Enhanced Short-Circuit Robustness of 1.2 kV Split Gate Silicon Carbide Metal Oxide Semiconductor Field-Effect Transistors for High-Frequency Applications
Abstract
1. Introduction
2. Device Structures and Simulation Methods
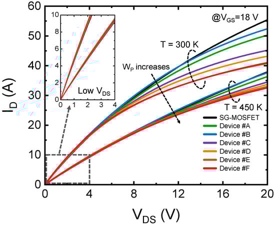
3. Results and Discussion
4. Conclusions
Author Contributions
Funding
Data Availability Statement
Conflicts of Interest
References
- Millán, J.; Godignon, P.; Perpiñà, X.; Pérez-Tomás, A.; Rebollo, J. A Survey of Wide Bandgap Power Semiconductor Devices. IEEE Trans. Power Electron. 2014, 29, 2155–2163. [Google Scholar] [CrossRef]
- She, X.; Huang, A.Q.; Lucía, Ó.; Ozpineci, B. Review of Silicon Carbide Power Devices and Their Applications. IEEE Trans. Ind. Electron. 2017, 64, 8193–8205. [Google Scholar] [CrossRef]
- Kimoto, T. Material science and device physics in SiC technology for high-voltage power devices. Jpn. J. Appl. Phys. 2015, 54, 040103. [Google Scholar] [CrossRef]
- Östling, M.; Ghandi, R.; Zetterling, C.-M. SiC power devices—Present status, applications and future perspective. In Proceedings of the 23rd IEEE International Symposium on Power Semiconductor Devices and IC’s (ISPSD), San Diego, CA, USA, 23–26 May 2011. [Google Scholar]
- Kimoto, T. Fundamentals, Commercialization, and Future Challenges of SiC Power Devices. In Proceedings of the 2023 IEEE International Meeting for Future of Electron Devices (IMFEDK), Kyoto, Japan, 16–17 November 2023. [Google Scholar]
- Baliga, B.J. Trends in power semiconductor devices. IEEE Trans. Electron Devices 1996, 43, 1717–1731. [Google Scholar] [CrossRef]
- Chen, Z.; Huang, A.Q. High Performance SiC Power Module Based on Repackaging of Discrete SiC Devices. IEEE Trans. Power Electron. 2023, 38, 9306–9310. [Google Scholar] [CrossRef]
- Buffalo, M.; Favero, D.; Marcuzzi, A.; De Santi, C.; Meneghesso, G.; Zanoni, E.; Meneghini, M. Review and Outlook on GaN and SiC Power Devices: Industrial State-of-the-Art, Applications, and Perspectives. IEEE Trans. Electron Devices 2024, 71, 1344–1355. [Google Scholar] [CrossRef]
- Losse, P.A.; Bolotnikov, A.; Yu, L.C.; Dunne, G.; Esler, D.; Erlbaum, J.; Rowden, B.; Gowda, A.; Halverson, A.; Ghandi, R.; et al. SiC MOSFET design considerations for reliable high voltage operation. In Proceedings of the 2017 IEEE International Reliability Physics Symposium (IRPS), Monterey, CA, USA, 2–6 April 2017. [Google Scholar]
- Baliga, B.J. An Academic’s Perspective on SiC Power Devices: Retrospection and Prognostication. In Proceedings of the 2022 IEEE Workshop Wide Bandgap Power Devices Applications (WIPDA), Redondo Beach, CA, USA, 7–9 November 2022. [Google Scholar]
- Bernstein, J.B.; Bahl, S.; Schlecht, M.F. A low capacitance power MOSFET with an integral gate driver. In Proceedings of the 1987 IEEE Power Electronics Specialists Conference (PESC), Blacksburg, VA, USA, 21–26 June 1987. [Google Scholar]
- Lorenz, L. Study of the switching performance of a power MOSFET circuit. In Proceedings of the 1984 IEEE Power Electronics Specialists Conference (PESC), Gaithersburg, MD, USA, 18–21 June 1984. [Google Scholar]
- Han, K.; Baliga, B.J. The 1.2-kV 4H-SiC OCTFET: A New Cell Topology With Improved High-Frequency Figures-of-Merit. IEEE Electron Device Lett. 2018, 40, 299–302. [Google Scholar] [CrossRef]
