Next Article in Journal
Content-Preserving Image Style Transfer via Reversible Networks with Meta ActNorm
Next Article in Special Issue
Dual-Band Flexible MIMO Antenna for 5G/6G and Head-Mounted Devices
Previous Article in Journal
Correction: A. Alissa et al. Feature Subset Selection Hybrid Deep Belief Network Based Cybersecurity Intrusion Detection Model. Electronics 2022, 11, 3077
Previous Article in Special Issue
High-Isolation Compact Wideband MIMO Antennas for 5G Smartphones with Unbroken Metal Frames
 
 
Font Type:
Arial Georgia Verdana
Font Size:
Aa Aa Aa
Line Spacing:
Column Width:
Background:
Article

3D-Printed Cylindrical Dielectric Antenna Optimized Using Honey Bee Mating Optimization

Department of Electrical and Electronics Engineering, Kafkas University, Kars 36000, Turkey
Electronics 2026, 15(2), 393; https://doi.org/10.3390/electronics15020393
Submission received: 30 November 2025 / Revised: 6 January 2026 / Accepted: 13 January 2026 / Published: 16 January 2026
(This article belongs to the Special Issue Antenna Design and Its Applications, 2nd Edition)

Abstract

This study presents the design, optimization, and experimental validation of a dual-band dielectric monopole antenna. The proposed antenna structure consists of three concentric cylindrical dielectric layers, each with independently tunable permittivities and radii. This configuration allows the effective control of electromagnetic performance over distinct frequency bands. To determine the optimal geometric and material parameters, the bio-inspired Honey Bee Mating Optimization (HBMO) algorithm is employed. The optimization process simultaneously maximizes antenna gain and minimizes reflection coefficient in the X and Ku bands. A cost function incorporating both gain and impedance matching criteria is formulated to achieve well-balanced solutions. The final antenna prototype was fabricated using a fused deposition modeling (FDM)-based 3D printer, where the dielectric properties of each layer are adjusted through variable infill rates. Simulated and measured results confirm stable dual-band operation with reflection coefficients below −10 dB, while the maximum in-band realized gains reach approximately 6.6 dBi in the X-band and 7.1 dBi in the Ku-band. These findings demonstrate the effectiveness of the proposed optimization approach and validate the feasibility of using 3D-printed dielectric-loaded structures as an efficient solution for high-frequency and space-constrained communication systems.

1. Introduction

Modern wireless, radar, and satellite communication systems increasingly require compact antenna structures capable of supporting multiple frequency bands. In particular, dual-band antennas operating in the X-band (8–12 GHz) and Ku-band (12–18 GHz) are essential for applications such as high-resolution radar imaging, satellite telemetry, CubeSat payloads, and high-capacity backhaul links. Recent 5G and emerging 6G studies further emphasize flexible spectrum usage and multi-band operation, reinforcing the need for integrating multiple frequency bands within a single antenna platform [1,2]. Such integration improves multifunctionality while reducing payload mass, volume, and system complexity. Representative examples include the CubeSat antenna in [3] and the shared-aperture array in [4], both demonstrating efficient dual-band operation within compact structures.
Despite these advantages, achieving reliable dual-band performance remains challenging due to the distinct electromagnetic characteristics of the X- and Ku-bands [5]. Dual-band operation often requires additional parasitic elements, multilayer configurations, or frequency-selective substructures, which increase fabrication complexity and sensitivity to manufacturing tolerances. Reflectarray-based solutions and multilayer microstrip designs further increase mechanical thickness and alignment requirements [6]. Single-layer approaches, while more compact, may suffer from inter-band coupling, degraded impedance matching, or distorted radiation characteristics. Moreover, maintaining stable gain, beamwidth, and polarization behavior across both bands remains a nontrivial task, particularly when band-isolating techniques such as frequency-selective surfaces are employed [7,8,9].
To address these challenges, multi-objective optimization (MOO) has become an effective design strategy for dual-band antennas. MOO frameworks enable the simultaneous optimization of gain, impedance matching, and physical size by capturing trade-offs among competing objectives. Evolutionary and swarm-based algorithms, including NSGA-II and related methods, have been successfully applied to dual-band and broadband antenna designs [10,11,12,13]. Meta-heuristic techniques such as Genetic Algorithm (GA) [14], Particle Swarm Optimization (PSO) [15], Ant Colony Optimization (ACO) [16], and Differential Evolution (DE) [17] are particularly well suited for nonlinear electromagnetic optimization problems, with PSO and evolutionary approaches showing strong performance in multi-band configurations [18,19]. Hybrid strategies further enhance convergence behavior [20], while bee-inspired algorithms such as Artificial Bee Colony (ABC) [21] and Honey Bee Mating Optimization (HBMO) [22] offer strong global search capability and robustness.

Related Works

A comparative overview of optimization-driven antenna studies is presented in Table 1. Recent works employing Genetic Algorithm, PSO-GA hybrids, Differential Evolution, and deep-learning-assisted surrogate models demonstrate substantial improvements in gain, radiation pattern shaping, axial-ratio reduction, and S11 performance. These studies span a wide range of antenna types, including 3D-printed GRIN structures, polyjet dielectric lenses, hybrid metal-dielectric architectures, and broadband pattern-shaping arrays. For instance, the GA-optimized 3D-printed dielectric antenna in [23] achieves a notable 7.2 dBi gain enhancement, whereas PSO-GA hybrid frameworks in [24,25] demonstrate improved axial-ratio characteristics and flat-top pattern shaping. The CNN-assisted surrogate-plus-PSO approach in [26] significantly accelerates computation while preserving accuracy.
Existing studies clearly demonstrate the effectiveness of meta-heuristic and hybrid optimization techniques across various antenna configurations; however, these approaches have not yet been applied to the simultaneous optimization of a 3D-printed cylindrical dielectric-loaded monopole antenna operating in both the X and Ku bands. Moreover, none of the reviewed works employ the HBMO algorithm within a multi-objective optimization framework to concurrently enhance key monopole antenna performance metrics such as impedance matching and gain. Although HBMO shares conceptual similarities with other population-based meta-heuristic algorithms, its effectiveness in solving complex and highly nonlinear microwave engineering problems has been well established in the literature. In particular, HBMO has been successfully applied to the multi-objective optimization of microwave transistor performance, enabling the simultaneous maximization of transducer gain and precise control of noise figure through accurate source and load impedance optimization [27].
In addition, the algorithm has demonstrated strong performance in the design of broadband microwave front-end amplifiers, where microstrip matching networks were optimized under realistic bandwidth, noise, and power delivery constraints and subsequently validated through circuit-level and full-wave electromagnetic simulations [28]. Furthermore, HBMO has been effectively employed in the synthesis of microstrip matching circuits for ultra-wideband low-noise amplifiers, in which the geometrical parameters of transmission lines were directly optimized to satisfy stringent impedance, gain, and noise requirements over wide frequency ranges [29].
These prior studies collectively indicate that HBMO constitutes a robust and reliable optimization tool for a broad class of microwave and electromagnetic design problems. Nevertheless, it should be emphasized that the main contribution of this work does not lie in proposing a novel optimization algorithm, but rather in demonstrating the effective design and optimization of a complex dual-band monopole antenna structure within an HBMO-based multi-objective framework. Furthermore, existing designs predominantly rely on conventional PCB-based dielectrics or standard photopolymer materials; to the best of the authors’ knowledge, advanced low-loss 3D-printing materials such as PREPERM ABS300 have not previously been utilized in the optimization of dual-band dielectric-loaded monopole antenna structures, further highlighting the originality of the proposed approach. In this context, the following points summarize the main contributions of this work.
  • A compact dual-band cylindrical dielectric-loaded monopole antenna is presented, enabling simultaneous X- and Ku-band operation without large apertures or complex multilayer superstructures.
  • The suitability of low-loss PREPERM ABS300 filament is demonstrated for dielectric loading in high-frequency antenna applications, offering an alternative to conventional PCB-based and photopolymer materials.
  • An HBMO-based multi-objective optimization framework is employed to jointly optimize impedance matching and gain, providing a systematic and extensible approach for dual- and multi-band antenna designs.

