Abstract
Bidirectional energy storage inverters serve as crucial devices connecting distributed energy resources within microgrids to external large-scale power grids. Due to the disruptive impacts arising during the transition between grid-connected and islanded modes in bidirectional energy storage inverters, this paper proposes a smooth switching strategy based on droop control to mitigate such impacts. Firstly, this paper introduces the principle of droop control under inductive line impedance conditions, elaborating on the relevant components and the design rationale and parameter selection for the control components adopted in this study. During the transition from grid-connected to islanded mode, an improved Active Frequency Drift with Positive Feedback (AFDPF) method is introduced. Building upon the traditional AFDPF, this method optimizes the chopping coefficient by incorporating a positive feedback coefficient and a piecewise function, and proposes a tracking step size with the cube root of the frequency difference, thereby enhancing the efficiency of islanding detection while ensuring harmonic quality in the system. Conversely, during the transition from islanded to grid-connected mode, this paper proposes a composite pre-synchronization control strategy based on droop control, which enables precise tracking of the phase, amplitude, and frequency of the output voltage of the bidirectional energy storage inverter relative to the grid voltage. Finally, simulation models are established using MATLAB/Simulink(MathWorks, R2022b, U.S.), and an experimental platform with the TMS320F28378DPTPS controller built for verification. The results demonstrate that the proposed switching strategy exhibits excellent stability and achieves smooth transitions between grid-connected and islanded modes, outperforming traditional control strategies.
1. Introduction
The use of bidirectional energy storage inverters is crucial for enhancing power exchange in hybrid Alternating Current/Direct Current (AC/DC) networked microgrids [,]. But the switching between grid-connected and off-grid modes of bidirectional energy storage inverters can cause shock effects, impacting the safety of load power consumption. Therefore, researching the switching strategies for bidirectional energy storage inverters between grid-connected and off-grid modes plays a crucial role in the stable operation of microgrids. Currently, there are two primary switching strategies for bidirectional energy storage converters: one is the switching strategy combining PQ control and V/f control, and the other is the switching strategy based on droop control [,,,].
Droop control strategies firstly rely on instantaneous power theory to calculate the active and reactive power generated by the inverter, thereby controlling the voltage magnitude and frequency of its output to satisfy the droop characteristic relationship [,,,]. Through the implementation of droop control, the diverse energy storage devices within the microgrid system can accomplish rational power allocation, thereby sustaining system equilibrium, reliability, and flexibility. Simultaneously, it optimizes the utilization of available energy resources, all without the necessity for additional communication coordination devices [].
The switching strategies for bidirectional energy storage inverters can be decomposed into two key technologies: islanding detection methods and pre-synchronization control strategies [,]. For both technologies, certain requirements are imposed on system stability and power quality after their implementation, yet there exist notable differences in research focus between them.
Islanding detection methods primarily emphasize the following:
- The system’s capability to maintain stability while possessing rapid response capabilities.
- Ensuring a smooth transition from grid-connected to island mode.
In contrast, pre-synchronization control strategies place greater importance on the following:
- The system’s synchronization performance.
- Stability and power quality after grid connection.
Regarding islanding detection methods, refs. [,] propose an impedance detection method that monitors the output impedance of the microgrid in real-time and judges the occurrence of islanding by observing the difference between the output impedance value and the normal impedance value. Ref. [] introduces a power disturbance detection method, which artificially adds a controllable current disturbance signal to cause a certain change in the output power of the bidirectional energy storage inverter, achieving islanding detection through power deviation. Ref. [] presents a sliding mode frequency deviation detection method, which detects the phase difference between Point of Common Coupling (PCC) current and voltage, comparing it with a preset value to determine if islanding has occurred. Refs. [,,] propose an active frequency drift detection method, which artificially adds a controllable current disturbance signal to the inverter output to cause a certain change in the PCC voltage frequency. If the change reaches a preset threshold, successful islanding detection is achieved.
For pre-synchronization control strategies, ref. [] puts forward a microgrid pre-synchronization control strategy based on droop control, designing a phase-frequency synchronization control system to solve the problem of asynchronization between the output voltage and grid voltage during grid connection. The author in [] proposes an active synchronization control for distributed power sources based on self-recovering droop, which solves the difficulty that traditional droop control has in achieving simultaneous synchronization of frequency and phase. Ref. [] introduces a Virtual Synchronous Generator (VSG) off/grid pre-synchronization control strategy based on phase angle compensation without a phase-locked loop, leveraging the characteristic of VSG’s ability to automatically generate phase references to simplify the grid-connection pre-synchronization process.
This paper focuses on bidirectional energy storage inverters as the subject of research, elucidating the control principle of their droop control method. In addressing the switching control strategy for bidirectional energy storage inverters, an improved islanding detection method with positive feedback and a composite pre-synchronization control method are proposed. The implementation processes and the principles underlying these switching strategies are elaborated upon in detail. The effectiveness and superiority of the proposed seamless switching control strategy are verified through MATLAB/Simulink(MathWorks, R2022b, U.S.) simulation software, as well as through an experimental platform utilizing the TMS320F28378DPTPS controller. The main contributions of this work are therefore summarized as follows:
- This study elaborates on the relevant components, design principles, and parameter selection of the control components employed, and introduces a parameter setting method for the double closed-loop control adopted in this paper.
- An improved AFDPF algorithm is proposed. This method optimizes the chopping function by introducing positive feedback and piecewise functions. Additionally, a method based on the cube root of the frequency difference is introduced, considering the safe frequency fluctuation range of the grid. This ensures harmonic quality while enhancing the islanding detection speed by 50%.
- A composite pre-synchronization control strategy based on droop control is proposed, which ensures the accuracy of pre-synchronization.
- Simulations and experiments were conducted for the two proposed methods, along with the introduction of the system configuration and electrical experimental diagrams used in setting up the experiments, in order to verify their stability and superiority.
2. Droop Control Principle
The droop control principle is exemplified through the parallel operation of two bidirectional energy storage inverters within a microgrid, as depicted in the simplified system topology shown in Figure 1.

