Application of Reduced Order Surrogate Models in Compatible Determination of Material Properties Profiles by Eddy Current Method
Abstract
1. Introduction
1.1. Overview of Methods for Determining Profiles of Electrophysical Properties of Materials
1.2. Overview of Search Space Reduction Methods
2. Materials and Methods
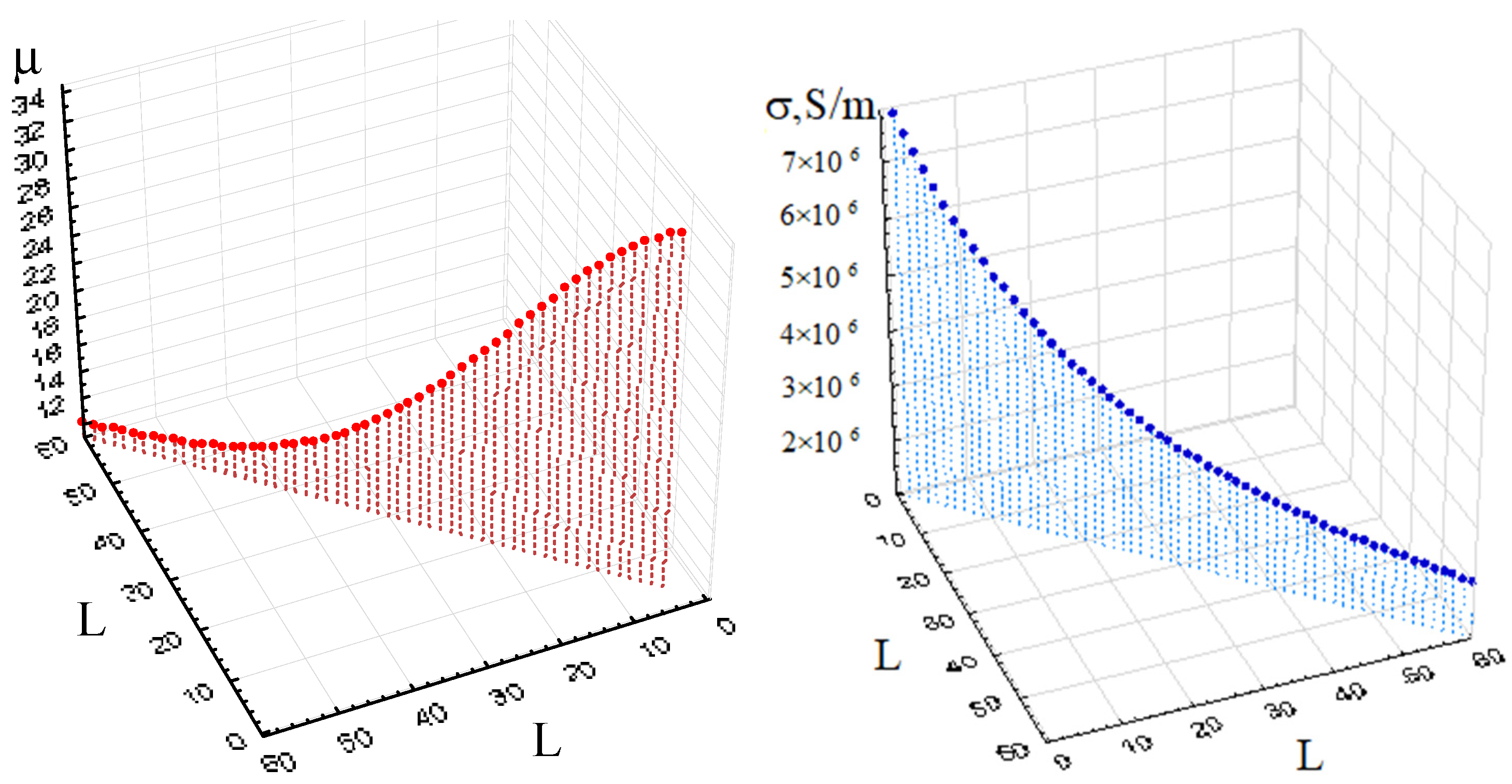
3. Results
4. Discussions and Conclusions
Author Contributions
Funding
Data Availability Statement
Acknowledgments
Conflicts of Interest
References
- Campbell, S.D.; Werner, D.H. Advances in Electromagnetics Empowered by Artificial Intelligence and Deep Learning; John Wiley & Sons: Hoboken, NJ, USA, 2023. [Google Scholar]
- Hampton, J.; Fletcher, A.; Tesfalem, H.; Peyton, A.; Brown, M. A comparison of non-linear optimisation algorithms for recovering the conductivity depth profile of an electrically conductive block using eddy current inspection. NDT E Int. 2022, 125, 102571. [Google Scholar] [CrossRef]
- Xia, Z.; Huang, R.; Chen, Z.; Yu, K.; Zhang, Z.; Salas-Avila, J.R.; Yin, W. Eddy current measurement for planar structures. Sensors 2022, 22, 8695. [Google Scholar] [CrossRef] [PubMed]
- Sabbagh, H.A.; Murphy, R.K.; Sabbagh, E.H.; Zhou, L.; Wincheski, R. Advanced Electromagnetic Models for Materials Characterization and Nondestructive Evaluation; Springer International Publishing: Heidelberg, Germany, 2021. [Google Scholar]
- Lu, M.; Meng, X.; Huang, R.; Chen, L.; Peyton, A.; Yin, W. A high-frequency phase feature for the measurement of magnetic permeability using eddy current sensor. NDT E Int. 2021, 123, 102519. [Google Scholar] [CrossRef]
- Lu, M.; Meng, X.; Huang, R.; Chen, L.; Peyton, A.; Yin, W. Measuring Lift-Off Distance and Electromagnetic Property of Metal Using Dual-Frequency Linearity Feature. IEEE Trans. Instrum. Meas. 2020, 70, 6001409. [Google Scholar] [CrossRef]
- Huang, R.; Lu, M.; He, X.; Peyton, A.; Yin, W. Measuring coaxial hole size of finite-size metallic disk based on a dual-constraint integration feature using multifrequency eddy current testing. IEEE Trans. Instrum. Meas. 2020, 70, 6001007. [Google Scholar] [CrossRef]
- Lu, M.; Meng, X.; Chen, L.; Huang, R.; Yin, W.; Peyton, A. Measurement of Ferromagnetic Slabs Permeability Based on a Novel Planar Triple-Coil Sensor. IEEE Sens. J. 2020, 20, 2904–2910. [Google Scholar] [CrossRef]
- Lahrech, A.C.; Naidjate, M.; Helifa, B.; Zaoui, A.; Abdelhadi, B.; Lefkaier, I.-K.; Feliachi, M. Development of an axial rotating magnetic field multi-coil eddy current sensor for electromagnetic characterization of stratified CFRP materials. NDT E Int. 2022, 126, 102589. [Google Scholar] [CrossRef]
