Novel Hybrid SOR- and AOR-Based Multi-User Detection for Uplink M-MIMO B5G Systems
Abstract
1. Introduction
2. System Model
2.1. OFDM Systems
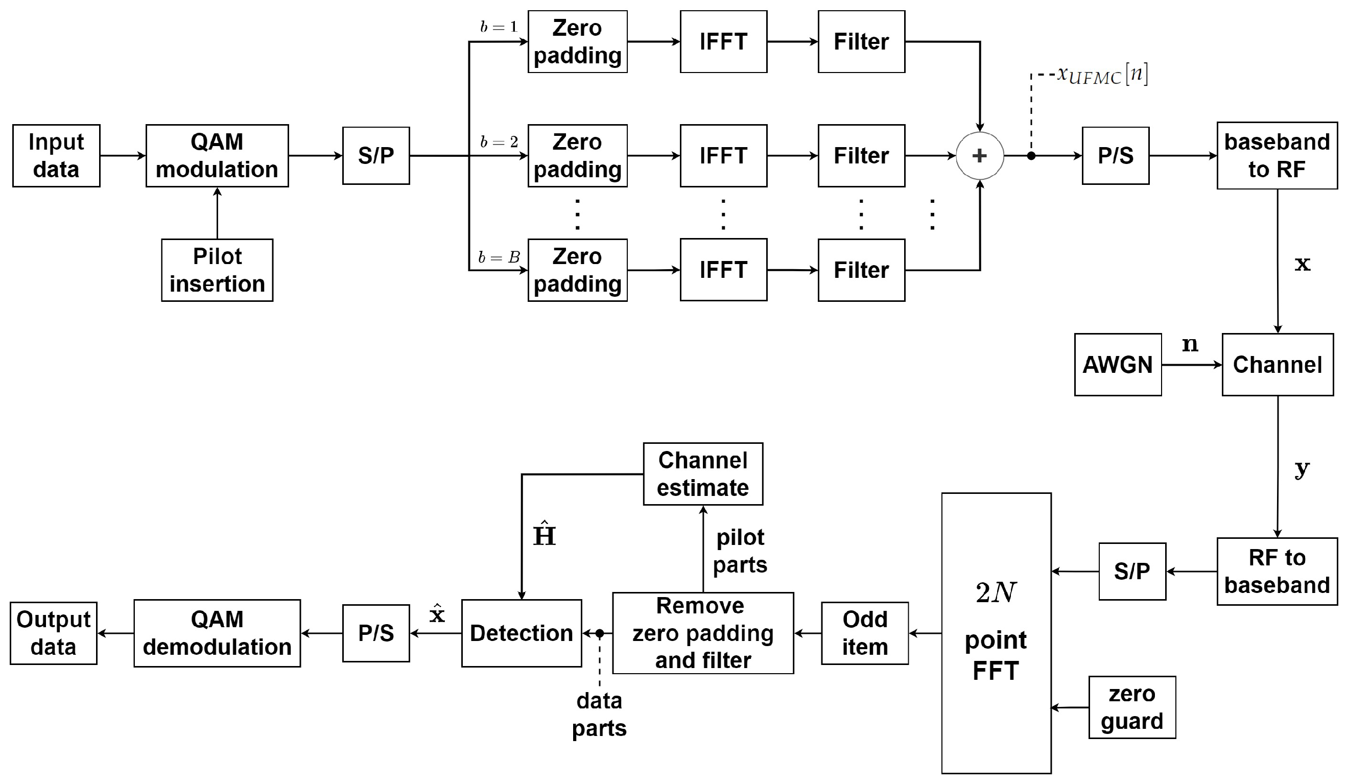
2.2. UFMC Systems
2.3. Multi-User M-MIMO Channel Model
3. Proposed Scheme
3.1. Overview of the Conventional SOR Method
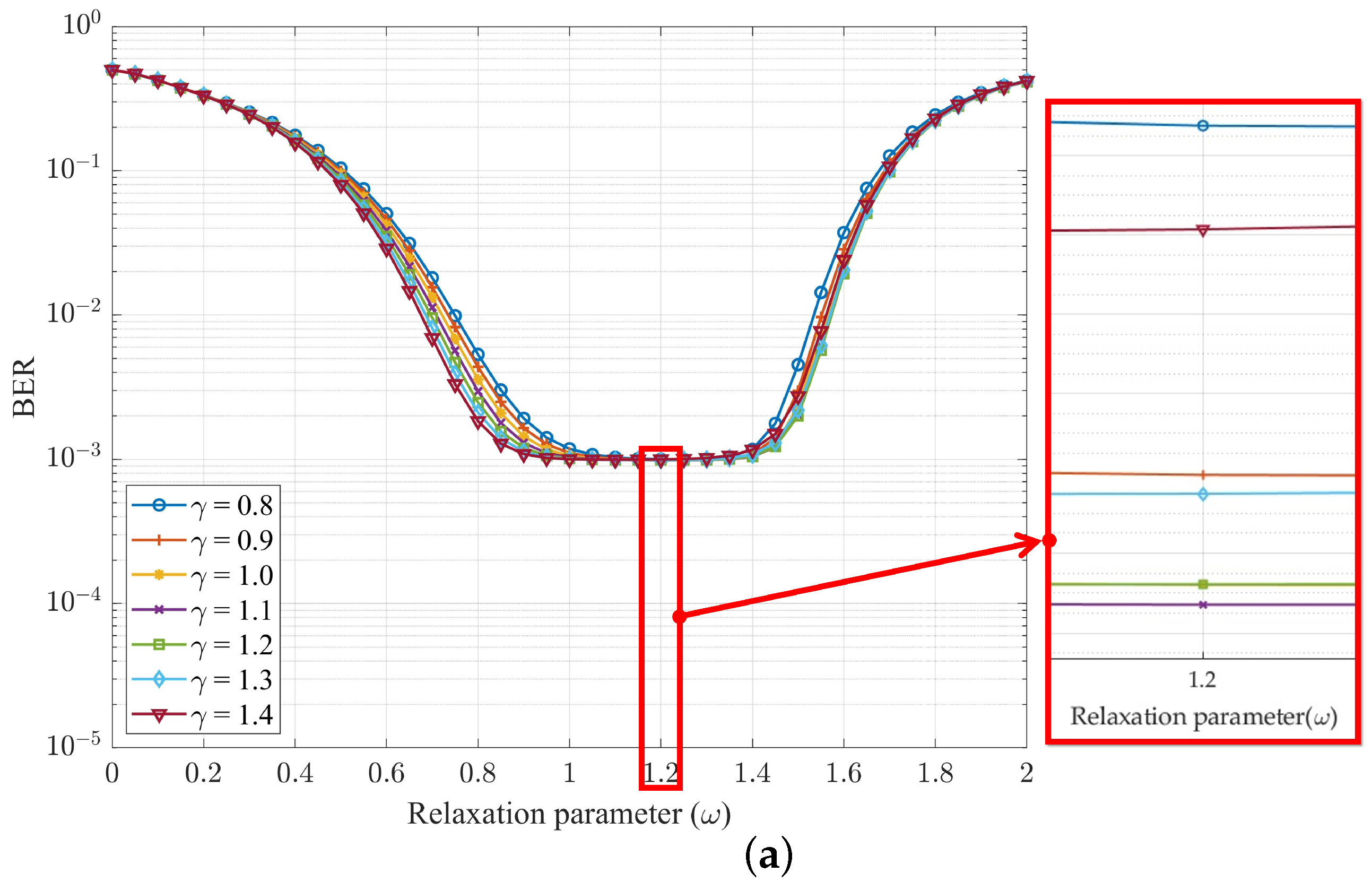
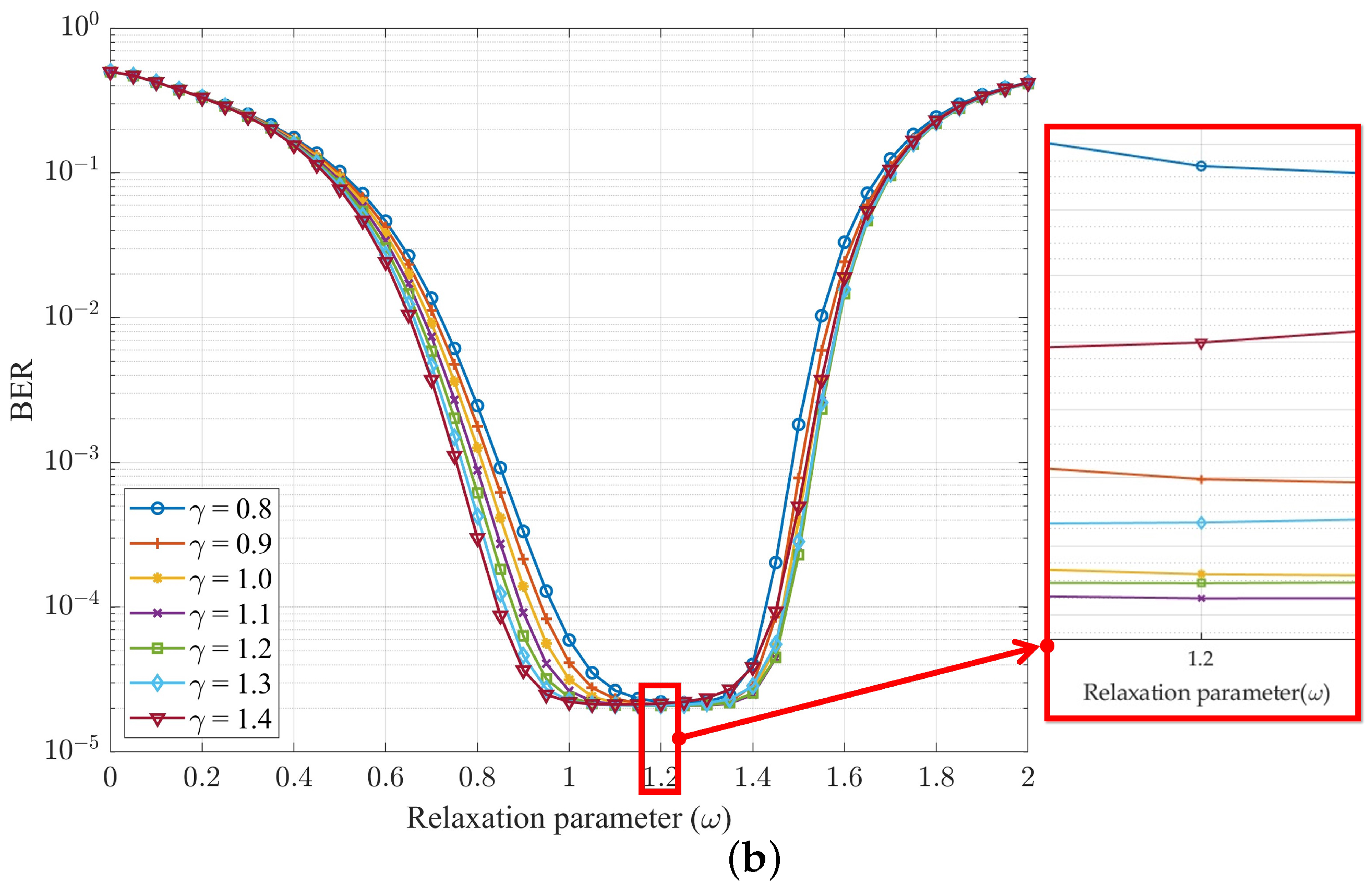
3.2. Overview of the Conventional AOR Method
3.3. Proposed MOR Method
| Algorithm 1 Proposed MOR detection algorithm. |
Receiver signal input:
The first part: (initial stage)