- Sung, W.; Han, K.; Baliga, B.J. Optimization of the JFET region of 1.2 kV SiC MOSFETs for improved high frequency figure of merit (HF-FOM). In Proceedings of the 2017 IEEE Workshop Wide Bandgap Power Devices Applications (WIPDA), Albuquerque, NM, USA, 30 October–1 November 2017. [Google Scholar]
- Han, K.; Baliga, B.J.; Sung, W. Split-Gate 1.2-kV 4H-SiC MOSFET: Analysis and Experimental Validation. IEEE Electron Device Lett. 2017, 38, 1437–1440. [Google Scholar] [CrossRef]
- Xu, H.-Y.; Wang, Y.; Bao, M.-T.; Cao, F. Low Switching Loss Split-Gate 4H-SiC MOSFET With Integrated Heterojunction Diode. IEEE J. Electron Devices Soc. 2022, 10, 554–561. [Google Scholar] [CrossRef]
- Han, K.; Baliga, B.J. Operation of 1.2-kV 4H-SiC Accumulation and Inversion Channel Split-Gate (SG) MOSFETs at Elevated Temperatures. IEEE Trans. Electron Devices 2018, 65, 3333–3338. [Google Scholar] [CrossRef]
- Zhou, X.; Yue, R.; Zhang, J.; Dai, G.; Li, J.; Wang, Y. 4H-SiC Trench MOSFET with Floating/Grounded Junction Barrier-controlled Gate Structure. IEEE Trans. Electron Devices 2017, 11, 4568–4574. [Google Scholar] [CrossRef]
- Han, K.; Baliga, B.J. Analysis and Experimental Quantification of 1.2-kV 4H-SiC Split-Gate Octagonal MOSFET. IEEE Electron Devices Lett. 2019, 40, 1163–1166. [Google Scholar] [CrossRef]
- Yu, H.; Wang, J.; Liang, S.; Deng, G.; Liu, H.; Ji, B.; Shen, Z.J. 1.2-kV silicon carbide planar split-gate MOSFET with source field plate for superior figure-of-merits. IET Power Electron. 2022, 15, 1502–1510. [Google Scholar] [CrossRef]
- Vudumula, P.; Kotamraju, S. Design and Optimization of 1.2-kV SiC Planar Inversion MOSFET Using Split Dummy Gate Concept for High-Frequency Applications. IEEE Trans. Electron Devices 2019, 66, 5266–5271. [Google Scholar] [CrossRef]
- Yu, H.; Wang, J.; Zhang, J.; Liang, S.; Shen, Z.J. Theoretical Analysis and Experimental Characterization of 1.2-kV 4H-SiC Planar Split-Gate MOSFET With Source Field Plate. IEEE Trans. Electron Devices 2024, 71, 1508–1512. [Google Scholar] [CrossRef]
- Kim, D.; Sung, W. Improved Short-Circuit Ruggedness for 1.2kV 4H-SiC MOSFET Using a Deep P-Well Implemented by Channeling Implantation. IEEE Electron Device Lett. 2021, 12, 1822–1825. [Google Scholar] [CrossRef]
- Diao, S.; Sun, J.; Zhou, Z.; Zhang, Z.; Schöner, A.; Zheng, Z.; He, W. Determination of failure degree of 1.2 kV SiC MOSFETs after short-circuit test using an improved test setup. Nanotechnol. Precis. Eng. 2020, 3, 235–240. [Google Scholar] [CrossRef]
- Lin, C.; Ren, N.; Xu, H.; Liu, L.; Zhu, Z.; Sheng, K. 1.2-kV Planar SiC MOSFETs With Improved Short-Circuit Capability by Adding Plasma Spreading Layer. IEEE Trans. Electron Devices 2023, 70, 4730–4736. [Google Scholar] [CrossRef]
- Hatta, H.; Tominaga, T.; Hino, S.; Miura, N.; Tomohisa, S.; Yamakawa, S. Suppression of Short-Circuit Current with Embedded Source Resistance in SiC-MOSFET. Mater. Sci. Forum 2018, 924, 727–730. [Google Scholar] [CrossRef]
- Unger, C.; Pfost, M. Particularities of the Short-Circuit Operation and Failure Modes of SiC-MOSFETs. IEEE J. Emerg. Sel. Topics Power Electron. 2021, 9, 6432–6440. [Google Scholar] [CrossRef]