Figure 1.
Simplified topology of micro-grid system.
In the case where the impedance of the transmission line exhibits inductive characteristics, the active power and reactive power can be approximately expressed as follows:
It can be seen that active power is linearly related to , and reactive power is linearly related to . Therefore, we can alter the power output by adjusting the phase angle and magnitude of the voltage, and adjusting the is essentially equivalent to adjusting the . Consequently, we can derive the droop control formula as follows:
Among them, and are preset tracking values of frequency and voltage amplitude, and are preset reference tracking values of active power and reactive power, and m and n are droop coefficients in the droop link.
3. Bidirectional Energy Storage Inverter Droop Control
Figure 2 depicts the fundamental block diagram of a bidirectional energy storage inverter employing droop control. The droop controller of this inverter is constructed with three integral components: instantaneous power calculation, which rapidly assesses the power flow; droop control, which adjusts the output voltage and frequency in response to system loading conditions to maintain stability; and voltage–current dual-loop decoupling control, which enhances the dynamic performance and stability of the system by decoupling the voltage and current control loops.

Figure 2.
Schematic diagram of droop control for bidirectional energy storage inverter.
3.1. Instantaneous Power Calculation
The filtered outputs of the bidirectional energy storage inverter, and , undergo transformations to obtain the active components of the output voltage and current, and , as well as the reactive components, and , respectively. Subsequently, the current instantaneous power P and Q are calculated using the computational formulas of instantaneous power theory.
3.2. Droop Control Module
The control method of the droop curve is as follows: the droop curve is used to map the P and Q obtained from the instantaneous power calculation link, and then ω and U are obtained. The reference voltage required for the next link is generated according to the known voltage amplitude and frequency values. The formula for the reference voltage generation module is as follows:
The principle of the droop control is illustrated in Figure 3.

Figure 3.
Schematic diagram of droop control module.
3.3. Dual-Loop Decoupling Control of Voltage and Current
In designing the droop control principle, the inner current loop within the voltage–current dual-loop control plays a pivotal role in shaping the dynamic characteristics of the entire microgrid system. There are typically two methods for the feedback of the inner loop current: filtered inductor current feedback and filtered capacitor current feedback. To effectively mitigate the adverse effects of accidental load short-circuits, the filtered inductor current feedback approach is adopted here. Additionally, to enhance the voltage disturbance rejection capability of the microgrid system, voltage feedforward control is incorporated.
Based on our analysis, we can derive the state equations of the bidirectional energy storage inverter in the a-b-c coordinate system as follows:
Furthermore, the state equations in the d-q rotating coordinate system are obtained as follows:
From Equation (6), it can be observed that the output voltage and inductor current of the bidirectional energy storage inverter in the d-q coordinate system exhibit strong coupling between their d-axis and q-axis components. Therefore, appropriate decoupling control measures need to be taken.
Additionally, the active voltage component and reactive voltage component of the three-phase output voltage of the bidirectional energy storage inverter in the d-q rotating coordinate system can be obtained as follows:
To enhance the steady-state performance of the system and simplify the complexity of the controller, a PI controller is utilized for the outer voltage loop, with its output serving as the input for the inner current loop controller. Consequently, the output of the outer voltage loop controller is obtained as
In Equation (8), and are, respectively, the preset reference values of the d-axis and q-axis of the output voltage of the bidirectional energy storage inverter.
To improve the dynamic response performance of the microgrid system and simplify the complexity of the controller, a proportional controller is used for the current inner loop. The preset reference currents of the d-axis and q-axis of the current inner loop are
According to Equation (9), the output of the current inner loop controller is
Combining Equations (7)–(9), we can obtain
From Equation (11), it can be observed that the decoupling of the d-axis and q-axis components of the output voltage and inductor current of the bidirectional energy storage inverter in the d-q coordinate system has been achieved.
3.4. Parameter Design of Current Inner Loop
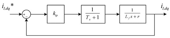
The control block diagram of the inner current loop can be obtained as Figure 4, where represents the proportional coefficient of the proportional controller; represents the signal sampling delay, with = being the sampling period value. represents the inductor filtering stage, where and .