2. Theory and Design

The proposed antenna structure can be modeled as a vertically oriented monopole radiator loaded with concentric cylindrical dielectric layers. In classical antenna theory, the resonant length of a monopole is approximately one-quarter of the wavelength in the surrounding medium and can be expressed as:
L λ 4 E e f f =   c 4 f E e f f
where c is the speed of light, f is the operating frequency, and E e f f is the effective dielectric constant of the surrounding medium. By introducing multiple concentric cylindrical layers with different radii (R1, R2, R3) and dielectric constants ( E 1 , E 2 , E 3 ) the effective permittivity becomes a function of the volumetric contributions of each layer:
E e f f =   i = 1 3 E i V i i = 1 3 V i
In Equation (2), V i denotes the volume of the i-th dielectric layer.
This approach enables fine-tuning of both the resonant frequency and impedance characteristics. The choice of three dielectric layers represents a balance between design flexibility and optimization complexity. A two-layer structure limits the available degrees of freedom for achieving dual-band operation, whereas four or more layers increase the number of parameters, prolonging the convergence process of the optimization algorithm. Thus, the three-layer configuration provides sufficient freedom to simultaneously cover both X- and Ku-bands, while maintaining manageable complexity for both computation and fabrication.
The heights of the cylindrical layers were chosen to be equal to H1, in order to reduce the number of design variables and simplify the optimization process. From a fabrication perspective, equal heights minimize discontinuities between layers, ensuring mechanical robustness and stable electromagnetic performance. While spherical structures may theoretically provide isotropic characteristics, in practice they introduce significant manufacturing tolerances and complicate integration with monopole feeding. In contrast, cylindrical geometry naturally aligns with the monopole’s axis, facilitates seamless feeding integration, and allows precise control during additive manufacturing. Furthermore, cylindrical geometry provides a continuous radial dielectric profile, allowing more accurate adjustment of   E e f f , while avoiding field concentration effects typically observed in prismatic or polygonal shapes. This ensures stable gain and bandwidth performance.
The novelty of the proposed design lies in the implementation of three concentric dielectric layers with distinct permittivity values, fabricated using 3D printing technology. The permittivity of each layer is tuned through the infill ratio, introducing a material-based optimization dimension in addition to conventional geometric control. This feature distinguishes the proposed antenna from traditional dual-band designs in the literature, offering a compact, easily realizable, and optimization-friendly structure that contributes both methodologically and technologically to antenna design.
The input impedance of a monopole antenna over a ground plane is classically defined as:
Z i n f = R i n f + j X i n ( f )
In the proposed concentric cylindrical configuration, however, the input impedance is redefined as a function of the effective dielectric constant:
Z i n f , E e f f = R i n f , E e f f + j X i n ( f , E e f f )
The far-field component of a classical monopole antenna is expressed as:
E θ ( r , θ ) I 0 e j k r 2 π r   ·   c o s k L 2 c o s θ c o s k L 2 s i n θ
where k = (2π/λ). In the proposed model, the propagation constant is modified according to the effective permittivity:
k e f f =   2 π f c E e f f
Thus, the far-field expression becomes:
E θ ( r , θ ) I 0 e j r k e f f 2 π r · c o s k e f f · L 2 c o s θ c o s k e f f · L 2 s i n θ
This modification directly links the effective electrical length ( k e f f · L ) to the radiation properties, thereby influencing both the half-power beamwidth (HPBW) and directivity. In conclusion, the proposed three-layer concentric cylindrical monopole antenna distinguishes itself from conventional designs through its compactness, ease of fabrication, and optimization suitability. When combined with the HBMO algorithm, it achieves stable performance in both X- and Ku-bands, offering a novel and effective solution for high-frequency dual-band applications. The schematic and 3D view of the proposed dielectric-loaded monopole antenna are illustrated in Figure 1. The structure consists of three cylindrical dielectric sections with different radii (R1, R2, R3) and relative permittivities ( E 1 ,   E 2 ,   E 3 ), along with a central feeding cavity. By adjusting the infill rate in the 3D printing process, each dielectric layer can be assigned a distinct permittivity value, providing additional degrees of freedom for optimization. To limit the number of variables, all dielectric layers share the same height (H1) which is one of the optimization variables of the study antenna while the metallic ground plane thickness (H2) is fixed at 0.1 mm. The design variables and their respective search ranges are summarized in Table 2.
The cost function given in Equations (8)–(12) is designed to evaluate the performance of each candidate solution generated by the optimization algorithm. This function includes return loss (S11) and maximum gain at the desired operating frequency bands, with particular emphasis on achieving antenna designs that provide high gain and dual-band performance in the X and Ku bands. In order to achieve optimum antenna performance, a multi-objective cost function was formulated, incorporating impedance matching and gain at both X- and Ku-band frequencies:
x = a r g   m i n x   [   w 1 C 1 ( x ) + w 2 C 2 ( x ) +   w 1 C 3 ( x ) + w 2 C 4 ( x ) ]
with the objective terms defined as:
  C 1 ( x ) = m i n     f     [   f c 1   ,   f c 2   ] : | S 11 (   x ,   f   ) |
C 2 ( x ) = m a x     f     [   f c 1   ,   f c 2   ] : | G a i n   ( x ,   f   ) |
C 3 ( x ) = m i n     f     [   f c 3   ,   f c 4   ] : | S 11 (   x ,   f   ) |
C 4 ( x ) = m a x     f     [   f c 3   ,   f c 4   ] : | G a i n   ( x ,   f   ) |
Here, x is the vector of optimization parameters given in Table 2. [fc1, fc2] and [fc3, fc4] represent the boundary values of the targeted operating bands. [w1, w2] are weighting coefficients used to adjust the importance of the cost terms Ci = 1, 2, 3, 4.
These two performance metrics (Gain, S11) are deliberately selected as optimization objectives since they are among the most widely adopted figures of merit in meta-heuristic antenna optimization studies, particularly for antenna configurations, and they directly represent the antenna’s electromagnetic efficiency and radiation effectiveness. For antennas operating in the X and Ku bands, impedance matching governs efficient power transfer and usable bandwidth, while gain characterizes the overall radiation performance; other figures of merit are either strongly correlated with gain or become secondary for compact omnidirectional monopole structures.
In this study, the weighting coefficients are chosen as w1 = 0.3 and w2 = 0.7 to balance the significant difference in magnitude between the two objectives. Specifically, the reflection coefficient S11 can reach values as low as −30 dB, whereas the gain of the proposed antenna is approximately 8 dBi. Without appropriate weighting, the numerical scale of the S11 term would dominate the cost function and suppress the influence of the gain term. The selected weighting strategy ensures that both objectives contribute effectively to the optimization process, while also maintaining a computationally efficient and experimentally robust framework, since impedance matching and gain are the most reliably and repeatably measurable parameters for validating the optimized design.
In the next section, the HBMO algorithm is employed to obtain the optimal geometrical design parameters of the antenna that satisfy the targeted performance criteria. To efficiently solve this optimization problem, the Honey Bee Mating Optimization (HBMO) algorithm was adopted as the core optimization engine. HBMO, a swarm-intelligence algorithm inspired by the mating behaviour of honey bee colonies, has recently proven highly effective for addressing multi-objective and nonlinear problems in electromagnetics. Its unique advantage stems from integrating the global search capability of evolutionary algorithms with the probabilistic refinement dynamics of simulated annealing, enabling both exploration and exploitation of the design space. In HBMO, the queen represents the current best solution, while drones correspond to alternative antenna designs defined by the vector “x”. During the simulated mating flight, the queen probabilistically mates with drones according to their relative fitness values:
P m a t i n g = e x p Δ f S ( t )
where Δf is the fitness difference between queen and drone, and S(t) denotes the queen’s speed, which decreases over iterations as:
S t + 1 =   α · S t ,   0 < α < 1
The queen’s energy decays after each mating event:
E   t + 1 = E   t   γ · Δ f
With γ being the energy decay factor. The spermatheca acts as a storage unit for drone genetic material, constrained by:
N s     N m a x
where N m a x is the maximum spermatheca capacity. New candidate solutions are generated via recombination and mutation:
x ( n e w ) = β · x q u e e n + 1 β · x d r o n e +   η  
where β is a blending parameter and η is a random perturbation vector. The fitness of each offspring is then recalculated:
F x n e w =   ω 1 · C S 11 x n e w + ω 2 · C g a i n x n e w + ω 3 · C B W x n e w
The optimization is terminated when the global best fitness stabilizes within a threshold:
F x b e s t ( t + 1 ) F x b e s t ( t ) < δ
In Equation (19) “ δ ” denotes the convergence threshold of the algorithm. When the difference between the best solutions in two consecutive iterations is smaller than this small positive value, the algorithm is considered to have converged. For the proposed monopole antenna, HBMO systematically explored the multidimensional parameter space defined in Table 2. Each candidate solution represented a unique combination of dielectric radii, permittivity values, and H1, while the cost function evaluated their performance in terms of S11, bandwidth, and gain. Through its iterative process, HBMO preserved high-performing solutions, eliminated inferior ones, and maintained diversity via crossover and mutation operations.
HBMO provides high convergence speed and stronger resilience against premature stagnation. This makes it particularly well-suited for the discontinuous and multi-modal nature of the electromagnetic design space. In addition, the flexibility of 3D printing, which enables permittivity control through infill ratio, combined with HBMO-driven optimization, allowed the development of a compact dual-band antenna. The final optimized monopole antenna demonstrates stable performance in both X- and Ku-bands, offering a balanced trade-off among miniaturization, gain, and bandwidth, thereby highlighting the effectiveness of HBMO-based optimization in conjunction with 3D-printed dielectric-loaded antenna structures.
Considering the design parameter constraints given in Table 2, the cost function guides the HBMO algorithm in performing a global search within the design space to find the optimal antenna design. The HBMO algorithm selects the highest-performing antenna designs, analogous to how the fittest bees are selected in a colony. It then employs a mating strategy, applying crossover and mutation operations to the selected designs to generate a new population with inherited and varied characteristics. This cycle of selection, mating, and mutation is repeated over multiple generations, progressively refining the antenna design parameters and guiding the optimization toward an optimal solution. As a result, the design parameters listed in Table 3 represent the optimal solutions for the targeted application.
The optimal relative permittivity values obtained using the HBMO algorithm were determined to E 1 = 3, E 2 = 2.4, and E 3 = 2. These values were achieved using ABS300 PREPERM filament. Figure 1 illustrates the relationship between relative permittivity and infill percentage. As shown in Figure 1, the filament infill percentages were set to 100%, 75%, and 56% to achieve E 1 , E 2 , and E 3 , respectively. A grid pattern was used as the infill geometry in the design.
Figure 2 presents the top, side, and perspective views of the proposed cylindrical dielectric-loaded antenna structure. In the top view, the antenna consists of three concentric dielectric regions: the innermost core characterized by E 1 the intermediate annular layer defined by E 2 , and the outermost surrounding region specified by E 3 . These layers are represented by radii R1, R2 and R3, respectively, and are arranged symmetrically around the central feed to control the electromagnetic interaction within the structure. In the side view, the overall height of the dielectric stack is denoted by H1, whereas H2 corresponds to the thickness of the metallic ground plane; together, these parameters influence both the resonant frequencies and the radiation characteristics of the antenna.
The perspective views illustrate the three-dimensional configuration of the multilayer cylindrical geometry, highlighting the spatial arrangement and continuity of the dielectric layers. The exploded representation further clarifies how the regions are volumetrically assembled and demonstrates that the antenna is designed in a modular form suitable for straightforward fabrication using additive manufacturing techniques.
Figure 3 provides a comprehensive sensitivity analysis of the key design variables on the antenna gain and reflection coefficient (S11), where E 1 , H1, and R3 are individually swept while all other parameters are kept constant ( E 1 = E 2 = E 3 = 2, H1 = 15, R1 = 7.5, R2 = 12.5, R3 = 17.5), thereby justifying the robustness and effectiveness of the selected optimization parameters.
The proposed structure is inherently non-homogeneous due to the intentional use of dielectric layers with different relative permittivity values. This design philosophy is closely related to graded-index (GRIN) concepts, which have been widely employed in lens and dielectric antenna designs to manipulate wave propagation, enhance directivity, and achieve controlled beam shaping or focusing. In the present work, the gradual variation in permittivity along the structure establishes a tapered electromagnetic environment that enables a smooth transition between regions with different effective wave impedances. Such a graded permittivity profile mitigates abrupt impedance discontinuities, suppresses internal reflections, and stabilizes the phase progression of the propagating fields. Similar principles have been successfully demonstrated in 3D-printed dielectric antennas with designable permittivity, where tapered dielectric constants were exploited to achieve wideband impedance matching and controlled radiation characteristics [30]. In this sense, the non-homogeneity of the proposed structure is not a fabrication artifact but a deliberate electromagnetic design strategy that contributes to the observed broadband behavior and stable radiation performance.