- Kim, J.J.; Park, J.-H.; Sabri, S.; Fetzer, B.; Hull, B.; Ryu, S.-H. Investigation into Relationship of the Switching Performance and Short-Circuit Withstand Time on 1.2 kV 4H-SiC Power MOSFETs. In Proceedings of the IEEE International Symposium on Power Semiconductor Devices and IC’s (ISPSD), Bremen, Germany, 2–6 June 2024. [Google Scholar]
- Kim, D.; Yun, N.; Morgan, A.J.; Sung, W. The Effect of Deep JFET and P-Well Implant of 1.2 kV 4H-SiC MOSFETs. IEEE J. Electron Devices Soc. 2022, 10, 989–995. [Google Scholar] [CrossRef]
- Yang, T.; Wang, Y.; Yue, R. SiC Trench MOSFET With Reduced Switching Loss and Increased Short-Circuit Capability. IEEE Trans. Electron Devices 2020, 67, 3685–3690. [Google Scholar] [CrossRef]
- Liu, H.; Wei, J.; Wei, Z.; Liu, S.; Shi, L. Experimental Comparison of a New 1.2 kV 4H-SiC Split-Gate MOSFET with Conventional SiC MOSFETs in Terms of Reliability Robustness. Electronics 2023, 12, 2551. [Google Scholar] [CrossRef]
- Schenk, A. A model for the field and temperature dependence of Schockley-Read-Hall lifetimes in silicon. Solid-State Electron. 1992, 35, 1585–1596. [Google Scholar] [CrossRef]
- Klaassen, D.B.M. A unified mobility model for device simulation—II. Temperature dependence of carrier mobility and lifetime. Solid-State Electron. 1992, 35, 961–967. [Google Scholar] [CrossRef]
- Okuto, Y.; Crowell, C.R. Energy-Conservation Considerations in the Characterization of Impact Ionization in Semiconductors. Phys. Rev. B. 1972, 6, 3076. [Google Scholar] [CrossRef]
- Okuto, Y.; Crowell, C.R. Threshold energy effect on avalanche breakdown voltage in semiconductor junctions. Solid-State Electron. 1975, 18, 161–168. [Google Scholar] [CrossRef]
- Scaburri, R.; Desalvo, A.; Nipoti, R. Incomplete Ionization of the n-Type Dopant Phosphorus in 4H-SiC, Including Screening by Free Carriers. Mater. Sci. Forum 2011, 679–680, 397–400. [Google Scholar] [CrossRef]
- Shi, L.; Qian, J.; Jin, M.; Bhattacharya, M.; Yu, H.; Shimbori, A.; White, M.H.; Agarwal, A.K. Investigation on gate oxide reliability under gate bias screening for commercial SiC planar and trench MOSFETs. Mater. Sci. Semicond. Process 2024, 174, 108194. [Google Scholar] [CrossRef]
- Yu, L.C.; Dunne, G.T.; Matocha, K.S.; Cheung, K.P.; Suehle, J.S.; Sheng, K. Reliability Issues of SiC MOSFETs: A Technology for High-Temperature Environments. IEEE Trans. Device Mater. Reliab 2010, 10, 418–426. [Google Scholar]
- Yu, L.; Cheung, K.P.; Campbell, J.; Suehle, J.S.; Sheng, K. Oxide Reliability of SiC MOS Devices. In Proceedings of the IEEE International Integrated Reliability Workshop Final Report (IIRW), South Lake Tahoe, CA, USA, 12–16 October 2008. [Google Scholar]
- Han, K.; Kanale, A.; Baliga, B.J.; Ballard, B.; Morgan, A.; Hopkins, D.C. New Short Circuit Failure Mechanism for 1.2 kV 4H-SiC MOSFETs and JBSFETs. In Proceedings of the 2018 IEEE Workshop Wide Bandgap Power Devices Applications (WIPDA), Atlanta, GA, USA, 13 October–2 November 2018. [Google Scholar]














| Parameters [Unit] | Values |
|---|---|
| Channel length [μm] | 0.5 |
| Gate oxide thickness [nm] | 50 |
| Half-cell pitch [μm] | 3.4 |
| Width of the JFET region [μm] | 1.5 |
| Depth of the JFET region [μm] | 0.8 |
| Thickness of the N-drift region [μm] | 10 |
| Length of the overlap region between the poly-Si gate and the JFET region [μm] | 0.3 |