- Meng, T.; Tao, Y.; Chen, Z.; Avila, J.R.S.; Ran, Q.; Shao, Y.; Huang, R.; Xie, Y.; Zhao, Q.; Zhang, Z.; et al. Depth evaluation for metal surface defects by eddy current testing using deep residual convolutional neural networks. IEEE Trans. Instrum. Meas. 2021, 70, 2515413. [Google Scholar] [CrossRef]
- She, S.; Zheng, X.; Xiong, L.; Meng, T.; Zhang, Z.; Shao, Y.; Yin, W.; Shen, J.; He, Y. Thickness Measurement and Surface-defect Detection for Metal Plate Using Pulsed Eddy Current Testing and Optimized Res2Net Network. IEEE Trans. Instrum. Meas. 2024, 73, 2530313. [Google Scholar] [CrossRef]
- Xia, Z.; Huang, R.; Lu, M.; Yin, W. Thickness and permeability estimation of metallic plates by triple-frequency eddy-current testing with probe lift-off. IEEE Trans. Instrum. Meas. 2023, 73, 6000208. [Google Scholar] [CrossRef]
- Jin, Z.; Meng, Y.; Yu, R.; Huang, R.; Lu, M.; Xu, H.; Meng, X.; Zhao, Q.; Zhang, Z.; Peyton, A. Methods of controlling lift-off in conductivity invariance phenomenon for eddy current testing. IEEE Access 2020, 8, 122413–122421. [Google Scholar] [CrossRef]
- Tesfalem, H.; Hampton, J.; Fletcher, A.D.; Brown, M.; Peyton, A.J. Electrical resistivity reconstruction of graphite moderator bricks from multi-frequency measurements and artificial neural networks. IEEE Sens. J. 2021, 21, 17005–17016. [Google Scholar] [CrossRef]
- Hampton, J.; Tesfalem, H.; Dorn, O.; Fletcher, A.; Peyton, A.; Brown, M. Calibration of a Finite Element Forward Model in Eddy Current Inspection. IEEE Sens. J. 2022, 22, 10699–10707. [Google Scholar] [CrossRef]
- Tesfalem, H.; Peyton, A.J.; Fletcher, A.D.; Brown, M.; Chapman, B. Conductivity profiling of graphite moderator bricks from multifrequency eddy current measurements. IEEE Sens. J. 2020, 20, 4840–4849. [Google Scholar] [CrossRef]
- Xu, J.; Wu, J.; Xin, W.; Ge, Z. Measuring ultrathin metallic coating properties using swept-frequency eddy-current technique. IEEE Trans. Instrum. Meas. 2020, 69, 5772–5781. [Google Scholar] [CrossRef]
- Xu, J.; Wu, J.; Xin, W.; Ge, Z. Fast measurement of the coating thickness and conductivity using eddy currents and plane wave approximation. IEEE Sens. J. 2020, 21, 306–314. [Google Scholar] [CrossRef]
- Huang, P.; Zhao, J.; Li, Z.; Pu, H.; Ding, Y.; Xu, L.; Xie, Y. Decoupling Conductivity and Permeability Using Sweep-Frequency Eddy Current Method. IEEE Trans. Instrum. Meas. 2023, 72, 6001911. [Google Scholar] [CrossRef]
- Hampton, J.; Tesfalem, H.; Fletcher, A.; Peyton, A.; Brown, M. Reconstructing the conductivity profile of a graphite block using inductance spectroscopy with data-driven techniques. In Insight-Non-Destructive Testing and Condition Monitoring; The British Institute of Non-Destructive Testing: Northampton, UK, 2021; Volume 63, pp. 82–87. [Google Scholar]