Figure 4.
Controller structure of current inner loop.
Before introducing the proportional controller into the system, its open-loop transfer function is as follows:
From Equation (12), it can be derived that the system’s breakpoint frequencies are and .
The open-loop transfer function of the system has the following relationship with the transfer function of the proportional regulator in the inner current loop:
Based on Equation (13), the proportional coefficient is obtained as 0.8.
By combining Equation (12) with Equation (13), the open-loop transfer function of the inner current loop controller is derived as
Based on Equation (14), the closed-loop transfer function of the inner current loop controller is obtained as
The value of the system’s sampling time is very small; therefore, the coefficient of its term can be ignored. Equation (15) can be further simplified as
3.5. Voltage Outer Loop Parameter Design
The controller structure of the outer voltage loop is shown in Figure 5, where and are the proportional and integral coefficients of the PI controller, respectively; represents the signal sampling delay, is the closed-loop transfer function of the inner current loop, and denotes the filtering element, with .

Figure 5.
Controller structure of voltage outer loop.
Before adding the PI controller to the system, its open-loop transfer function is
Since the crossover frequency of the outer voltage loop is 0.2 times that of the inner current loop, that is, , Equation (17) can be derived as
Assuming a cutoff frequency of 120 Hz for the PI controller in this paper, the following relationship can be established:
By combining Equations (18) and (19), the proportional and integral coefficients can be solved:
Obtaining the open-loop transfer function of the outer voltage loop controller:
Based on Equation (21), the closed-loop transfer function of the outer voltage loop controller is obtained as
By applying the root locus method, the root locus diagram of the system has been plotted, as shown in Figure 6. From this diagram, we can observe that all the roots of the designed system lie in the left-half plane of the complex plane, indicating that the system is stable. Furthermore, through detailed analysis of the root locus diagram, we can conclude that both the steady-state and dynamic performance of the system exhibit favorable characteristics.

Figure 6.
System root locus diagram.
4. Bidirectional Energy Storage Inverter and Off-Grid Switching Control Strategy
The bidirectional energy storage converter in the power grid must possess the capability for seamless switching between grid-connected and islanding modes to cope with frequency and voltage dips resulting from unforeseen circumstances in the main grid. Upon detecting the occurrence of an islanding phenomenon, the bidirectional energy storage converter should promptly switch to the islanding mode and adjust its droop curve to accommodate the electrical parameter changes induced by the mode transition while simultaneously supporting the normal operation of the load. Once the bidirectional energy storage converter completes the transition to islanding mode, its output voltage and frequency will increase to preset levels, accompanied by a corresponding decrease in output power. If the reduced output power after this transition suffices to meet the load demand, a steady state is achieved. Conversely, if the output power is insufficient to satisfy all loads, further adjustments to the droop characteristic curve are necessary to meet the power requirements. Therefore, during the transition from grid-connected to islanding mode, the electrical parameters of the bidirectional energy storage converter do not undergo abrupt changes, rendering smooth switching feasible.
4.1. Improved Active Frequency Offset Method with Positive Feedback
In view of the issues with traditional Active Frequency Drift (AFD) methods, such as excessively long detection periods during the grid-connected to island mode switching process, cancellation phenomena that can lead to detection failures during the detection process, and increased harmonic pollution, this paper proposes an improved active frequency drift detection method (AFDPF) with positive feedback to improve the efficiency of islanding detection and reduce the total harmonic distortion (THD) of the inverter output current. The principle of this method is shown in Figure 7.

