bandwidth expansion. Together, these modes facilitate a combination of wideband performance and high isolation, as confirmed by the simulated S-parameters in Figure 8b.

2.4. Antenna Pair Analysis

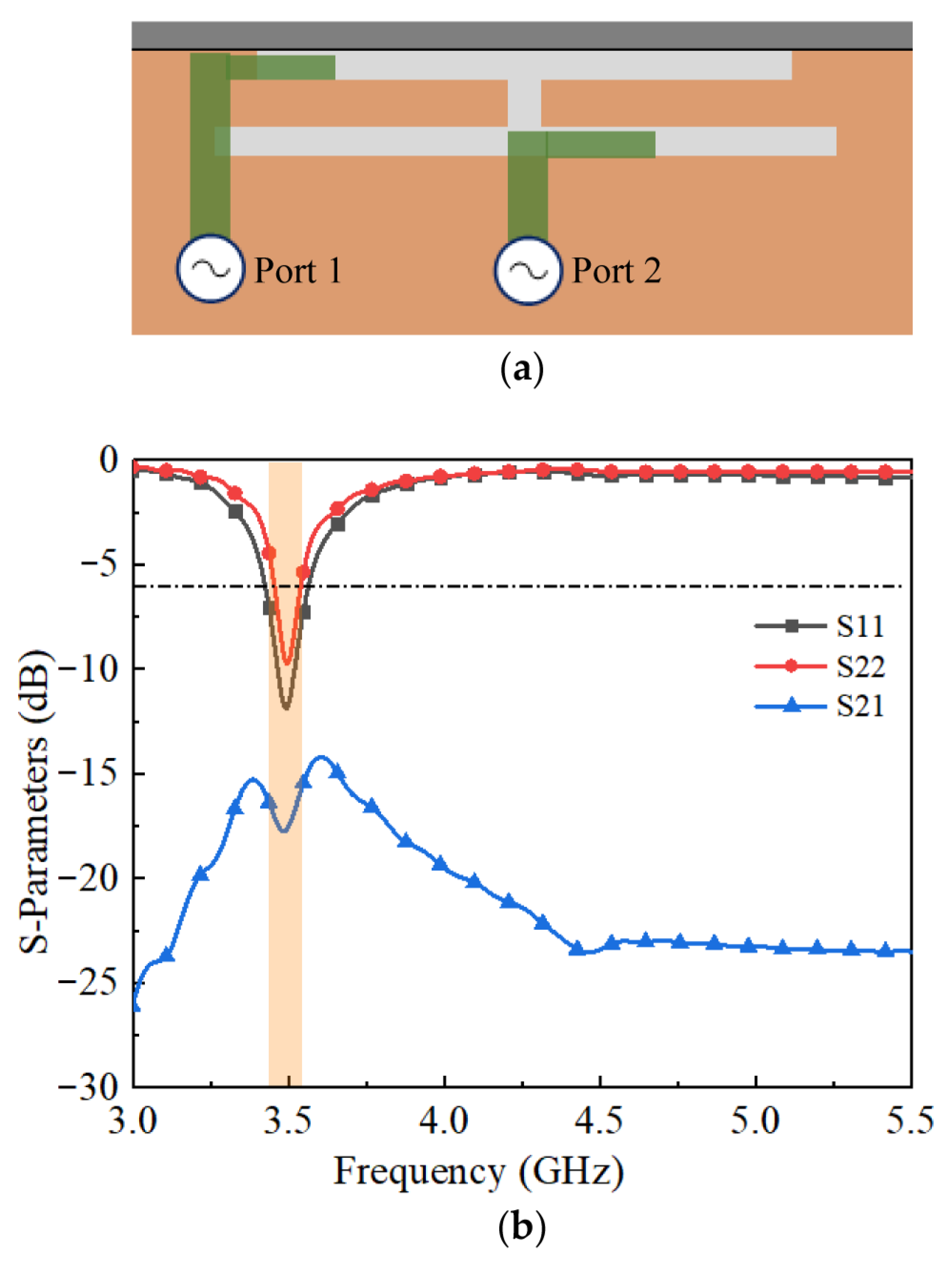
After analyzing the characteristics of a single antenna element in Section 2.3, an antenna pair is constructed and analyzed. The proposed antenna pair is shown in Figure 8a. To enhance MIMO isolation, the feed structure of Ant 1 remains unchanged, while the feed of Ant 2 is strategically positioned along the symmetric central axis of the structure. Through characteristic mode analysis, this axis is identified as a minimum-current region as illustrated in Figure 3, where inherent current sparsity suppresses conductive coupling to Ant 1. To further mitigate crosstalk, an L-shaped coupled feeding structure is adopted: instead of direct conduction, it excites Ant 2 via electromagnetic coupling, eliminating the direct current path between ports. This dual strategy, which utilizes both the symmetric low-current location and non-contact coupling, synergistically reduces mutual coupling to 18.1 dB and confirms the design’s effectiveness in isolating co-located antennas.
Figure 9 illustrates the simulated current distributions of the proposed antenna pair. When Port 1 is excited, only a negligible portion of current flows into Port 2, and vice versa, indicating effective suppression of mutual coupling and resulting in high isolation.
To further clarify the mechanism of high isolation, parametric studies were carried out on the geometric parameters L4 and L5. The effect of varying L4 is shown in Figure 10a. As L4 increases from 11.2 mm to 13.2 mm, the resonant frequency of both Antennas 1 and 2 shifts to higher frequencies. Moreover, L4 strongly influences the isolation of the proposed antenna pair because Mode R2 introduces coupling, with currents flowing from Port 2 into Port 1. To suppress the excitation of Mode R2, L4 was optimized to 12.2 mm.
The influence of L5 on the antenna pair is presented in Figure 10b. It can be observed that varying L5 from 12.5 mm to 13.5 mm shifts the resonant frequency of Ant 2 downward, while the resonant frequency of Ant 1 remains nearly unchanged. This behavior is reasonable, as the first mode is generated by the open structure I rather than structure II. Consequently, L5 has only a minor effect on the overall performance. After optimization, L5 was fixed at 13.0 mm.
From these parametric studies, it can be concluded that the isolation performance of the proposed antenna pair mainly depends on the feeding position and the length of open-slot structure I. With appropriate tuning of these parameters, strong decoupling between the two antennas can be effectively achieved.