- Theodoulidis, T.P.; Kriezis, E.E. Eddy Current Canonical Problems (with Applications to Nondestructive Evaluation); Tech Science Press: Henderson, NV, USA, 2006. [Google Scholar]
- Halchenko, V.Y.; Tychkov, V.V.; Storchak, A.V.; Trembovetska, R.V. Reconstruction of surface radial profiles of electrophysical characteristics of cylindrical objects during eddy current measurements with a priori data. The selection formation for the surrogate model construction. Ukr. Metrol. J. 2020, 1, 35–50. [Google Scholar]
- Halchenko, V.Y.; Trembovetska, R.; Tychkov, V.; Tychkova, N. Surrogate methods for determining of profiles of material properties of planar test objects with accumulation of apriori information about them. Archives Electr. Eng. 2024, 73, 183–200. [Google Scholar] [CrossRef]
- Halchenko, V.Y.; Trembovetska, R.; Tychkov, V.; Tychkova, N. The inverse problem of determining of electrophysical parameters profiles in eddy-current structuroscopy using apriori information on multifrequency sensing. Math. Model. Anal. 2024, 29, 767–780. [Google Scholar] [CrossRef]
- Halchenko, V.Y.; Trembovetska, R.; Tychkov, V.; Tychkova, N. Reconstruction of electrophysical parameters distribution during eddy current measurements of structural features of planar metal objects. Latv. J. Phys. Tech. Sci. 2024, 61, 61–75. [Google Scholar] [CrossRef]
- Jiang, P.; Zhou, Q.; Shao, X. Surrogate-Model-Based Design and Optimization; Springer: Singapore, 2020; pp. 135–236. [Google Scholar]
- Halchenko, V.Y.; Storchak, A.; Trembovetska, R.; Tychkov, V. The creation of a surrogate model for restoring surface profiles of the electrophysical characteristics of cylindrical objects. Ukr. Metrol. J. 2020, 3, 27–35. [Google Scholar]
- Kundu, T. Recent Developments in Non-destructive Testing. In Earthquake Resistant Design, Protection, and Performance Assessment in Earthquake Engineering; Springer Nature: Berlin, Germany, 2024; Volume 54, p. 165. [Google Scholar]
- Xia, Z.; Yan, J.; Huang, R.; Lu, M.; Cui, Z.; Peyton, A.; Yin, W.; Yang, W. Fast estimation of metallic pipe properties using simplified analytical solution in eddy-current testing. IEEE Trans. Instrum. Meas. 2022, 72, 1000513. [Google Scholar] [CrossRef]
- Patnaik, A.; Kukshal, V.; Agarwal, P.; Sharma, A.; Choudhary, M. Application of Soft Computing Techniques in Mechanical Engineering; CRC Press: Boca Raton, FL, USA, 2022. [Google Scholar]
- Alswaitti, M.; Siddique, K.; Jiang, S.; Alomoush, W.; Alrosan, A. Dimensionality Reduction, Modelling, and Optimization of Multivariate Problems Based on Machine Learning. Symmetry 2022, 14, 1282. [Google Scholar] [CrossRef]