| Width of the P-shielding region (WP) [μm] | 0.3–0.9 |
| Depth of the P-base [μm] | 1.0 |
| Doping concentration of the N-drift region [cm−3] | 8 × 1015 |
| Doping concentration of the JFET region (NJFET) [cm−3] | 3 × 1016–1 × 1017 |
| Doping concentration of the P-shielding region [cm−3] | 1.2 × 1020 |
| Descriptions | Conditions [Unit] | Ron,sp [mΩ∙cm2] (@VGS = 18 V and VDS = 2.3 V) | Vth [V] (@ID = 1 mA) | |
|---|---|---|---|---|
| WP [μm] | NJFET [cm−3] | |||
| Device #A | 0.3 | 4 × 1016 | 3.78 | 3.84 |
| Device #B | 0.4 | 5 × 1016 | 3.67 | 3.67 |
| Device #C | 0.5 | 5 × 1016 | 3.81 | 3.67 |
| Device #D | 0.6 | 6 × 1016 | 3.80 | 3.52 |
| Device #E | 0.7 | 7.5 × 1016 | 3.82 | 3.37 |
| Device #F | 0.8 | 1 × 1017 | 3.75 | 2.96 |
| Electrical Characteristics [Unit] | C-MOSFET | SG-MOSFET | Device #A | Device #B | Device #C | Device #D | Device #E | Device #F |
|---|---|---|---|---|---|---|---|---|
| Ron,sp [mΩ∙cm2] | 3.65 | 3.80 | 3.78 | 3.67 | 3.81 | 3.80 | 3.82 | 3.75 |
| Vth [V] | 4.0 | 4.0 | 3.84 | 3.67 | 3.67 | 3.52 | 3.37 | 2.96 |
| BV [V] | 1536 | 812 | 1649 | 1642 | 1752 | 1883 | 1817 | 1812 |
| Eox,max [MV/cm] | 4.08 | 4.79 | 3.56 | 3.35 | 2.84 | 2.49 | 2.13 | 1.81 |
| SCWT [μs] | 5.8 | 5.3 | 6.1 | 6.1 | 6.7 | 6.9 | 7.2 | 7.2 |
| Crss,sp [pF/cm2] (@VDS = 1 kV) | 196.19 | 62.04 | 30.71 | 26.89 | 22.59 | 18.47 | 14.33 | 10.87 |
| Ron,sp × Crss,sp [pΩ∙F] (@VDS = 1 kV) | 0.72 | 0.24 | 0.12 | 0.099 | 0.086 | 0.07 | 0.054 | 0.041 |
Disclaimer/Publisher’s Note: The statements, opinions and data contained in all publications are solely those of the individual author(s) and contributor(s) and not of MDPI and/or the editor(s). MDPI and/or the editor(s) disclaim responsibility for any injury to people or property resulting from any ideas, methods, instructions or products referred to in the content. |
© 2025 by the authors. Licensee MDPI, Basel, Switzerland. This article is an open access article distributed under the terms and conditions of the Creative Commons Attribution (CC BY) license (https://creativecommons.org/licenses/by/4.0/).
Share and Cite
Shin, K.; Kim, D.; Kim, M.; Park, J.; Han, C. Enhanced Short-Circuit Robustness of 1.2 kV Split Gate Silicon Carbide Metal Oxide Semiconductor Field-Effect Transistors for High-Frequency Applications. Electronics 2025, 14, 163. https://doi.org/10.3390/electronics14010163
Shin K, Kim D, Kim M, Park J, Han C. Enhanced Short-Circuit Robustness of 1.2 kV Split Gate Silicon Carbide Metal Oxide Semiconductor Field-Effect Transistors for High-Frequency Applications. Electronics. 2025; 14(1):163. https://doi.org/10.3390/electronics14010163
Chicago/Turabian StyleShin, Kanghee, Dongkyun Kim, Minu Kim, Junho Park, and Changho Han. 2025. "Enhanced Short-Circuit Robustness of 1.2 kV Split Gate Silicon Carbide Metal Oxide Semiconductor Field-Effect Transistors for High-Frequency Applications" Electronics 14, no. 1: 163. https://doi.org/10.3390/electronics14010163
APA StyleShin, K., Kim, D., Kim, M., Park, J., & Han, C. (2025). Enhanced Short-Circuit Robustness of 1.2 kV Split Gate Silicon Carbide Metal Oxide Semiconductor Field-Effect Transistors for High-Frequency Applications. Electronics, 14(1), 163. https://doi.org/10.3390/electronics14010163