3. Manufacturing Process

The fabrication of the proposed cylindrical dielectric-loaded antenna was carried out through a systematic workflow that integrates material selection, geometric optimization, slicing configuration, additive manufacturing, and RF characterization. As a first step, the dielectric and mechanical properties of the PREPERM ABS300 material (Avient S.à.r.l., Pommerloch, Luxembourg) summarized in Table 4 were considered to ensure dimensional stability and low-loss behavior across the X/Ku frequency bands. Following optimization, the antenna geometry was transferred to Ultimaker Cura (version 4.7) slicing software, where printing parameters such as layer height, infill pattern, shell configuration, and support strategy were carefully adjusted to preserve the designed dielectric profile. The complete manufacturing and validation procedure is illustrated in Figure 4, which details the sequential stages including HBMO-based optimization, slicing, FDM printing, print quality verification, post-processing, and material/antenna measurements. Finally, the fabricated prototype was evaluated through VNA-based S-parameter measurements and anechoic chamber tests, as shown in the corresponding fabrication and measurement photographs. This comprehensive workflow ensures that the optimized antenna can be reliably produced with consistent dielectric performance and structural integrity suitable for high-frequency applications.
Figure 5 illustrates the slicing configurations used to fabricate the multi-dielectric cylindrical structure in a single printing process. In Figure 5a, the E 1 region is generated using a specific infill percentage that corresponds to its target effective permittivity. Figure 5b shows the slicing pattern for the E 3 region, while Figure 5c presents the configuration used for the E 2 region. In all three cases, the required dielectric constants are achieved by assigning different infill ratios within the same printing session, allowing the printer to produce spatially varying permittivity values without the need for separate prints or post-assembly bonding. This approach significantly simplifies manufacturing by enabling all dielectric zones to be formed monolithically in a single print. Figure 5d illustrates the fully printed dielectric structure comprising the E 1 , E 2 and E 3 regions.Finally, Figure 5e displays the completed structure, in which a protective outer layer is applied to ensure mechanical stability and surface uniformity. The fabricated prototype of the proposed antenna and the corresponding measurement setup are shown in Figure 6. The antenna was manufactured using a Creality Cr-5 Pro-h FDM based 3D printer (sourced from Mikron 3D company, Bursa, Turkey), which has previously demonstrated excellent performance in producing RF components, as reported in the author’s earlier work [31]. Unlike conventional fabrication techniques, 3D printing enables the rapid and precise realization of complex geometries with significantly reduced manufacturing constraints [32]. The return loss (S11) of the fabricated antenna was measured using a broadband Vector Network Analyzer (Keysight Technologies, Santa Rosa, CA, USA) operating up to 40 GHz.