- Ullah, S.; Nguyen, D.A.; Wang, H.; Menzel, S.; Sendhoff, B.; Bäck, T. Exploring dimensionality reduction techniques for efficient surrogate-assisted optimization. In Proceedings of the 2020 IEEE Symposium Series on Computational Intelligence (SSCI), Canberra, ACT, Australia, 1–4 December 2020; pp. 2965–2974. [Google Scholar]
- Diaz-Papkovich, A.; Anderson-Trocmé, L.; Gravel, S. A review of UMAP in population genetics. J. Hum. Genet. 2021, 66, 85–91. [Google Scholar] [CrossRef]
- Ghojogh, B.; Ghodsi, A.; Karray, F.; Crowley, M. Uniform Manifold approximation and projection (UMAP) and its variants: Tutorial and survey. arXiv 2021, arXiv:2109.02508. [Google Scholar]
- Su, B.; Li, Y.; Liu, Z.; Wang, J.; Chen, Z. Near- and remote-field pulsed eddy current integrated testing for enhancement in imaging of buried flaws in layered conductive structures. Nondestruct. Test. Eval. 2024, 1–14. [Google Scholar] [CrossRef]
- Uchanin, V.M. Surface eddy current probes of double differential type as an effective tool to solve non-destructive inspection problems. Paton Weld. J. 2023, 2, 46–55. [Google Scholar] [CrossRef]
- Ribichini, R.; Giolli, C.; Scrinzi, E. Eddy-Current Evaluation of Platinum Aluminide Coatings. In Proceedings of the 50th Annual Review of Progress in Quantitative Nondestructive Evaluation American Society of Mechanical Engineer, Austin, TX, USA, 24–27 July 2023. [Google Scholar]
- Uzal, E. Theory of Eddy Current Inspection of Layered Metals. Ph.D. Thesis, Iowa State University, Ames, IA, USA, 1992. [Google Scholar]
- Trembovetska, R.; Halchenko, V.; Bazilo, C. Inverse multi-parameter identification of plane objects electrophysical parameters profiles by eddy-current method. In International Conference on Smart Technologies in Urban Engineering; Springer International Publishing: Cham, Switzerland, 2022; Volume 536, pp. 202–212. [Google Scholar]
- Halchenko, V.; Trembovetska, R.; Bazilo, C.; Tychkova, N. Computer Simulation of the Process of Profiles Measuring of Objects Electrophysical Parameters by Surface Eddy Current Probes. In International Scientific-Practical Conference “Information Technology for Education, Science and Technics”; Springer Nature: Cham, Switzerland, 2022; Volume 178, pp. 411–424. [Google Scholar]
- Halchenko, V.; Trembovetska, R.; Tychkov, V.; Tychkova, N. Construction of Quasi-DOE on Sobol’s Sequences with Better Uniformity 2D Projections. Appl. Comput. Syst. 2023, 28, 21–34. [Google Scholar] [CrossRef]
- Taheri, H.; Gonzalez Bocanegra, M.; Taheri, M. Artificial intelligence, machine learning and smart technologies for nondestructive evaluation. Sensors 2022, 22, 4055. [Google Scholar] [CrossRef]