Figure 7.
Improved detection principle diagram of active frequency perturbation method with positive feedback.
In the AFDPF, within the same cycle, the output current of the bidirectional energy storage converter is in phase with the voltage at the PCC. If a deviation in the PCC frequency is detected by the phase-locked loop (PLL), the controller is designed to increase the current frequency for the next cycle by incorporating the difference between the PCC voltage frequency and the rated grid frequency into the chopping coefficient. This action accelerates the process of the PCC voltage frequency exceeding the protection threshold. The controller maintains the output current at zero after it crosses the zero point, until the PCC voltage also reaches its zero point, at which point the restriction on the output current is released. The chopping coefficient mentioned here is defined as
Wherein, represents the chopping coefficient applied in the previous cycle, k is the positive feedback coefficient, and denotes the rated grid frequency.
In our analysis, we have observed that the AFDPF generates different detection scenarios depending on the nature of the load.
- For purely resistive loads, the characteristics of current and voltage being in-phase and at the same frequency prevent the disturbance from canceling out with the load’s own impedance angle;
- For capacitive impedance loads, due to the inherent characteristic where the voltage phase lags behind the current phase, the rate of current change is slower than the rate of voltage change. Therefore, when the grid-connected mode switches to the islanding mode, it causes the system frequency to decrease automatically. If an upward frequency disturbance is applied at this point, it may result in the positive frequency disturbance offsetting the natural downward frequency shift caused by the impedance, significantly reducing the speed at which the frequency exceeds the protection threshold or preventing it from doing so altogether. Consequently, it is necessary to apply a downward frequency disturbance;
- For inductive impedance loads, the voltage phase leads the current phase. When the grid-connected mode switches to the islanding mode, the system frequency increases. If a downward frequency disturbance is applied at this point, it may result in the negative frequency disturbance offsetting the natural upward frequency shift caused by the impedance, thereby creating a detection blind spot in islanding detection. Therefore, it is necessary to apply an upward frequency disturbance.
Given the varying nature of loads, this paper introduces a sign coefficient method on the basis of the AFDPF to ensure that the same disturbance direction is applied regardless of the impedance characteristics. The sign coefficient function is defined as follows:
At this point, . When the difference between the voltage frequency at the PCC and the grid voltage frequency is positive, , and the frequency disturbance direction needs to be set to positive, with the sign function value being one. When the difference between the voltage frequency at the PCC and the grid voltage frequency is negative, , and the frequency disturbance direction needs to be set to negative, with the sign function value being −1. Therefore, the chopping coefficient at this time is
To enhance the efficiency of islanding detection, it is desirable to maximize the chopping coefficient, but this simultaneously leads to an increase in the injected disturbance signal, thereby exacerbating harmonic pollution. To address this contradiction, this paper introduces a method of taking the cube root of the frequency difference . Within the safe frequency fluctuation range of the grid, the feedback remains unchanged, and when it exceeds this range, the transformed feedback is increased. This method not only improves the efficiency of islanding detection but also controls the harmonics in the system. Since the safe frequency fluctuation range of the grid is 0.2 Hz, the expression for the chopping coefficient in the AFDPF method adopted in this paper during the transition from grid-connected to islanding mode is
The specific process is as follows: The microgrid system constantly monitors the PCC voltage frequency. If the detected frequency difference from the grid frequency is less than 0.2 Hz, it indicates that the PCC voltage frequency fluctuation is within the safe range and the probability of islanding is low. At this point, a disturbance signal is injected into the output current of the energy storage converter. If the detected frequency difference from the grid frequency is greater than 0.2 Hz, it indicates that the PCC voltage frequency fluctuation has exceeded the safe range and the probability of islanding has significantly increased. At this point, a disturbance signal is injected into the output current of the energy storage converter to increase the feedback value and accelerate islanding detection. If the detected PCC voltage frequency is less than 0.5 Hz, the relationship between and 0.2 Hz is re-evaluated until a frequency error of no less than 0.5 Hz is detected, at which point the occurrence of islanding is determined.
Based on the analysis, the flowchart for the improved Active Frequency Drift method with positive feedback proposed in this paper is obtained as follows Figure 8:

Figure 8.
Improved detection process of active frequency perturbation method with positive feedback.
From Figure 7, the leading phase angle of the fundamental current relative to the PCC voltage can be obtained as follows:
When the bidirectional energy storage converter loses connection with the main grid, due to the loss of the grid’s clamping effect and without switching to islanding mode, the PCC frequency will undergo a disturbance process until it reaches a new steady state. During this process, the load phase angle is
where is the angular frequency of the PCC voltage, is the quality factor, is the load resonance frequency, and is the grid frequency.
Analysis of the above equation reveals that when the load resonance frequency of the microgrid is almost identical to the grid frequency, approximates 0, and the load can be approximated as having resistive characteristics. In such cases, traditional AFD methods may find it difficult to detect islanding phenomena. The improved AFDPF algorithm proposed in this paper overcomes the limitations of traditional AFD by altering the chopping coefficient and introducing a sign function. Of course, the initial chopping coefficient needs to be controlled within a reasonable range to prevent excessive frequency disturbance that may cause harmonic pollution.
4.2. Improved Composite Pre-Synchronization Control Strategy
During islanding mode operation, the bidirectional energy storage converter adjusts its output power according to the droop characteristic curve, resulting in significant fluctuations in the voltage at the PCC. When switching from this mode to grid-connected mode, there is a potential for strong impact effects upon connection to the main grid. Therefore, it is necessary to employ a certain pre-synchronization control strategy before the microgrid connects to the grid, ensuring that the various parameters of the voltage at the PCC are consistent with those of the grid voltage to achieve a smooth transition.
Figure 9a,b illustrate the schematic diagrams of the switching process in islanding mode and grid-connected mode, respectively. Through analysis, it can be observed that the load currents in the steady-state islanding mode and the steady-state grid-connected mode are as follows:

Figure 9.
Schematic diagram of mode switching: (a) Islanding modes; (b) grid-connected mode.
The inrush current generated after the switchover can be calculated by combining the grid-connected current and the off-grid current:
From the perspective of inrush current, any discrepancy in any voltage parameter at the PCC prior to grid connection with those of the main grid will result in , causing a load impact. A seamless transition, characterized by the absence of inrush current upon switching, occurs only when , , where represents the angular frequency, represents the phase angle, denotes the voltage of the distributed generation system, and signifies the grid voltage. Under these conditions, a smooth switchover can be achieved.
To compensate for the shortcomings of traditional pre-synchronization control in terms of low phase synchronization accuracy, this paper proposes a composite pre-synchronization control strategy for bidirectional energy storage inverters based on droop control. This strategy tracks and synchronizes both the phase and amplitude of the output voltage to achieve better synchronization results. The principle of this control strategy is illustrated in Figure 10.

Figure 10.
Improved detection process of active frequency perturbation method with positive feedback.
This control strategy independently tracks and synchronizes the phase and amplitude of the output voltage, using the phase obtained from the Power Line Locked Loop (PLL) of the grid voltage as the standard. This standard is then assigned to the output voltage of the bidirectional energy storage converter for individual control to obtain the frequency difference. Compared to traditional synchronization control strategies, which merely employ difference calculation and PI regulation during the phase tracking process, this approach significantly enhances synchronization accuracy.
The control module primarily comprises three submodules: the instantaneous power calculation section, the phase and angular frequency synchronization tracking module, and the amplitude synchronization tracking module.
The calculation formula for the instantaneous power calculation section is Equation (3), Here, a low-pass filter with a transfer function of is applied to and to filter out harmonic contamination. Consequently, the final output power of the instantaneous power calculation section is given by Equation (32). The calculated output power is then fed into the droop control section.
4.2.1. Phase-Locked Loop Module
In the Phase-Locked Loop (PLL) module, the three-phase voltage of the grid undergoes coordinate transformation to obtain the active voltage and reactive voltage of the grid, denoted as and respectively. By subtracting zero from the reactive voltage and passing the result through a Proportional-Integral (PI) controller, the output obtained is an angular frequency. This angular frequency is then added to the inherent angular frequency to obtain the output angular frequency. By integrating this output angular frequency, the output phase can be obtained. The working principle of the PLL is illustrated in Figure 11.

Figure 11.
Schematic diagram of PLL for three-phase grid voltage.
4.2.2. Phase and Angular Frequency Synchronous Tracking Module
In the composite pre-synchronization control strategy adopted in this paper, the phase is independently tracked and synchronized. The working principle of the synchronization tracking module is illustrated in Figure 12.

Figure 12.
Schematic diagram of the Synchronous Trace module.
By performing coordinate transformation on the three-phase output voltage , the output active voltage u-d and the output reactive voltage u-q are obtained as follows:
Subsequently, the output reactive voltage is compared with zero, and a PI regulation control is employed. The output angular frequency of the regulator serves as a compensation value for the output voltage angular frequency. This compensated angular frequency is then fed into the droop control section to obtain the final reference angular frequency for the inverter’s output voltage, which is expressed as
The schematic diagram for the synchronous tracking of the output voltage to the target grid voltage is shown in Figure 13. The process of parameter tracking essentially involves continuously adjusting the angular frequency of the output voltage so that the phase difference gradually approaches zero with respect to the grid voltage. When = 0, it indicates that the output voltage of the bidirectional energy storage converter has achieved complete synchronization in frequency and phase with the grid voltage, at which point . Therefore, during pre-synchronization control, setting can be used as a means to achieve synchronization in phase and angular frequency between the two.