4. Results and Discussion

The measured and simulated S11 parameters of the proposed antenna are compared across the 8–20 GHz frequency range, as illustrated in Figure 7. Both curves demonstrate two distinct resonances, with measured minima appearing near 10 GHz and 18 GHz, corresponding to the intended X- and Ku-band operation. The measured S11 reaches values below −25 dB at approximately 10 GHz and below −20 dB at 18 GHz, indicating excellent impedance matching at both bands. According to the measured results, a bandwidth of approximately 1.75 GHz is achieved in the X-band from 9.5 GHz to 11.25 GHz, while a 1.5 GHz bandwidth is obtained in the Ku-band between 17.2 GHz and 18.7 GHz.
The measured S-parameter results reveal two distinct resonance mechanisms responsible for the dual-band operation in the X- and Ku-band regions. The lower-frequency X-band resonance is primarily governed by the conductor-based quarter-wavelength resonance of the metallic monopole. This resonance exhibits strong impedance matching and a deeper S11 minimum, indicating efficient energy transfer from the feed to radiation. Owing to its conductor-dominated nature and relatively higher quality factor, this fundamental monopole mode provides a broader and more pronounced impedance bandwidth in the X-band.
In contrast, the higher-frequency Ku-band resonance originates from dielectric-induced resonant modes supported by the multilayer dielectric sleeve surrounding the monopole. These resonances arise from strong near-field coupling between the metallic radiator and the dielectric layers, enabling the excitation of hybrid conductor–dielectric modes. Unlike the monopole resonance, dielectric-assisted resonances involve different field confinement and energy storage characteristics, which inherently result in a narrower impedance bandwidth and a shallower S11 minimum. Consequently, the observed bandwidth asymmetry between the X- and Ku-bands is a direct outcome of the fundamentally different resonance mechanisms governing each band.
The outer dielectric layer plays a critical role in reinforcing this hybrid resonant behavior. While the introduction of dielectric material increases the effective permittivity and induces a slow-wave effect that influences the electrical length of the monopole, the outer dielectric layer also supports independent resonant modes, consistent with dielectric resonator antenna theory. Its presence enhances electromagnetic field confinement around the radiator, strengthens the coupling between the metallic and dielectric modes, and contributes to improved radiation efficiency. The progressive addition of dielectric layers particularly the outer layer leads to a consistent increase in realized gain across both bands, with a more pronounced impact at higher frequencies, thereby confirming its supportive role in enhancing the overall radiation performance of the antenna.
Although slight shifts and magnitude differences are observed between the simulated (dashed) and measured (black solid) results likely due to fabrication tolerances and material property variations the overall agreement confirms the design’s dual band performance. These results demonstrate that the antenna achieves sufficient bandwidth and low reflection levels in both target bands, validating its suitability for X/Ku-band applications requiring reliable impedance matching and minimal return loss.
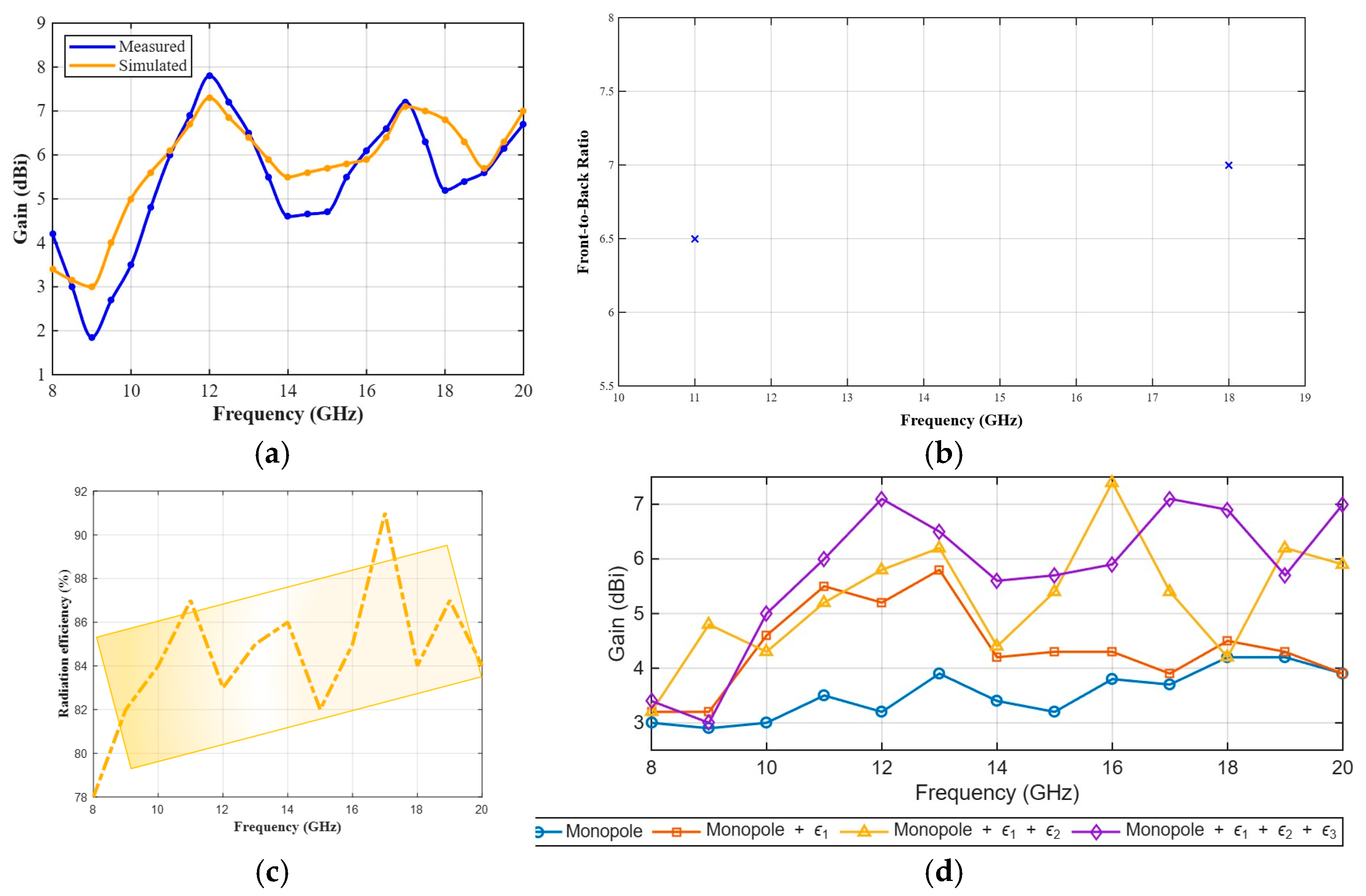
Figure 8a presents the comparison between the simulated and measured gain of the proposed antenna. The results demonstrate that the multi-objective optimization strategy enhances the antenna’s dual-band behavior, yielding consistent gain characteristics within the respective −10 dB impedance bandwidths. For the X-band operation (9.5–11.25 GHz), the measured gain varies from approximately 3.4 dBi at the lower band edge (9.5 GHz) to 6.6 dBi at the upper band edge (11.25 GHz). In the Ku-band (17.2–18.7 GHz), the measured gain reaches about 7.1 dBi at 17.2 GHz and 5.3 dBi at 18 GHz. Figure 8b presents the front-to-back ratio (F/B) evaluated at the operating frequencies of the proposed antenna in the X- and Ku-band ranges. In Figure 8b, the “×” symbol denotes the extracted front-to-back ratio values at the selected operating frequencies. Figure 8c illustrates the simulated radiation efficiency of the proposed antenna across the 8–20 GHz frequency range. In Figure 8c, the dashed line represents the simulated radiation efficiency, while the shaded background region indicates the overall variation range of efficiency across the operating frequency band. The efficiency remains consistently high throughout the operational band, varying approximately between 80% and 92%. In Figure 8d, the gain variation in the monopole antenna with progressive dielectric loading is presented to clearly illustrate the effect of the outer dielectric layer on the antenna performance, as discussed previously.
Figure 9 provides a detailed visualization of the electromagnetic field behavior within and around the proposed antenna structure. In Figure 9a, the electric field distribution is shown across the multi-layer cylindrical dielectric, clearly illustrating how the E 1 , E 2 , and E 3 regions guide and confine the field intensity as it propagates along the monopole. The strong field concentration near the feed and the gradual transition through the dielectric layers demonstrate the effectiveness of the multilayer loading in shaping the radiation mechanism. Figure 9b presents the magnetic field distribution of the reference monopole without dielectric loading, revealing a relatively narrow and vertically oriented field region typical of an unloaded radiator. In contrast, Figure 9c shows the magnetic field distribution when the proposed cylindrical dielectric loading is applied. The presence of the ( E 1 , E 2 ,   E 3 ) layers leads to a more distributed and strengthened magnetic field profile, confirming the enhanced electromagnetic coupling and improved dual-band response provided by the optimized dielectric configuration.