3. Performance Evaluation

Based on the different feeding strategies, both a broadband antenna and a high-isolation antenna pair have been developed. To further validate their effectiveness in practical MIMO systems, two prototypes were constructed: a four-antenna-element array and an eight-antenna-element array.

3.1. Four-Antenna MIMO Array

As illustrated in Figure 11, the four-element array was designed using the proposed broadband antenna element, with the detailed dimensions provided in Section 2.3. The simulated S-parameters of this configuration are shown in Figure 12. Owing to the symmetrical structure, all reflection coefficients exhibit similar behavior. The isolation between antenna elements is better than −20.5 dB across the operating band, demonstrating excellent performance and confirming the suitability of the design for 5G smartphone applications.

3.2. Eight-Antenna MIMO Array

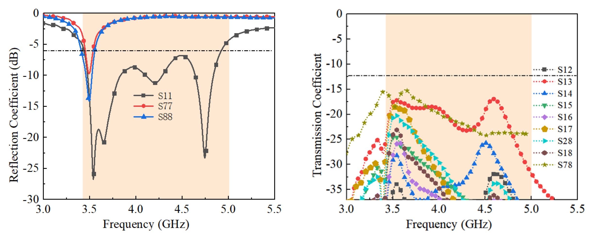
To further enhance channel capacity, an eight-antenna-element MIMO system was developed, as shown in Figure 13. This configuration consists of four wideband antenna elements and two antenna pairs, with the spacing between modules along the same sideboard illustrated in Figure 1. The simulated S-parameters of the eight-element array are presented in Figure 14. The results demonstrate that the 6 dB impedance bandwidth fully covers the target frequency range, while maintaining isolation levels above 15.2 dB. These findings highlight the strong potential of the proposed design for 5G smartphone applications.