Figure 13.
Schematic diagram of output voltage tracking grid voltage.
During the angle tracking process, the relationship between the current phase angle and the obtained from the Phase-Locked Loop (PLL) can be used to determine the relationship between the current reactive power component and 0, thereby continuously adjusting the speed of . If at this moment, it satisfies Equation (35), indicating that the inverter frequency is ahead, and ω needs to be decelerated. Consequently, the frequency variable generated after PI regulation will be less than zero.
Conversely, if at this moment, it satisfies Equation (36), indicating that the inverter frequency is lagging, and needs to be accelerated. Therefore, the frequency variable generated after PI regulation will be more than zero.
4.2.3. Amplitude Synchronous Tracking Module
The synchronization tracking principle for the output voltage magnitude during pre-synchronization control is as follows: The grid voltage magnitude is extracted through the Phase-Locked Loop (PLL), and a difference is calculated with the PCC voltage. This difference is then regulated using a PI control, and the output voltage of the PI controller serves as a compensation value for the output voltage magnitude of the inverter.
5. Simulation Results
5.1. Grid-Connected to Off-Grid Switching Process Simulation
The bidirectional energy storage inverter, based on droop control, operates in a grid-connected state and switches to islanding mode upon detection of an islanding event. During the initial phase from t = 0 to 0.2 s, the microgrid initiates grid connection and achieves steady-state operation. At t = 0.2 s, an islanding condition occurs, prompting the islanding detection system to promptly identify the event and subsequently switch the bidirectional energy storage inverter from grid-connected to off-grid operation.
As shown in Figure 14, when the traditional Active Frequency Drift (AFD) method is employed, the islanding event is detected at 0.32 s (0.12 s after the actual occurrence of islanding). In contrast, when using the Active Frequency Drift with Positive Feedback (AFDPF) method, which incorporates positive feedback, the detection occurs at 0.28 s (0.08 s after the actual islanding). Under the simulation condition of 0.5 s, the detection speed is significantly improved by 50% compared to the traditional AFD method. It is worth noting that this effect is based on the already rapid islanding detection capabilities we possess. The 0.04 s improvement represents a step forward in ensuring higher system safety and reliability in a quickly responding system.

Figure 14.
Islanding detection waveforms: (a) Waveform using traditional AFD methods; (b) Waveform using the AFDPF method.
Figure 15 demonstrates that the disconnection does not introduce any significant disturbance to the output waveform. Notably, the frequency exceeds the threshold of 49.5~50.5 Hz at 0.32 s with the traditional AFD method, whereas with the AFDPF method incorporating positive feedback, this occurs at 0.28 s.

Figure 15.
PCC voltage frequency waveforms: (a) Waveform using traditional AFD method; (b) Waveform using the improved AFD method.
Figure 16 displays the total harmonic distortion (THD) of the current waveforms obtained by using the traditional islanding detection method and the AFDPF method, respectively. In Figure 16a, the THD of the current using the traditional Active Frequency Drift (AFD) method is 6.03%, while in Figure 16b, the THD obtained after applying the AFDPF method with positive feedback is 4.80%. Compared to the traditional AFD method, the improved method with positive feedback introduces less harmonic pollution to the microgrid.

Figure 16.
Current waveform THD: (a) Waveform using traditional AFD method; (b) Waveform using the improved AFD method.
5.2. Off-Grid Switching to Grid-Connected Process Simulation
The microgrid operates in a steady-state condition under the islanding mode and then switches to grid-connected operation after pre-synchronization control. From t = 0 to 0.6 s, the microgrid starts in islanding mode and achieves a stable operation. At t = 0.2 s, the bidirectional energy storage inverter initiates pre-synchronization adjustment. Upon completion of the pre-synchronization control, the system transitions from an off-grid state to a grid-connected operation state. The resulting simulation waveforms are presented in Figure 17.

Figure 17.
The voltage and current waveforms in the switching process from off-grid mode to grid-connected mode (Green line: Phase A, red line: Phase B, blue line: Phase C).
As evident from Figure 17, the addition of pre-synchronization control results in a relatively smooth current switching process, without imposing any impact on the system, thus achieving a seamless transition from the off-grid mode to the grid-connected mode.
6. Experimental Results
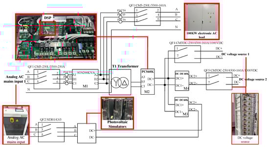
To validate the effectiveness of the seamless grid-connected/off-grid switching control strategy, a typical control system comprising a photovoltaic (PV) simulator, a Power Conversion System (PCS), and commercial electricity was employed for experimentation. Figure 18 illustrates the system configuration and electrical schematic. The PCS utilized in this setup has a rated power of 100 kW, with the control chip being the TMS320F28378DPTPS model. An electronic load was used to simulate AC loads, with a rated power of 100 kW. The AC/DC converter operated with rated grid-connected voltage of 400 V (ranging from 320 V to 460 V), a rated grid-connected frequency of 50 Hz (ranging from 47.5 Hz to 51.5 Hz), and a rated off-grid voltage of 380 V/400 V (ranging from 360 V to 420 V).

Figure 18.
System configuration and electrical schematic.
6.1. Experimental Verification of Transition from Grid-Connected to Off-Grid Mode
With QF2 and QF5 disconnected, and the PV simulator powered off, the simulated AC commercial power supply is set to output at a rated voltage of 400 V, while the simulated DC voltage source 1 is configured to output at 750 V. The PCS module is set to operate in an automatic grid-to-off-grid transition mode. The AC load is set to 30 kW. Upon disconnecting the QF1 switch, the system detects an abnormality in the commercial power voltage, triggering the Static Transfer Switch (STS) seamless switching module to cooperate with the AC/DC converter to automatically switch to off-grid voltage source operation. The waveform during the transition is shown in Figure 19 (in the figure, RMS stands for Root Mean Square). It is observed that the automatic off-grid switching time is approximately 4.3 milliseconds, during which the AC/DC converter system establishes an AC voltage to supply power to critical AC loads.