Figure 9d,e display the simulated 3D far-field radiation patterns of the antenna at 11 GHz and 18 GHz, respectively. The electromagnetic behavior of the proposed dielectric-loaded monopole antenna was modeled and simulated using the CST Microwave Studio (version 2023) 3D electromagnetic solver. The radiation envelope at 11 GHz in Figure 9d shows a well-defined monopole-like directional pattern with a maximum gain of approximately 6.2 dBi. At 18 GHz, as shown in Figure 9e, the antenna maintains a similarly stable radiation profile, achieving a peak gain of 6.8 dBi. The smooth pattern shapes and consistent main-lobe directions across both frequencies confirm that the proposed dielectric-loaded geometry effectively supports dual-band operation without significant pattern distortion.
The radiation pattern measurements were carried out in an anechoic chamber to accurately characterize the far-field performance of the proposed antenna. The measurement setup was configured to obtain both co-polarized and cross-polarized radiation patterns in the E-plane and H-plane at the representative operating frequencies of 11 GHz and 18 GHz, corresponding to the two resonance bands of the antenna. During the measurements, the antenna under test (AUT) was mounted on a computer-controlled rotary positioner, allowing precise angular scanning from −180° to +180° with a constant angular step. A standard gain horn antenna, operating over the frequency range of interest, was employed as the reference antenna and was positioned at a distance satisfying the far-field condition. For co-polarized measurements, the polarization of the reference horn antenna was aligned with the dominant polarization axis of the AUT. The received signal level was recorded as a function of the rotation angle, yielding the co-polarized radiation pattern. Subsequently, for cross-polarized measurements, the reference antenna was rotated by 90°, while keeping all other measurement parameters unchanged, in order to capture the orthogonal polarization component. This procedure ensured a consistent and reliable comparison between co-pol and cross-pol characteristics. The E-plane patterns were obtained by fixing the azimuth angle (φ) and rotating the AUT in the elevation plane (θ), whereas the H-plane patterns were measured by fixing the elevation angle and rotating the AUT in the azimuth plane. At each angular position, the received power was sampled and normalized with respect to the maximum measured value to generate the normalized radiation patterns presented in the manuscript.
Experimental uncertainties mainly arise from vector network analyzer calibration, cable and connector losses, and alignment errors on the order of ±1–2° that may occur during radiation pattern measurements. Fabrication tolerances in the proposed antenna are primarily associated with the additive manufacturing process used to realize the dielectric layers. In particular, variations in dielectric layer thickness and effective relative permittivity may occur due to the layer-by-layer deposition process and infill-dependent material distribution. Experimental investigations on PREPERM ABS filaments have shown that the effective permittivity can be reliably controlled through the infill ratio, with typical deviations remaining within ±3–5% under practical printing conditions [30]. Furthermore, the reported characterization confirms that moderate geometric inaccuracies and surface roughness inherent to fused deposition modeling have a limited influence on the electromagnetic response when the dielectric features are deeply subwavelength.
Figure 10a–d presents the measured 2D polar radiation patterns of the proposed cylindrical dielectric-loaded monopole antenna in both the E- and H-planes at 11 GHz and 18 GHz, including co-polarized and cross-polarized components. At 11 GHz, the φ = 0° cut corresponds to the E-plane (Figure 10a), while the φ = 90° cut represents the H-plane (Figure 10b). In both planes, the co-polarized radiation exhibits a dominant main lobe directed around θ = 0°, indicating a broadside radiation characteristic, whereas the cross-polarized component remains significantly lower than the co-polarized level across most angular directions. Similarly, the radiation patterns at 18 GHz in the E- and H-planes (Figure 10c and Figure 10d, respectively) demonstrate comparable behavior, with the co-polarized patterns preserving the main-beam direction and overall lobe structure, while the cross-polarized radiation is effectively suppressed relative to the co-polarized component. Minor variations in sidelobe levels and pattern symmetry are observed due to the increased operating frequency.
The reference antennas listed in Table 5 were selected based on their suitability for dual-band operation in the X- and Ku-bands, the use of comparable antenna topologies, and the availability of clearly reported polarization characteristics and validation approaches. It should be noted that the bandwidth values reported in Table 5 are adopted directly from the original references. While all studies define the operating bandwidth based on an impedance matching criterion of (S11 < −10 dB). In addition to designs operating in the X- and Ku-band ranges [33,34], a representative dual-band monopole antenna operating in the L- and S-band [35] ranges is also included in the comparison, in order to enable a broader evaluation of gain and physical size performance across different frequency regimes. For a fair and frequency-independent comparison, the electrical sizes of all antennas listed in Table 5 are expressed in terms of the free-space wavelength ( λ 0 ) evaluated at the lowest operating frequency band of each design. The comparison results demonstrate that the proposed antenna, despite its compact geometry, achieves maximum gain values that indicate a strong potential to compete with the antenna designs reported in the literature. Furthermore, unlike earlier 3D-printed implementations that rely on spherical geometries [36] or homogeneous dielectrics, the presented design leverages a multilayer PREPERM ABS300 structure optimized through the HBMO algorithm, offering improved dual-band behavior without increasing physical size.