3.3. Measurement Results

The proposed four-element and eight-element MIMO arrays were fabricated and experimentally evaluated, as shown in Figure 15. During single-port measurements, all unused ports were terminated with 50 Ω loads to ensure accuracy. Due to the symmetrical structure of the arrays, only the results of Antenna 1 (4 × 4 MIMO) and Antennas 1, 7, and 8 (8 × 8 MIMO) are presented. As shown in Figure 16, the measured 6 dB bandwidths fully cover the desired frequency range, with isolation exceeding 21.6 dB for the four-element array and 16.2 dB for the eight-element array. Furthermore, the measured responses are in close agreement with the simulated results. The measured total efficiencies of both MIMO arrays exceed 40%, as illustrated in Figure 17.
The envelope correlation coefficients (ECCs), derived from S-parameters and efficiency [35,36], are also shown in Figure 17. All ECC values remain well below the threshold of 0.5, confirming excellent diversity performance. In addition, the simulated and measured radiation patterns at 3.5 GHz are presented in Figure 18 for Antenna 1 of the 4 × 4 array and Antennas 1 and 7 of the 8 × 8 array. A strong agreement is observed between measured and simulated results in the XOY plane, validating the reliability of the proposed design.

3.4. Effect of Components

To obtain a detailed analysis of how key smartphone components influence the performance of the proposed antenna, three representative components were integrated into a typical smartphone layout, as shown in Figure 19: a battery (100 mm × 55 mm × 3 mm, ε r = 5 , tan δ   =   0 . 025 ), a standard 6-inch LCD screen ( σ = 1 × 10 12   S / m ), and a camera module (35 mm × 25 mm × 2.5 mm). The simulated reflection coefficients and total efficiency with this integrated layout are shown in Figure 19a,b, respectively. A slight decrease in total efficiency is observed, mainly due to localized electromagnetic coupling caused by the battery’s proximity to the antenna. Nevertheless, the overall impact of the battery, LCD screen, and metal frame on antenna performance is minimal, as shown in Figure 17b and Figure 19, thereby confirming the robustness of the proposed design in realistic smartphone configurations.

3.5. Effect of Hands

In this section, the impact of the user’s hand on the proposed eight-element MIMO array is examined. Two typical usage scenarios, talking and data modes, were simulated, with the setup illustrated in Figure 20. The simulated S-parameters and total efficiencies across all eight antennas demonstrate notable degradation when the hand is in proximity. Antennas located farther from the hand exhibit superior efficiency performance. This decline in performance is due to the lossy nature of human tissue, which absorbs radiated electromagnetic energy and thus deteriorates antenna characteristics. These findings confirm that the proposed MIMO array is susceptible to hand proximity, highlighting the critical need to account for user interaction in the design of practical smartphone MIMO systems.

4. Comparison

To highlight the novelty and advantages of the proposed design, Table 1 provides a comparison with recently reported 5G MIMO smartphone antennas. Most existing works cannot be directly integrated into metal-frame smartphones, thereby limiting their industrial applicability. For example, the design in [17] achieves a wide bandwidth of 3.3–5.0 GHz, but requires multiple slots in the metal frame, resulting in degraded performance when placed in proximity to human tissue. By contrast, the proposed 8 × 8 MIMO antenna array offers both wider bandwidth and higher isolation, while simultaneously preserving the integrity of the metal frame.
Although several previous designs have achieved high isolation without additional decoupling structures, the proposed array introduces a distinct advantage by exploiting intrinsic orthogonality through current-phase engineering. This approach fundamentally outperforms the layout-dependent isolation method reported in [37]. Consequently, the proposed design enables a unique space–bandwidth synergy that is highly desirable for ultra-compact 5G terminals. Overall, the proposed antennas overcome bandwidth limitations, ensure compatibility with unbroken metal frames, and provide spatial reusability, filling an important gap in the development of wideband 5G MIMO antennas for metal-rimmed smartphone applications.

5. Conclusions

This paper presents two compact and highly integrated MIMO antenna arrays specifically designed for 5G mobile terminals featuring unbroken metal frames. To the best of the authors’ knowledge, this work provides the first demonstration of a wideband MIMO antenna system fully integrated into a continuous metal structure, utilizing a strategically etched “工”-shaped slot on the PCB ground plane. The proposed design achieves wideband operation across 3.4–5.0 GHz with high isolation, without employing any external decoupling structures. Notably, the arrays maintain an envelope correlation coefficient (ECC) below 0.16 and an average total efficiency exceeding 40% for both configurations. These results underscore the design’s robustness and practicality, offering a compelling solution that simultaneously satisfies aesthetic, mechanical, and high-performance requirements for modern 5G smartphones.