- Ledolter, J.; Kardon, R.H. Focus on data: Statistical design of experiments and sample size selection using power analysis. Investig. Ophthalmol. Vis. Sci. 2020, 61, 11. [Google Scholar] [CrossRef] [PubMed]
- Yao, Y.; Wang, H. A Selective Review on Statistical Techniques for Big Data; Springer Nature: Cham, Switzerland, 2021. [Google Scholar]
- Kuznetsov, B.; Bovdui, I.; Nikitina, T. Optimal Design of System of Active Shielding of Magnetic Field Generated by Overhead Power Lines. In Proceedings of the 2021 IEEE 16th International Conference on the Experience of Designing and Application of CAD Systems (CADSM), Lviv, Ukraine, 22–26 February 2021. [Google Scholar]
- Koshevoy, N.D.; Kirichenko, A.L.; Borisenko, S.A.; Muratov, V.V. Research and optimization of the influence of fractional composition of the working mixture of powders on the characteristics of the solid mixture fuel. Aerosp. Tech. Technol. 2020, 162, 42–52. [Google Scholar]


















| Number of the Sequence | Number of the DOE Point | |||||||||
|---|---|---|---|---|---|---|---|---|---|---|
| 1 | 2 | … | 4000 | 4001 | 4002 | 4003 | 4004 | … | ||
| ξ1 | 0.5 | 0.25 | … | 0.023193 | 0.523193 | 0.273193 | 0.773193 | 0.148193 | … | |
| ξ6 | 0.5 | 0.75 | … | 0.318115 | 0.818115 | 0.568115 | 0.068115 | 0.443115 | … | |
| ξ14 | 0.5 | 0.75 | … | 0.08374 | 0.58374 | 0.83374 | 0.33374 | 0.20874 | … | |
| ξ17 | 0.5 | 0.25 | … | 0.631104 | 0.131104 | 0.881104 | 0.381104 | 0.256104 | … | |
| Number of the Sequence | Number of the DOE Point | |||||||||
| … | 6500 | 6501 | 6502 | … | 8189 | 8190 | 8191 | |||
| ξ1 | … | 0.150757 | 0.650757 | 0.400757 | … | 0.749878 | 0.499878 | 0.999878 | ||
| ξ6 | … | 0.847046 | 0.347046 | 0.097046 | … | 0.879761 | 0.629761 | 0.129761 | ||
| ξ14 | … | 0.198608 | 0.698608 | 0.948608 | … | 0.997925 | 0.747925 | 0.247925 | ||
| ξ17 | … | 0.341187 | 0.841187 | 0.091187 | … | 0.634644 | 0.384644 | 0.884644 | ||
| № Profile | Re(emod) | Im(emod) | µ1 | … | µ60 | σ1, S/m | … | σ60, S/m | f, kHz | z·10−3, m |
|---|---|---|---|---|---|---|---|---|---|---|
| 1 | −2.618 | −4.049 | 29.750 | … | 10.096 | 8,834,221 | … | 2,073,403 | 10.5 | 1.5 |
| 2 | −3.344 | −4.34 | 27.129 | … | 10.083 | 9,490,569 | … | 2,107,756 | 15.25 | 1 |
| 3 | −1.651 | −3.074 | 32.371 | … | 10.109 | 8,177,872 | … | 2,039,050 | 5.75 | 2 |
| 4 | −1.082 | −2.156 | 25.819 | … | 10.077 | 7,849,698 | … | 2,021,873 | 3.375 | 2.25 |
| 5 | −3.021 | −4.392 | 31.061 | … | 10.102 | 9,162,395 | … | 2,090,580 | 12.875 | 1.25 |
| … | … | … | … | … | … | … | … | … | … | … |
| 4000 | −0.588 | −1.372 | 32.123 | … | 10.107 | 8,233,531 | … | 2,041,963 | 1.7 | 2.106 |