5. Conclusions

In this study, a multi-objective optimization approach was presented for the design of a dual-band antenna operating in widely separated frequency bands. To overcome the limitations of conventional methods in balancing size, gain, and impedance matching, a parametric structure composed of dielectric-loaded cylindrical layers was designed and optimized using the HBMO algorithm. This approach facilitated an effective global exploration of the complex design space, leading to improved antenna geometry as well as enhanced impedance matching and gain performance. The results demonstrate that combining metaheuristic optimization with the material tunability of 3D printing can improve antenna performance without increasing structural complexity. Consequently, the proposed method can be considered a promising candidate for dual-band antenna designs operating in the X- and Ku-band frequency ranges, based on the investigated electromagnetic performance characteristics.

Funding

This research received no external funding.

Data Availability Statement

The original contributions presented in the study are included in the article, and further inquiries can be directed to the corresponding author.

Acknowledgments

The author would like to express his sincere gratitude to Mehmet Ali Belen for his valuable support in providing access to the measurement laboratory facilities used in this study. The author also thanks Recai Özcan for his assistance during the research process.

Conflicts of Interest

The author declares no conflicts of interest.

References

  1. Onay, M.Y. Secrecy Rate Performance Analysis of Jammer-Aided Symbiotic Radio with Sensing Errors for Fifth Generation Wireless Networks. Appl. Sci. 2025, 15, 289. [Google Scholar] [CrossRef]
  2. Onay, M.Y. Mathematical Modelling of Throughput in Peer-Assisted Symbiotic 6G with SIC and Relays. Appl. Sci. 2025, 15, 9504. [Google Scholar] [CrossRef]
  3. Abulgasem, S.; Tubbal, F.E.M.; Raad, R.; Theoharis, P.I. Dual Band All-Metal T-Shaped Patch Antenna for X/Ku-Band CubeSat Applications. In Proceedings of the 2022 5th International Conference on Communications, Signal Processing, and Their Applications (ICCSPA), Cairo, Egypt, 27–29 December 2022; pp. 1–4. [Google Scholar]
  4. Ali, A.; Awan, M.N.; Malik, W.A.; Chaudhry, S.Y.; Haider, J. A Compact and High-Gain X/Ku-Band Shared-Aperture Antenna Array with Enhanced Inter-Band and Cross-Band Isolation. IEEE Access 2024, 12, 146137–146146. [Google Scholar] [CrossRef]
  5. Dokmetas, B.; Arican, G.O. Design of Dual-Band SIW Antenna for Millimeter-Wave Communication. In Proceedings of the 2023 31st Telecommunications Forum (TELFOR), Belgrade, Serbia, 21–22 November 2023; pp. 1–4. [Google Scholar]
  6. Han, C.; Huang, J.; Chang, K. A High-Efficiency Offset-Fed X/Ka-Dual-Band Reflectarray Using Thin Membranes. IEEE Trans. Antennas Propag. 2005, 53, 2792–2798. [Google Scholar] [CrossRef]
  7. Chen, J.-X.; Wang, X.-F.; Yang, L.-L.; Wang, X.-R.; Gu, X.-F.; Yang, W.-W. Asymmetrical Low-RCS FSS-Based Antenna for Tri-Band Shared-Aperture Array. IEEE Antennas Wirel. Propag. Lett. 2024, 23, 1563–1567. [Google Scholar] [CrossRef]
  8. Mahouti, P.; Belen, A.; Tari, O.; Belen, M.A.; Karahan, S.; Koziel, S. Data-Driven Surrogate-Assisted Optimization of Metamaterial-Based Filtenna Using Deep Learning. Electronics 2023, 12, 1584. [Google Scholar] [CrossRef]
  9. Ge, J.; Hong, T.; Tang, J.; Jiang, W. Miniaturized FSS with Ultra-Wide Out-of-Band Suppression Based on Parallel-Plate Capacitor. IEEE Antennas Wirel. Propag. Lett. 2024, 23, 146146. [Google Scholar] [CrossRef]
  10. Palandöken, M.; Belen, A.; Tari, O.; Mahouti, P.; Mahouti, T.; Belen, M.A. Computationally Efficient Design Optimization of Multiband Antenna Using Deep-Learning-Based Surrogate Models. Int. J. RF Microw. Comput.-Aided Eng. 2024, 1, 5442768. [Google Scholar] [CrossRef]
  11. Gocen, C.; Akdag, I.; Mahouti, T.; Belen, M.A.; Palandöken, M.; Mahouti, P. Knowledge-Based Methodology of CPW-Fed Open-Stub-Loaded C-Shaped Microstrip Antenna by Surrogate-Based Modeling. Int. J. RF Microw. Comput.-Aided Eng. 2024, 1, 6247693. [Google Scholar] [CrossRef]
  12. Mahouti, P. Design Optimization of a Pattern Reconfigurable Microstrip Antenna Using Differential Evolution and 3D EM Simulation-Based Neural Network Model. Int. J. RF Microw. Comput.-Aided Eng. 2019, 29, e21796. [Google Scholar] [CrossRef]
  13. Gupta, A.; Yadav, S.K.; Sharma, N.; Kumar, V.; Ranjan, R.; Hadda, L. Optimization of Bandwidth and Reflection Coefficient with High-Gain Truncated Triangular-Shaped DRA Antenna Using NSGA-II Algorithm. Iran. J. Sci. Technol. Trans. Electr. Eng. 2023, 47, 1731–1742. [Google Scholar] [CrossRef]
  14. Lambora, A.; Gupta, K.; Chopra, K. Genetic Algorithm: A Literature Review. In Proceedings of the 2019 International Conference on Machine Learning, Big Data, Cloud and Parallel Computing (COMITCon), Faridabad, India, 14–16 February 2019; pp. 380–383. [Google Scholar]
  15. Abualigah, L.; Sheikhan, A.; Ikotun, A.M.; Abu Zitar, R.; Alsoud, A.R.; Al-Shourbaji, I.; Hussien, A.G.; Jia, H. Particle Swarm Optimization Algorithm: Review and Applications. In Metaheuristic Optimization Algorithms; Elsevier: Amsterdam, The Netherlands, 2024; pp. 1–14. [Google Scholar]
  16. Awadallah, M.A.; Makhadmeh, S.N.; Al-Betar, M.A.; Dalbah, L.M.; Al-Redhaei, A.; Kouka, S.; Enshassi, O.S. Multi-Objective Ant Colony Optimization. Arch. Comput. Methods Eng. 2025, 32, 995–1037. [Google Scholar] [CrossRef]