Author Contributions

Conceptualization, Q.K. and L.C.; methodology, L.C.; software, L.C.; validation, Q.K., P.Z. and L.C.; formal analysis, L.C.; investigation, J.B.; resources, Q.K.; data curation, L.C.; writing—original draft preparation, L.C.; writing—review and editing, L.C.; visualization, L.C. and J.B.; supervision, Q.K.; project administration, P.Z.; funding acquisition, L.C. All authors have read and agreed to the published version of the manuscript.

Funding

This research was funded by ZTE Technology, Xi’an City, Shaanxi Province, grant number KY2024013; the Natural Science Foundation of China, grant No. 62401099; and the Municipal Government of Quzhou, grant nos. 2024D023 and 2023D017.

Data Availability Statement

The data are contained within the article.

Conflicts of Interest

Q.K. and P.Z. were employed by Xi’an ZTE Technology Co., Ltd. The remaining authors declare that the research was conducted in the absence of any commercial or financial relationships that could be construed as a potential conflict of interest.

References

  1. Andrews, J.G.; Buzzi, S.; Choi, W.; Hanly, S.V.; Lozano, A.; Soong, A.C.K.; Zhang, J.C. What will 5G be? IEEE J. Sel. Areas Commun. 2014, 32, 1065–1082. [Google Scholar] [CrossRef]
  2. Hong, W. Solving the 5G mobile antenna puzzle: Assessing future directions for the 5G mobile antenna paradigm shift. IEEE Microw. Mag. 2017, 18, 86–102. [Google Scholar] [CrossRef]
  3. Wong, K.L.; Lu, J.Y.; Chen, L.Y.; Li, W.Y.; Ban, Y.L. 8-antenna and 16-antenna arrays using the quad-antenna linear array as a building block for the 3.5-GHz LTE MIMO operation in the smartphone. Microw. Opt. Technol. Lett. 2016, 58, 174–181. [Google Scholar] [CrossRef]
  4. Guo, J.; Cui, L.; Li, C.; Sun, B. Side-Edge Frame Printed Eight-Port Dual-Band Antenna Array for 5G Smartphone Applications. IEEE Trans. Antennas Propag. 2018, 66, 7412–7417. [Google Scholar] [CrossRef]
  5. Li, M.-Y.; Ban, Y.-L.; Xu, Z.-Q.; Guo, J.; Yu, Z.-F. Tri-Polarized 12-Antenna MIMO Array for Future 5G Smartphone Applications. IEEE Access 2018, 6, 6160–6170. [Google Scholar] [CrossRef]
  6. Hu, W.; Liu, X.; Gao, S.; Wen, L.-H.; Qian, L.; Feng, T.; Xu, R.; Fei, P.; Liu, Y. Dual-Band Ten-Element MIMO Array Based on Dual-Mode IFAs for 5G Terminal Applications. IEEE Access 2019, 7, 178476–178485. [Google Scholar] [CrossRef]
  7. Jiang, W.; Liu, B.; Cui, Y.; Hu, W. High-Isolation Eight-Element MIMO Array for 5G Smartphone Applications. IEEE Access 2019, 7, 34104–34112. [Google Scholar] [CrossRef]
  8. Sun, L.; Li, Y.; Zhang, Z.; Feng, Z. Wideband 5G MIMO Antenna With Integrated Orthogonal-Mode Dual-Antenna Pairs for Metal-Rimmed Smartphones. IEEE Trans. Antennas Propag. 2020, 68, 2494–2503. [Google Scholar] [CrossRef]
  9. Miao, Y.; He, L.; Liu, G. A Miniaturized Eight-Port MIMO Antenna for 5G Ultra-Slim Smartphones. Electronics 2025, 14, 566. [Google Scholar] [CrossRef]
  10. Cui, L.; Guo, J.; Liu, Y.; Sim, C.-Y.-D. An 8-Element Dual-Band MIMO Antenna with Decoupling Stub for 5G Smartphone Applications. IEEE Antennas Wirel. Propag. Lett. 2019, 18, 2095–2099. [Google Scholar] [CrossRef]
  11. Hu, W.; Qian, L.; Gao, S.; Wen, L.-H.; Luo, Q.; Xu, H.; Liu, X.; Liu, Y.; Wang, W. Dual-Band Eight-Element MIMO Array Using Multi-Slot Decoupling Technique for 5G Terminals. IEEE Access 2019, 7, 153910–153920. [Google Scholar] [CrossRef]
  12. Parchin, N.O.; Al-Yasir, Y.I.A.; Ali, A.H.; Elfergani, I.; Noras, J.M.; Rodriguez, J.; Abd-Alhameed, R.A. Eight-Element Dual-Polarized MIMO Slot Antenna System for 5G Smartphone Applications. IEEE Access 2019, 7, 15612–15622. [Google Scholar] [CrossRef]
  13. Yuan, X.-T.; He, W.; Hong, K.-D.; Han, C.-Z.; Chen, Z.; Yuan, T. Ultra-Wideband MIMO Antenna System with High Element-Isolation for 5G Smartphone Application. IEEE Access 2020, 8, 56281–56289. [Google Scholar] [CrossRef]