| 4001 | −1.976 | −2.886 | 29.502 | … | 10.095 | 7,577,287 | … | 2,007,615 | 6.451 | 0.6059 |
| 4002 | −3.438 | −5.526 | 34.744 | … | 10.120 | 8,889,879 | … | 2,076,316 | 15.951 | 1.606 |
| 4003 | −0.903 | −1.749 | 24.751 | … | 10.071 | 8,356,662 | … | 2,048,408 | 2.591 | 1.7622 |
| … | … | … | … | … | … | … | … | … | … | … |
| 6500 | −2.007 | −3.224 | 32.642 | … | 10.110 | 9,417,058 | … | 2,103,909 | 7.148 | 1.4324 |
| 6501 | −1.534 | −2.355 | 26.089 | … | 10.078 | 9,745,232 | … | 2,121,085 | 4.773 | 1.1824 |
| 6502 | −3.093 | −5.503 | 31.331 | … | 10.103 | 8,432,536 | … | 2,052,379 | 14.273 | 2.1824 |
| … | … | … | … | … | … | … | … | … | … | … |
| 8188 | −2.721 | −3.575 | 27.128 | … | 10.083 | 8,518,648 | … | 2,056,886 | 10.4601 | 0.7692 |
| 8189 | −3.82 | −6.145 | 32.370 | … | 10.109 | 9,831,345 | … | 2,125,592 | 19.9601 | 1.7692 |
| 8190 | −3.338 | −4.77 | 29.749 | … | 10.096 | 9,174,997 | … | 2,091,239 | 15.2101 | 1.2692 |
| 8191 | −1.602 | −3.195 | 34.991 | … | 10.121 | 7,862,300 | … | 2,022,533 | 5.7101 | 2.2692 |
| № Point | g1 | g2 | … | g63·10−3 | g64·10−6 | g65·10−5 | g66·10−6 |
|---|---|---|---|---|---|---|---|
| 1 | −34,344,006 | −40,876.45 | … | 1.1182417 | −4.3655575 | −2.7324841 | −9.9903449 |
| 2 | −36,406,779 | 469,672.51 | … | 1.3578367 | 1.0050861 | 4.8739237 | −9.5527309 |
| 3 | −32,281,232 | −551,426.58 | … | −0.84519701 | 1.8541591 | 2.6137071 | 1.4317285 |
| 4 | −31,249,845 | −806,701.24 | … | 0.81916363 | −3.4961978 | 2.5458931 | -16.278854 |
| 5 | −35,375,392 | 214,397.8 | … | −0.72947157 | 1.8999668 | 2.4602704 | 7.8984196 |
| … | … | … | … | … | … | … | … |
| 4000 | −32,456,154 | −508,125.92 | … | 0.40719932 | −4.3855376 | 1.4012109 | −13.124172 |
| 4001 | −30,393,713 | −1,018,605.3 | … | −0.3012072 | 0.92514422 | 0.69598148 | 12.750525 |
| 4002 | −34,518,930 | 2411.1632 | … | -0.04193999 | −0.3775342 | 0.49929265 | −2.8554507 |
| 4003 | −32,843,130 | −412,346.93 | … | 0.17409037 | −0.21069551 | −4.7533737 | 0.37582572 |
| … | … | … | … | … | … | … | … |
| 6500 | −36,175,746 | 412,500.31 | … | −1.9820983 | −0.91582073 | 3.028646 | 17.003993 |
| 6501 | −37,207,131 | 667,781.07 | … | −0.22798476 | −1.4959489 | −1.3101498 | 8.1150943 |
| 6502 | −33,081,590 | −353,341.45 | … | −1.5273564 | 0.10773142 | 1.2167706 | 8.5331139 |
| … | … | … | … | … | … | … | … |
| 8188 | −33,352,224 | −286,351.94 | … | −0.50085944 | 1.2109117 | 6.7995709 | 8.1435655 |
| 8189 | −37,477,772 | 734,747.26 | … | 0.94150458 | −2.7386983 | 1.5916526 | −14.582567 |
| 8190 | −35,414,998 | 224,197.78 | … | −0.5216811 | −2.8553455 | 0.63959491 | 8.9033673 |