  17. Yu, X.; Hu, Z.; Luo, W.; Xue, Y. Reinforcement Learning-Based Multi-Objective Differential Evolution Algorithm for Feature Selection. Inf. Sci. 2024, 661, 120185. [Google Scholar] [CrossRef]
  18. Robinson, J.T.; Rahmat-Samii, Y. Particle Swarm Optimization in Electromagnetics. IEEE Trans. Antennas Propag. 2004, 52, 397–407. [Google Scholar] [CrossRef]
  19. Weile, D.S.; Michielssen, E. Genetic Algorithm Optimization Applied to Electromagnetics: A Review. IEEE Antennas Propag. Mag. 1997, 39, 7–21. [Google Scholar] [CrossRef]
  20. Singh, S.; Singh, H.; Mittal, N.; Kaur Punj, G.; Kumar, L.; Fante, K.A. A Hybrid Swarm Intelligent Optimization Algorithm for Antenna Design Problems. Sci. Rep. 2025, 15, 4444. [Google Scholar] [CrossRef]
  21. Karaboga, D.; Basturk, B. On the Performance of Artificial Bee Colony (ABC) Algorithm. Appl. Soft Comput. 2008, 8, 687–697. [Google Scholar] [CrossRef]
  22. Haddad, O.B.; Afshar, A.; Mariño, M.A. Honey-Bee Mating Optimization (HBMO) Algorithm: A New Heuristic Approach for Water Resources Optimization. Water Resour. Manag. 2006, 20, 661–680. [Google Scholar] [CrossRef]
  23. Wang, C.; Lu, Y.-H.; Li, Z.-H.; Huang, J.-J.; Xu, Q.-K.; Peng, L. Gradient Refractive Index Planar All-Dielectric Lens Designed by Genetic Algorithm. In Proceedings of the 2022 International Conference on Microwave and Millimeter Wave Technology (ICMMT), Harbin, China, 12–15 August 2022; pp. 1–3. [Google Scholar]
  24. Liu, Y.F.; Peng, L.; Wang, C.; Zheng, X.M.; Xu, Q.K.; Jia, H.K.; Ruan, C.L.; Li, S.M. Multiobject Design of a 3-D-Printed All-Dielectric Lens Antenna by an Automatic Synthesis Algorithm. IEEE Antennas Wirel. Propag. Lett. 2022, 21, 978–982. [Google Scholar] [CrossRef]
  25. Zheng, X.-M.; Liu, Y.-F.; Peng, L. A Millimeter-Wave Lens Antenna with Flat-Top Radiation Pattern Based on Hybrid Optimization Algorithm. In Proceedings of the 2022 IEEE 9th International Symposium on Microwave, Antenna, Propagation and EMC Technologies for Wireless Communications (MAPE), Chengdu, China, 26–29 August 2022; pp. 240–243. [Google Scholar]
  26. Maxharraj, F.; Maaskant, R.; Manholm, L.; Aghdam, P.; Ivashina, M. Fast Optimization of Arbitrary-Shaped Antennas Using a Deep Neural Network Model Trained Once by an Efficient Electromagnetic Field Solver. IEEE Antennas Wirel. Propag. Lett. 2025, 24, 4525–4529. [Google Scholar] [CrossRef]
  27. Gunes, F.; Demirel, S.; Mahouti, P. A simple and efficient honey bee mating optimization approach to performance characterization of a microwave transistor for the maximum power delivery and required noise. Int. J. Num. Model. Electron. Netw. Devices Fields 2016, 29, 4–20. [Google Scholar] [CrossRef]
  28. Gunes, F.; Demirel, S.; Mahouti, P. Design of a Front-End Amplifier for the Maximum Power Delivery and Required Noise by HBMO with Support Vector Microstrip Model. Radioengineering 2014, 23, 134–143. [Google Scholar]
  29. Mahouti, P.; Demirel, S.; Günes, F. Design Optimization of Microstrip Matching Circuits Using a Honey Bee Mating Algorithm Subject to the Transistor’s Potential Performance. In Proceedings of the Progress in Electromagnetics Research Symposium, Stockholm, Sweden, 12–15 August 2013; pp. 1890–1893. [Google Scholar]
  30. Huang, J.; Chen, S.J.; Xue, Z.; Withayachumnankul, W.; Fumeaux, C. Wideband Endfire 3-D-Printed Dielectric Antenna With Designable Permittivity. IEEE Antennas Wirel. Propag. Lett. 2018, 17, 2085–2089. [Google Scholar] [CrossRef]
  31. Onay, M.Y.; Dokmetas, B. 3D Printed Microstrip Antenna for Symbiotic Communication: WiFi Backscatter and Bit Rate Evaluation for IoT. Internet Things 2025, 32, 101643. [Google Scholar] [CrossRef]
  32. Dokmetas, B.; Arican, G.O.; Yilmaz, B.A. A Folded Pyramid-Shaped Microstrip Antenna with Improved Bandwidth. In Proceedings of the 2024 IEEE International Symposium on Antennas and Propagation and ITNC-USNC-URSI Radio Science Meeting (AP-S/INC-USNC-URSI), Firenze, Italy, 14–19 July 2024; pp. 1273–1274. [Google Scholar]
  33. Dhara, R. A Compact Dual Band Dual Polarized Monopole Antenna with Enhanced Bandwidth for C, X, and Ku Band Applications. Prog. Electromagn. Res. Lett. 2021, 96, 65–72. [Google Scholar] [CrossRef]
  34. Banerjee, S.; Ahmmed, M.S.; Ray, A.K.; Mallick, P.; Chaudhury, R.K. Design of Wide Band Dielectric Resonator Antenna for X-Band and Lower Ku-Band Applications. In Proceedings of the 2021 2nd International Conference on Range Technology (ICORT), Chandipur, Balasore, India, 5–6 August 2021; pp. 1–4. [Google Scholar]
  35. Danuor, P.; Moon, J.I.; Jung, Y.B. High-gain printed monopole antenna with dual-band characteristics using FSS-loading and top-hat structure. Sci. Rep. 2023, 13, 9982. [Google Scholar] [CrossRef] [PubMed]
  36. Zhu, Y.; Li, J.; Huang, G.-L. A Lightweight 3-D Printed Dual-Band High-Gain Slotted Spherical Antenna. IEEE Antennas Wirel. Propag. Lett. 2020, 19, 552–556. [Google Scholar] [CrossRef]
Figure 1. Relationship between infill percentage and relative permittivity.
Figure 1. Relationship between infill percentage and relative permittivity.
Electronics 15 00393 g001
Figure 2. The proposed dielectric-loaded monopole antenna.
Figure 2. The proposed dielectric-loaded monopole antenna.
Electronics 15 00393 g002
Figure 3. Sensitivity analyses of design variables for gain and S11 (a,b) E r , (c,d) H1, (e,f) R3.
Figure 3. Sensitivity analyses of design variables for gain and S11 (a,b) E r , (c,d) H1, (e,f) R3.
Electronics 15 00393 g003
Figure 4. Workflow of the proposed antenna design, fabrication, and measurement process.
Figure 4. Workflow of the proposed antenna design, fabrication, and measurement process.
Electronics 15 00393 g004