  14. Zhao, L.; Yeung, L.K.; Wu, K.L. A coupled resonator decoupling network for two-element compact antenna arrays in mobile terminals. IEEE Trans. Antennas Propag. 2014, 62, 2767–2776. [Google Scholar] [CrossRef]
  15. Wu, C.; Chiu, C.; Ma, T. Very compact fully lumped decoupling network for a coupled two-element array. IEEE Antennas Wirel. Propag. Lett. 2016, 15, 158–161. [Google Scholar] [CrossRef]
  16. Deng, C.; Liu, D.; Lv, X. Tightly Arranged Four-Element MIMO Antennas for 5G Mobile Terminals. IEEE Trans. Antennas Propag. 2019, 67, 6353–6361. [Google Scholar] [CrossRef]
  17. Sun, L.; Li, Y.; Zhang, Z. Wideband Integrated Quad-Element MIMO Antennas Based on Complementary Antenna Pairs for 5G Smartphones. IEEE Trans. Antennas Propag. 2021, 69, 4466–4474. [Google Scholar] [CrossRef]
  18. Ye, Y.; Zhao, X.; Wang, J. Compact High-Isolated MIMO Antenna Module with Chip Capacitive Decoupler for 5G Mobile Terminals. IEEE Antennas Wirel. Propag. Lett. 2022, 21, 928–932. [Google Scholar] [CrossRef]
  19. Li, M.-Y.; Ban, Y.-L.; Xu, Z.-Q.; Wu, G.; Sim, C.-Y.-D.; Kang, K.; Yu, Z.-F. Eight-port orthogonally dual-polarized antenna array for 5G smartphone applications. IEEE Trans. Antennas Propag. 2016, 64, 3820–3830. [Google Scholar] [CrossRef]
  20. Li, Y.; Sim, C.-Y.-D.; Luo, Y.; Yang, G. Multiband 10-Antenna Array for Sub-6 GHz MIMO Applications in 5-G Smartphones. IEEE Access 2018, 6, 28041–28053. [Google Scholar] [CrossRef]
  21. Zou, H.; Li, Y.; Xu, B.; Chen, Y.; Jin, H.; Yang, G.; Luo, Y. Dual-Functional MIMO Antenna Array with High Isolation for 5G/WLAN Applications in Smartphones. IEEE Access 2019, 7, 167470–167480. [Google Scholar] [CrossRef]
  22. Han, C.-Z.; Xiao, L.; Chen, Z.; Yuan, T. Co-Located Self-Neutralized Handset Antenna Pairs with Complementary Radiation Patterns for 5G MIMO Applications. IEEE Access 2020, 8, 73151–73163. [Google Scholar] [CrossRef]
  23. Xu, Z.; Deng, C. High-isolated MIMO antenna design based on pattern diversity for 5G mobile terminals. IEEE Antennas Wirel. Propag. Lett. 2020, 19, 467–471. [Google Scholar] [CrossRef]
  24. Hsu, C.Y.; Hwang, L.T.; Chang, F.S.; Wang, S.M.; Liu, C.F. Investigation of a single-plate π-shaped multiple-input–multiple-output antenna with enhanced port isolation for 5 GHz band applications. IET Microw. Antennas Propag. 2016, 10, 553–560. [Google Scholar] [CrossRef]
  25. Sun, L.; Li, Y.; Zhang, Z.; Wang, H. Self-Decoupled MIMO Antenna Pair with Shared Radiator for 5G Smartphones. IEEE Trans. Antennas Propag. 2020, 68, 3423–3432. [Google Scholar] [CrossRef]
  26. Zhao, A.; Ren, Z. Size reduction of self-isolated antenna MIMO antenna system for 5G mobile phone applications. IEEE Antennas Wirel. Propag. Lett. 2019, 18, 152–156. [Google Scholar] [CrossRef]
  27. Ren, Z.; Zhao, A. Dual-band MIMO antenna with compact self decoupled antenna pairs for 5G mobile applications. IEEE Access 2019, 7, 82288–82296. [Google Scholar] [CrossRef]
  28. Ren, Z.; Zhao, A.; Wu, S. MIMO Antenna with Compact Decoupled Antenna Pairs for 5G Mobile Terminals. IEEE Antennas Wirel. Propag. Lett. 2019, 18, 1367–1371. [Google Scholar] [CrossRef]
  29. Ghawbar, F.; Sukur, J.A.; Majid, H.A.; Bait-Suwailam, M.M.; Al-Lawati, H.; Amer, A.A.G.; Saparudin, F.A.; Ghafar, A.S.A. Highly Self-Isolated 12-MIMO Antenna Elements for 5G Mobile Applications. Electronics 2025, 14, 1424. [Google Scholar] [CrossRef]
  30. Yu, H.; Shang, X.; Xue, Q.; Ding, H.; Wang, J.; Lv, W.; Luo, Y. Twelve-Element MIMO Wideband Antenna Array Operating at 3.3 GHz for 5G Smartphone Applications. Electronics 2024, 13, 3585. [Google Scholar] [CrossRef]