| 8191 | −31,289,451 | −796,901.49 | … | −0.94330238 | −0.73879451 | −2.1224067 | 2.6894707 |
| № Point | g1 | g2 | … | g67·10−6 | g68·10−6 | g69·10−6 | g70·10−6 |
|---|---|---|---|---|---|---|---|
| 1 | −34,344,006 | −40,876.45 | … | −1.7857154 | −2.6970985 | 1.3360738 | 8.9565972 |
| 2 | −36,406,779 | 469,672.51 | … | −1.8613386 | −6.5017436 | −2.0646505 | −0.22363006 |
| 3 | −32,281,232 | −551,426.58 | … | −0.99542366 | −1.1564342 | 2.0872159 | 1.7184009 |
| 4 | −31,249,845 | −806,701.24 | … | −6.4539495 | −4.7595708 | −2.1812924 | 4.3448066 |
| 5 | −35,375,392 | 214,397.8 | … | 3.6382894 | −0.26527532 | 1.0888234 | 2.6050557 |
| … | … | … | … | … | … | … | … |
| 4000 | −32,456,154 | −508,125.92 | … | −5.7883783 | 0.50156034 | 2.4373703 | -0.1625042 |
| 4001 | −30,393,713 | −1,018,605.3 | … | 1.471846 | 0.14645352 | 3.5148004 | 1.0478703 |
| 4002 | −34,518,930 | 2411.1632 | … | −0.54317705 | 1.7661484 | −2.8734536 | −1.2151284 |
| 4003 | −32,843,130 | −412,346.93 | … | 2.9292836 | −0.26367515 | −1.3622012 | −3.8984309 |
| … | … | … | … | … | … | … | … |
| 6500 | −36,175,746 | 412,500.31 | … | 0.03427952 | 2.2194627 | 1.2633268 | 1.9746877 |
| 6501 | −37,207,131 | 667,781.07 | … | 2.3673397 | 2.3233701 | 6.2805614 | 3.1002567 |
| 6502 | −33,081,590 | −353,341.45 | … | −2.1026837 | 3.2496936 | −0.11656799 | −1.1680763 |
| … | … | … | … | … | … | … | … |
| 8188 | −33,352,224 | −286,351.94 | … | 0.89647088 | −0.43069366 | 0.23573517 | 0.83320714 |
| 8189 | −37,477,772 | 734,747.26 | … | −0.42935363 | 4.1352578 | 0.64174154 | −1.1018135 |
| 8190 | −35,414,998 | 224,197.78 | … | 0.23375807 | 1.2310493 | 3.6886197 | 2.8839691 |
| 8191 | −31,289,451 | −796,901.49 | … | 3.6561543 | 1.7678272 | −1.8595518 | 0.27479352 |
| Eigenvalues of the Gram Matrix | Dimensionality PCA-Space | Mean Square Error MSE | |
|---|---|---|---|
| Re(emetamod) | Im(emetamod) | ||
| 433.166 | 51 | 5.2·10−4 | 1.17·10−3 |
| 359.081 | 55 | 3·10−4 | 5.9·10−4 |
| 24.699 | 62 | 3.4·10−4 | 6.95·10−4 |
| 0.057 | 63 | 1.24·10−6 | 1.043·10−6 |
| 9.341·10−8 | 66 | 3.48·10−7 | 2.19·10−6 |
| 2.276·10−8 | 70 | 5.206·10−7 | 1.461·10−6 |
| Metamodels | rMLP-16-17-15-11-1 | iMLP-16-17-16-13-1 |
|---|---|---|
| Training sample, Ntraine = 4211 | 0.0232 | 0.0305 |
| Cross-validation sample, NCV = 903 | 0.0307 | 0.0389 |
| Test sample, Ntest = 903 | 0.0287 | 0.0395 |
| The total sample for training, N = 6017 | 0.0251 | 0.0333 |
| Metamodels | rMLP-16-17-16-14-1 | iMLP-16-16-15-12-1 |
|---|---|---|
| Training sample, Ntraine = 4211 | 0.0272 | 0.0262 |
| Cross-validation sample, NCV = 903 | 0.0352 | 0.0367 |
| Test sample, Ntest = 903 | 0.0369 | 0.0345 |
| The total sample for training, N = 6017 | 0.0299 | 0.029 |