Figure 19.
Experimental results for transition from grid-connected to off-grid mode.
6.2. Experimental Verification of Transition from Off-Grid to Grid-Connected Mode
After the system is connected to the load and operates in off-grid mode, during the operation, it switches from grid-connected mode to off-grid mode. Once the switch is closed, the proposed improved pre-synchronization control strategy is implemented to achieve tracking of frequency, phase, and amplitude for pre-synchronization. After the pre-synchronization is completed, the system enters grid-connected mode. The single-phase mains voltage, load-side voltage, and mains input current are connected to an oscilloscope to observe the waveform diagram, as shown in Figure 20.

Figure 20.
Experimental results for transition from off-grid to grid-connected mode.
7. Conclusions
During the seamless transition from grid-connected to off-grid operation, regardless of whether it is a planned or unplanned transition to island mode, the incorporation of an enhanced active frequency drift detection technique with positive feedback mechanisms significantly diminishes the duration of islanding detection and mitigates the total harmonic distortion (THD) of the bidirectional energy storage inverter’s output current. It markedly mitigates the adverse effects on the electrical power quality of the grid. This advanced approach dynamically adapts based on the inherent characteristics of the load impedance, whether it be inductive or capacitive, thereby enhancing performance. Conversely, during the reverse transition from off-grid to grid-connected operation, a sophisticated pre-synchronization control strategy, grounded in the principles of droop control, ensures a smooth and seamless transition back to grid-connected mode from island mode. The deployment of these refined control methodologies facilitates robust and uninterrupted switching between grid-connected and off-grid modes, thereby underpinning the stable and reliable operation of bidirectional energy storage inverters within power electronic systems.
Future research will further explore the impact of the detection blind zone associated with the improved AFDPF algorithm proposed in this paper. Additionally, it will investigate the integration of the enhanced AFDPF with other islanding detection methods, such as passive detection techniques, to create complementary advantages and further enhance detection performance. Moreover, there will be an in-depth study on how to optimize the pre-synchronization control strategy presented in this paper through a data-driven approach.
Author Contributions
Conceptualization, Y.J. and H.Z.; methodology, Y.J. and R.Z.; validation, X.C., R.Z.; formal analysis, L.J.; investigation, X.C. and R.Z.; resources, Y.J., H.Z., X.C. and X.W.; data curation, R.Z.; writing—original draft preparation, R.Z.; writing—review and editing, X.C. and X.W.; visualization, R.Z.; supervision, X.C. and X.W.; project administration, L.J., Y.L. and H.Z.; funding acquisition, Y.J., Y.L. and H.Z. All authors have read and agreed to the published version of the manuscript.
Funding
This research was funded by the National Natural Science Foundation of China under Grant 52377020.
Data Availability Statement
The original contributions presented in the study are included in the article; further inquiries can be directed to the corresponding author.
Conflicts of Interest
Authors Yafeng Ju and Yanqing Liu were employed by the PetroChina Changqing Oilfield Company. The remaining authors declare that the research was conducted in the absence of any commercial or financial relationships that could be construed as a potential conflict of interest.
References
- IEEE Std 2030.7-2017; IEEE Standard for the Specification of Microgrid Controllers. IEEE: Piscataway, NJ, USA, 2018.
- Liang, Z.; Chung, C.Y.; Zhang, W.; Wang, Q.; Lin, W.; Wang, C. Enabling High-Efficiency Economic Dispatch of Hybrid AC/DC Networked Microgrids: Steady-State Convex Bi-Directional Converter Models. IEEE Trans. Smart Grid 2024. [Google Scholar] [CrossRef]
- Bo, X.; Wu, Q.; Zhao, F.; Yang, J.; Zhen, J.; Miao, H.; Gu, P. A seamless switching strategy of optical storage AC/DC microgrid. Mod. Power 2018, 35, 71–76. [Google Scholar]
- Shi, R.L.; Zhang, X.; Xu, H.; Liu, F.; Hu, C.; Yu, Y. Seamless switching control strategy of microgrid operation mode based on virtual synchronous generator. Power Syst. Autom. 2016, 40, 16–23. [Google Scholar]
- Wang, S.; Du, W.; Wang, H.; Lin, L.; Chen, W.; Gao, X. Research on parallel/off-grid switching technology of microgrid based on improved nonlinear droop control. Electr. Meas. Instrum. 2018, 55, 112–118. [Google Scholar]