  31. Chang, L.; Yu, Y.; Wei, K.; Wang, H. Polarization-Orthogonal Co-frequency Dual Antenna Pair Suitable for 5G MIMO Smartphone With Metallic Bezels. IEEE Trans. Antennas Propag. 2019, 67, 5212–5220. [Google Scholar] [CrossRef]
  32. Chang, L.; Yu, Y.; Wei, K.; Wang, H. Orthogonally Polarized Dual Antenna Pair with High Isolation and Balanced High Performance for 5G MIMO Smartphone. IEEE Trans. Antennas Propag. 2020, 68, 3487–3495. [Google Scholar] [CrossRef]
  33. Xu, H.; Gao, S.S.; Zhou, H.; Wang, H.; Cheng, Y. A Highly Integrated MIMO Antenna Unit: Differential/Common Mode Design. IEEE Trans. Antennas Propag. 2019, 67, 6724–6734. [Google Scholar] [CrossRef]
  34. Harrington, R.F.; Mautz, J.R. Computation of characteristic modes for conducting bodies. IEEE Trans. Antennas Propag. 1971, 19, 629–639. [Google Scholar] [CrossRef]
  35. Hallbjorner, P. The significance of radiation efficiencies when using S-parameters to calculate the received signal correlation from two antennas. IEEE Antennas Wirel. Propag. Lett. 2005, 4, 97–99. [Google Scholar] [CrossRef]
  36. Tang, T.C.; Lin, K.H. MIMO Antenna Design in Thin-Film Integrated Passive Devices. IEEE Trans. Compon. Packag. Manufac. Technol. 2014, 4, 648–655. [Google Scholar] [CrossRef]
  37. Sufyan, A.; Shah, S.A.A.; Khan, K.B.; Shah, I.A.; Ullah, A.; Siddiqui, T.A.; Islam, S.; Yoo, H. Self-Decoupled 8-Element Dual Polarized MIMO Antenna for B5G Handsets with Sub-6 GHz and mmWave Integration. IEEE Access 2024, 12, 167324–167332. [Google Scholar] [CrossRef]
Figure 1. Proposed unbroken metal-framed 5G antenna configuration: (a) 3D view of the metal rim antenna. (b) Detailed dimensions of the proposed antennas.
Figure 1. Proposed unbroken metal-framed 5G antenna configuration: (a) 3D view of the metal rim antenna. (b) Detailed dimensions of the proposed antennas.
Electronics 14 03852 g001
Figure 2. Simplified smartphone structure. (a) Typical antenna structure with broken metal frame. (b) The antenna structure with an unbroken metal frame.
Figure 2. Simplified smartphone structure. (a) Typical antenna structure with broken metal frame. (b) The antenna structure with an unbroken metal frame.
Electronics 14 03852 g002
Figure 3. The modal significance and current distribution: (a) modal significance; (b) 4.2 GHz; (c) 5.6 GHz; (d) 6.2 GHz.
Figure 3. The modal significance and current distribution: (a) modal significance; (b) 4.2 GHz; (c) 5.6 GHz; (d) 6.2 GHz.
Electronics 14 03852 g003
Figure 4. (a) Configuration of the reference Antenna 1. (b) Configuration of the proposed antenna. (c) The S-parameter of the proposed antenna with an F-shaped feeding network.
Figure 4. (a) Configuration of the reference Antenna 1. (b) Configuration of the proposed antenna. (c) The S-parameter of the proposed antenna with an F-shaped feeding network.
Electronics 14 03852 g004
Figure 5. The current distribution of the proposed antenna: (a) 3.5 GHz; (b) 3.6 GHz; (c) 4.2 GHz; (d) 4.6 GHz.
Figure 5. The current distribution of the proposed antenna: (a) 3.5 GHz; (b) 3.6 GHz; (c) 4.2 GHz; (d) 4.6 GHz.
Electronics 14 03852 g005
Figure 6. Simulated input impedance on the Smith chart for Ref.1 (red curve) and proposed antenna (green curve).
Figure 6. Simulated input impedance on the Smith chart for Ref.1 (red curve) and proposed antenna (green curve).
Electronics 14 03852 g006
Figure 7. Effects of different parameters. (a) Length of Feed_L1. (b) Length of Feed_L2. (c) Length of La. (d) Length of Lb.
Figure 7. Effects of different parameters. (a) Length of Feed_L1. (b) Length of Feed_L2. (c) Length of La. (d) Length of Lb.
Electronics 14 03852 g007aElectronics 14 03852 g007b
Figure 8. (a) The proposed antenna pair and (b) the simulated results.
Figure 8. (a) The proposed antenna pair and (b) the simulated results.
Electronics 14 03852 g008