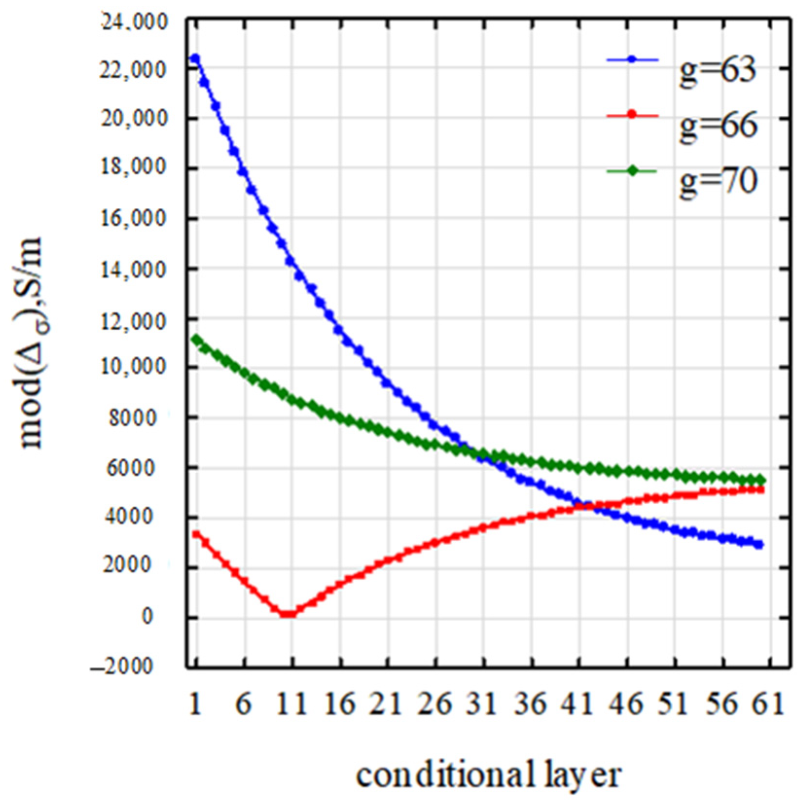
| nred | Metamodels | Statistical Parameters | Adequacy | Informativeness |
|---|---|---|---|---|
| 66 | rMLP-16-17-15-11-1 | α = 5%, vD = 66, vR = 5950 | R2= 0.9999; | |
| iMLP-16-17-16-13-1 | R2= 0.999999; | |||
| 70 | rMLP-16-17-16-14-1 | α = 5%, vD = 70, vR = 5946 | R2= 0.99999; | |
| iMLP-16-16-15-12-1 | R2= 0.999988; |
| Number of the Test Measurement | Results and Measurement Conditions | RMAEµ, % | RMAEσ, % | ||||
| nred = 63 | nred = 66 | nred = 70 | nred = 63 | nred = 66 | nred = 70 | ||
| Test 1 | Re (emes) = −0.58 Im (emes) = −1.236f = 1533.52 Hz z = 1.065 mm | 0.324–8.483 | 0.27–5.579 | 0.042–4.884 | 0.17–4.824 | 0.22–2.062 | 0.137–3.14 |
| Test 2 | Re (emes)= −2.557 Im (emes) = −3.827f = 9599.4 Hz z = 1.0068 mm | 0.208–4.933 | 0.341–4.135 | 0.278–3.643 | 0.602–5.105 | 0.177–2.166 | 0.197–3.093 |
Disclaimer/Publisher’s Note: The statements, opinions and data contained in all publications are solely those of the individual author(s) and contributor(s) and not of MDPI and/or the editor(s). MDPI and/or the editor(s) disclaim responsibility for any injury to people or property resulting from any ideas, methods, instructions or products referred to in the content. |
© 2025 by the authors. Licensee MDPI, Basel, Switzerland. This article is an open access article distributed under the terms and conditions of the Creative Commons Attribution (CC BY) license (https://creativecommons.org/licenses/by/4.0/).
Share and Cite
Halchenko, V.Y.; Trembovetska, R.; Tychkov, V.; Kovtun, V.; Tychkova, N. Application of Reduced Order Surrogate Models in Compatible Determination of Material Properties Profiles by Eddy Current Method. Electronics 2025, 14, 212. https://doi.org/10.3390/electronics14010212
Halchenko VY, Trembovetska R, Tychkov V, Kovtun V, Tychkova N. Application of Reduced Order Surrogate Models in Compatible Determination of Material Properties Profiles by Eddy Current Method. Electronics. 2025; 14(1):212. https://doi.org/10.3390/electronics14010212
Chicago/Turabian StyleHalchenko, Volodymyr Y., Ruslana Trembovetska, Volodymyr Tychkov, Viacheslav Kovtun, and Nataliia Tychkova. 2025. "Application of Reduced Order Surrogate Models in Compatible Determination of Material Properties Profiles by Eddy Current Method" Electronics 14, no. 1: 212. https://doi.org/10.3390/electronics14010212
APA StyleHalchenko, V. Y., Trembovetska, R., Tychkov, V., Kovtun, V., & Tychkova, N. (2025). Application of Reduced Order Surrogate Models in Compatible Determination of Material Properties Profiles by Eddy Current Method. Electronics, 14(1), 212. https://doi.org/10.3390/electronics14010212