- Chen, Z.; Zhou, L.; Wu, Z.; Lou, J. Research on smooth switching control of energy storage converter in microgrid. Mod. Electron. Technol. 2022, 45, 102–106. [Google Scholar]
- Wang, W. Research on Control Strategies for Smooth Switching Between Grid-Connected and Islanded Operation Modes of Microgrids. Master’s Thesis, Nanjing University of Aeronautics and Astronautics, Nanjing, China, 2017. [Google Scholar]
- Liu, L.; Xu, Q.Q. A Novel Power Allocation and Voltage Regulation Control Strategy for Islanded Microgrids. Power Capacit. React. Power Compens. 2018, 39, 131–136. [Google Scholar]
- Bouzid, A.E.M.; Sicard, P.; Chaoui, H.; Cheriti, A.; Sechilariu, M.; Guerrero, J.M. A novel Decoupled Trigonometric Saturated droop controller for power sharing in islanded low-voltage microgrids. Electr. Power Syst. Res. 2019, 168, 146–161. [Google Scholar] [CrossRef]
- Xing, C.; Xiao, J.; Li, P.; Xi, X.; Chen, Y.; Guo, Q. Adaptive Virtual Inertial Control and Virtual Droop Control Coordinated Control Strategy for Hybrid Energy Storage Taking into Account State of Charge Optimization. Electronics 2024, 13, 1228. [Google Scholar] [CrossRef]
- Clemente, A.; Arias, P.; Gevorkov, L.; Trilla, L.; Obrador Rey, S.; Roger, X.S.; Domínguez-García, J.L.; Filbà Martínez, À. Optimizing Performance of Hybrid Electrochemical Energy Storage Systems through Effective Control: A Comprehensive Review. Electronics 2024, 13, 1258. [Google Scholar] [CrossRef]
- Dang, K.; Yang, F.; Gong, Y.; Yan, G. Overview of islanding detection methods for distributed grid-connected power generation systems. Power Electron. Technol. 2016, 50, 45–48. [Google Scholar]
- Liu, M.; Wang, S.; Wen, S. Research on smooth switching control strategy of photovoltaic storage microgrid. Renew. Energy 2020, 38, 1633–1639. [Google Scholar]
- Li, Z.; Zeng, C.; Miao, H.; Li, R. Research on Grid Impedance Detection Method Based on Dual Harmonic Injection. China Plant Eng. 2022, 15, 192–194. [Google Scholar]
- Shrivastava, S.; Jain, S.; Nema, R.K.; Chaurasia, V. Two level islanding detection method for distributed generators in distribution networks. Int. J. Electr. Power Energy Syst. 2017, 87, 222–231. [Google Scholar] [CrossRef]
- Pramangioulis, D.; Atsonios, K.; Nikolopoulos, N. A methodology for determination and definition of key performance indicators for smart grids development in island energy systems. Energies 2019, 12, 330–337. [Google Scholar] [CrossRef]
- Kan, J.; Luo, Y.; Xie, S.; Gu, C.; Wu, Y.; Yao, Z. Anti-islanding performance analysis of phase-locked loop based on droop characteristics. J. Electr. Technol. 2013, 28, 165–170. [Google Scholar]
- Wang, K.; Huang, C. A novel frequency-shift islanding detection method without blind zone and low distortion. J. Power Syst. Autom. 2020, 32, 59–65. [Google Scholar]
- Li, G.; Qu, S.; Li, X.; Yao, G.; He, W. Islanding Detection Method for Active Distribution Network Based on Positive Feedback Active Frequency Shift. Electr. Power Sci. Eng. 2020, 36, 31–36. [Google Scholar]
- Zhou, X.; Shen, A.; Xu, J. Improved Active Frequency Drift Islanding Detection Method for Grid-Connected Photovoltaic Power Generation System. In Proceedings of the 2018 10th International Conference on Modelling, Identification and Control (ICMIC), Guiyang, China, 2–4 July 2018; pp. 1–6. [Google Scholar]
- Liang, M.; Cai, X.; Gong, L.; Wang, B. Research on grid-connected pre-synchronization control of microgrid based on droop control. Comput. Simul. 2022, 39, 80–86+109. [Google Scholar]
- Chai, X.; Zhang, C.; Zhao, X.; Lin, Y.; Gang, L. Active Synchronization Control and Parameter Optimization of Distributed Generation Based on Self-Recovering Droop Control. Autom. Electr. Power Syst. 2020, 44, 128–133. [Google Scholar]
- Shen, Z.; Dong, Z.; Li, X. VSG-based PLL-free optical storage grid-connected pre-synchronization control strategy. Electr. Eng. 2022, 46–49+158. [Google Scholar] [CrossRef]
Disclaimer/Publisher’s Note: The statements, opinions and data contained in all publications are solely those of the individual author(s) and contributor(s) and not of MDPI and/or the editor(s). MDPI and/or the editor(s) disclaim responsibility for any injury to people or property resulting from any ideas, methods, instructions or products referred to in the content. |
© 2024 by the authors. Licensee MDPI, Basel, Switzerland. This article is an open access article distributed under the terms and conditions of the Creative Commons Attribution (CC BY) license (https://creativecommons.org/licenses/by/4.0/).