Figure 9. Current distributions at 3.5 GHz. (a) Port 1 is excited; Port 2 is terminated to 50 Ω. (b) Port 2 is excited; Port 1is terminated to 50 Ω.
Figure 9. Current distributions at 3.5 GHz. (a) Port 1 is excited; Port 2 is terminated to 50 Ω. (b) Port 2 is excited; Port 1is terminated to 50 Ω.
Electronics 14 03852 g009aElectronics 14 03852 g009b
Figure 10. Effects of different parameters. (ac) Length of L4. (df) Length of L5.
Figure 10. Effects of different parameters. (ac) Length of L4. (df) Length of L5.
Electronics 14 03852 g010
Figure 11. The proposed four-antenna-element array.
Figure 11. The proposed four-antenna-element array.
Electronics 14 03852 g011
Figure 12. The simulated S-parameter results of the proposed 4 × 4 MIMO antenna.
Figure 12. The simulated S-parameter results of the proposed 4 × 4 MIMO antenna.
Electronics 14 03852 g012
Figure 13. The proposed eight-antenna-element array.
Figure 13. The proposed eight-antenna-element array.
Electronics 14 03852 g013
Figure 14. The simulated S-parameter results of the proposed 8 × 8 MIMO antenna.
Figure 14. The simulated S-parameter results of the proposed 8 × 8 MIMO antenna.
Electronics 14 03852 g014
Figure 15. The prototype of the proposed antenna array.
Figure 15. The prototype of the proposed antenna array.
Electronics 14 03852 g015
Figure 16. The measured S-parameter results of the proposed MIMO antenna: (a) 4 × 4 MIMO antenna; (b) 8 × 8 MIMO antenna.
Figure 16. The measured S-parameter results of the proposed MIMO antenna: (a) 4 × 4 MIMO antenna; (b) 8 × 8 MIMO antenna.
Electronics 14 03852 g016
Figure 17. The measured total efficiency and ECCs of the proposed MIMO antenna: (a) 4 × 4 MIMO antenna; (b) 8 × 8 MIMO antenna.
Figure 17. The measured total efficiency and ECCs of the proposed MIMO antenna: (a) 4 × 4 MIMO antenna; (b) 8 × 8 MIMO antenna.
Electronics 14 03852 g017aElectronics 14 03852 g017b
Figure 18. Simulated and measured radiation patterns of proposed antenna arrays at 3.5 GHz. (a) XOY plane (4 × 4 MIMO Ant 1). (b) XOY plane (8 × 8 MIMO Ant 1). (c) XOY plane (8 × 8 MIMO Ant 7).
Figure 18. Simulated and measured radiation patterns of proposed antenna arrays at 3.5 GHz. (a) XOY plane (4 × 4 MIMO Ant 1). (b) XOY plane (8 × 8 MIMO Ant 1). (c) XOY plane (8 × 8 MIMO Ant 7).
Electronics 14 03852 g018aElectronics 14 03852 g018b
Figure 19. Simulated (a) S-parameter and (b) total efficiency of the proposed antenna in the presence of components.
Figure 19. Simulated (a) S-parameter and (b) total efficiency of the proposed antenna in the presence of components.
Electronics 14 03852 g019
Figure 20. (a) Talking mode and data mode (hand phantom). (b) Simulated S-parameters of talking and data modes. (c) Total efficiency of talking and data modes with hand grip.
Figure 20. (a) Talking mode and data mode (hand phantom). (b) Simulated S-parameters of talking and data modes. (c) Total efficiency of talking and data modes with hand grip.
Electronics 14 03852 g020
Table 1. Comparison between the proposed antennas and references.
Table 1. Comparison between the proposed antennas and references.
Ref.Metal FrameNo Breakpoint5G Band (GHz)Isolation
(dB)
Total Efficiency (%)
[17]YESNO3.3–5.0>10>40
[18]--3.42–3.69>10>53
[31]NONO3.4–3.6>12.7>35
[32]NO-3.4–3.6>20>48
[33]NO-3.4–3.6>24>60
[37]-NO4.7–4.9>14.4>90
Prop.YESYES4 × 4MIMO: 3.4–5.0>21.6>40
8 × 8MIMO: 3.4–3.6 & 3.4–5.0>16.2>40
Disclaimer/Publisher’s Note: The statements, opinions and data contained in all publications are solely those of the individual author(s) and contributor(s) and not of MDPI and/or the editor(s). MDPI and/or the editor(s) disclaim responsibility for any injury to people or property resulting from any ideas, methods, instructions or products referred to in the content.