Figure 5. Slicing configurations of the (a) E 1 region (b) E 3 region (c) E 2 region (d) Fully printed dielectric structure comprising the E 1 , E 2 and E 3 regions (e) Final printed structure with an outer protective layer.
Figure 5. Slicing configurations of the (a) E 1 region (b) E 3 region (c) E 2 region (d) Fully printed dielectric structure comprising the E 1 , E 2 and E 3 regions (e) Final printed structure with an outer protective layer.
Electronics 15 00393 g005
Figure 6. Fabricated antenna prototype and experimental measurement setup.
Figure 6. Fabricated antenna prototype and experimental measurement setup.
Electronics 15 00393 g006
Figure 7. Comparison of simulated and measured S11 parameters.
Figure 7. Comparison of simulated and measured S11 parameters.
Electronics 15 00393 g007
Figure 8. (a) Simulated and measured gain comparison, (b) Front-to-Back ratio variation (sim.), (c) radiation efficiency trend (sim.) (d) Gain variation in the monopole antenna with progressive dielectric loading (sim.).
Figure 8. (a) Simulated and measured gain comparison, (b) Front-to-Back ratio variation (sim.), (c) radiation efficiency trend (sim.) (d) Gain variation in the monopole antenna with progressive dielectric loading (sim.).
Electronics 15 00393 g008
Figure 9. (a) E-Field distribution, (b) H-field without dielectric loading, (c) H-field with dielectric loading, 3D radiation pattern at (d) 11 GHz, (e) 18 GHz.
Figure 9. (a) E-Field distribution, (b) H-field without dielectric loading, (c) H-field with dielectric loading, 3D radiation pattern at (d) 11 GHz, (e) 18 GHz.
Electronics 15 00393 g009
Figure 10. Measured 2D-polar views (a) E-plane at 11 GHz, (b) H-plane at 11 GHz, (c) E-plane at 18 GHz, (d) H-plane at 18 GHz.
Figure 10. Measured 2D-polar views (a) E-plane at 11 GHz, (b) H-plane at 11 GHz, (c) E-plane at 18 GHz, (d) H-plane at 18 GHz.
Electronics 15 00393 g010
Table 1. Comparison of optimization-based antenna design studies in the literature.
Table 1. Comparison of optimization-based antenna design studies in the literature.
Ref.Optimization MethodObjective FunctionMaterialPerformance
Improvement
Center
Frequency (GHz)
[23]Genetic
Algorithm
Broadband gain
maximization
3D-printed
dielectric GRIN
+7.2 dBi ~11
[24]PSO +
GA Hybrid
Multiobjective:
S11, AR, gain
Polyjet
dielectric
AR < 2 dBi;
stable gain
~75
[25]PSO +
GA Hybrid
Flat-top 30° pattern,
ripple < 2 dB
Dielectric
lens
Flat-top
shaping
~66
[26]Deep CNN
surrogate + GA + fast MoM
S11 minimization;
Wi-Fi 7 design
Brass + dielectric (MoM)270 × EM
speed-up
~2.5/5/6
[This work]HBMOMaximize gain +
minimize S11
(multiobjective)
3D-printed PREPERM
ABS300
Dual-band gain
stability + compact
~10.4/18
Table 2. The design optimization space of 3D-printable dielectric-loaded antenna.
Table 2. The design optimization space of 3D-printable dielectric-loaded antenna.
ParametersRange (mm)ParametersRange
R15–10 E 1 1–3
R210–15 E 2 1–3
R315–20 E 3 1–3
H110–20
Table 3. Optimally selected design variables by HBMO.
Table 3. Optimally selected design variables by HBMO.
ParametersValue (mm)ParametersValue
R17 E 1 3
R210 E 2 2.4
R316 E 3 2
H116
Table 4. Material properties of PREPERM ABS300.
Table 4. Material properties of PREPERM ABS300.
PropertiesConditionISOUNITPREPERM
ABS300
Dielectric
Constant
at (2.4–60) GHz--3
Loss Tangent---0.0009
Tensile Strength
at Break
23 °C/73 °F527MPa45
Notched Izod23 °C/73 °F180kJ/m255
Table 5. Performance comparison of the proposed antenna.
Table 5. Performance comparison of the proposed antenna.
Ref.Antenna
Type
Bandwidth
(GHz)
Max. Gain
(dBi)
Size
(mm)
PolarizationValidation
[33]Monopole
antenna
X-band: 7.3–13.6
Ku-band: 11.7–12.2
X-band: 4.3
Ku-band: 4.9
20 × 20
( 0.49 λ 0   ×   0.49 λ 0 )
LP (lower),
CP (upper)
Meas.
[34]Monopole
antenna
X-band: 8–12
Ku-band: 12–15.5
X-band: 7.2
Ku-band: 7.1
30 × 60
( 0.8 λ 0   ×   1.6 λ 0 )
LPSim.
[35]Monopole
antenna
L-band: 1.6–2.1
S-band:2.4–2.8
L-band: 5.2
S-band:6.1
45 × 156
( 0.24 λ 0   ×   0.83 λ 0 )
LPMeas.
[36]3D-printed
spherical
antenna
X-band: 9.88–10.68
Ku-band: 13.05–15.05
X-band: 8.8
Ku-band:10.1
42 × 42
( 1.38 λ 0   ×   1.38 λ 0 )
LPMeas.
This
work
3D-printed
dielectric
antenna
X-band: 9.5–11.25
Ku-band: 17.2–18.7
X-band: 6.6
Ku-band: 7.1
16 × 16
( 0.51 λ 0     ×   0.51 λ 0 )
LPMeas.
Disclaimer/Publisher’s Note: The statements, opinions and data contained in all publications are solely those of the individual author(s) and contributor(s) and not of MDPI and/or the editor(s). MDPI and/or the editor(s) disclaim responsibility for any injury to people or property resulting from any ideas, methods, instructions or products referred to in the content.

Share and Cite

MDPI and ACS Style

Dokmetas, B. 3D-Printed Cylindrical Dielectric Antenna Optimized Using Honey Bee Mating Optimization. Electronics 2026, 15, 393. https://doi.org/10.3390/electronics15020393

AMA Style

Dokmetas B. 3D-Printed Cylindrical Dielectric Antenna Optimized Using Honey Bee Mating Optimization. Electronics. 2026; 15(2):393. https://doi.org/10.3390/electronics15020393

Chicago/Turabian Style

Dokmetas, Burak. 2026. "3D-Printed Cylindrical Dielectric Antenna Optimized Using Honey Bee Mating Optimization" Electronics 15, no. 2: 393. https://doi.org/10.3390/electronics15020393

APA Style

Dokmetas, B. (2026). 3D-Printed Cylindrical Dielectric Antenna Optimized Using Honey Bee Mating Optimization. Electronics, 15(2), 393. https://doi.org/10.3390/electronics15020393

Note that from the first issue of 2016, this journal uses article numbers instead of page numbers. See further details here.

Article Metrics

Back to TopTop