Share and Cite

MDPI and ACS Style

Kong, Q.; Zhang, P.; Chen, L.; Bai, J. High-Isolation Compact Wideband MIMO Antennas for 5G Smartphones with Unbroken Metal Frames. Electronics 2025, 14, 3852. https://doi.org/10.3390/electronics14193852

AMA Style

Kong Q, Zhang P, Chen L, Bai J. High-Isolation Compact Wideband MIMO Antennas for 5G Smartphones with Unbroken Metal Frames. Electronics. 2025; 14(19):3852. https://doi.org/10.3390/electronics14193852

Chicago/Turabian Style

Kong, Qinggong, Peng Zhang, Lvwei Chen, and Jingjing Bai. 2025. "High-Isolation Compact Wideband MIMO Antennas for 5G Smartphones with Unbroken Metal Frames" Electronics 14, no. 19: 3852. https://doi.org/10.3390/electronics14193852

APA Style

Kong, Q., Zhang, P., Chen, L., & Bai, J. (2025). High-Isolation Compact Wideband MIMO Antennas for 5G Smartphones with Unbroken Metal Frames. Electronics, 14(19), 3852. https://doi.org/10.3390/electronics14193852

Note that from the first issue of 2016, this journal uses article numbers instead of page numbers. See further details here.

Article Metrics

Back to TopTop