The second part: (collaborative stage) While not converging, do End Set Receiver signal output: The estimate of the transmitted signal vector |
4. Simulation Results and Complexity Analysis
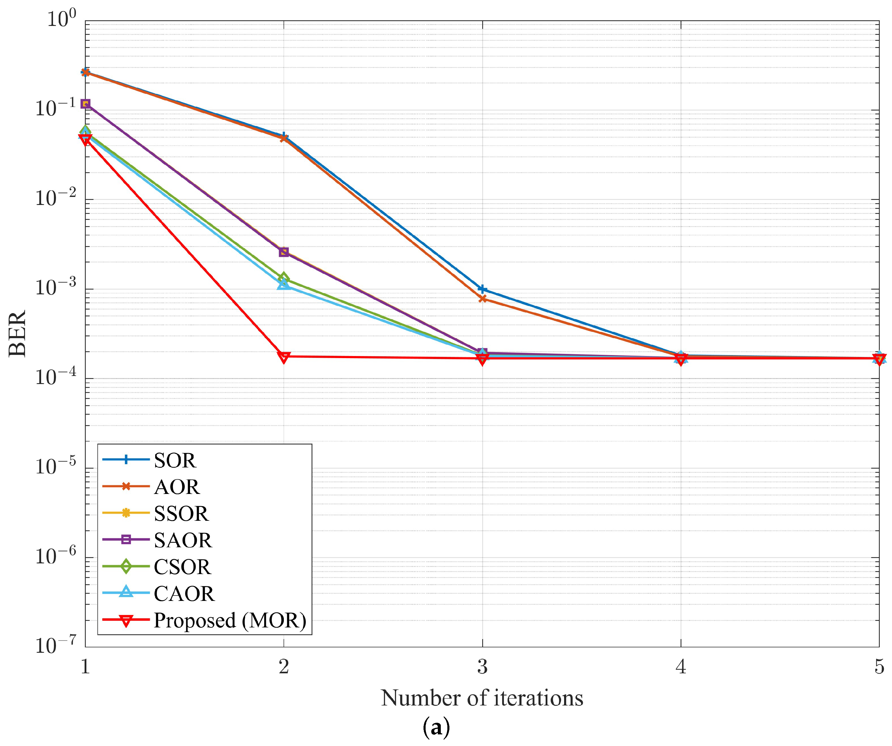
4.1. Simulation Results and Discussion
4.2. Computational Complexity Analysis
5. Conclusions
Author Contributions
Funding
Data Availability Statement
Conflicts of Interest
Abbreviations
| 4G | fourth-generation |
| 5G | fifth-generation |
| AOR | accelerated over-relaxation |
| AWGN | additive white Gaussian noise |
| B5G | beyond fifth-generation |
| BER | bit error rate |
| CAOR | Chebyshev accelerated over-relaxation |
| CMAs | complex multiplications and additions |
| CP | cyclic prefix |
| CSI | channel state information |
| CSOR | Chebyshev successive over-relaxation |
| eMBB | enhanced mobile broadband |
| FBMC | filter bank multi-carrier |
| FFT | fast Fourier transform |
| FIR | finite impulse response |
| GS | Gauss–Seidel |
| i.i.d. | independent and identically distributed |
| ICI | inter-carrier interference |
| IFFT | inverse fast Fourier transform |
| IMT | international mobile telecommunications |
| IoT | Internet of Things |
| ISI | inter-symbol interference |
| JA | Jacobi |
| LS | least squares |
| M-MIMO | massive multiple-input multiple-output |
| MF | matched filter |
| ML | maximum likelihood |
| MMSE | minimum mean square error |
| mMTC | massive machine-type communications |
| MOR | mixed over-relaxation |
| MUD | multi-user detection |
| NS | Neumann series |
| OFDM | orthogonal frequency division multiplexing |
| OOBM | out-of-band emission |
| QAM | quadrature amplitude modulation |
| RF | radio frequency |
| S/P | serial to parallel |
| SAOR | symmetric accelerated over-relaxation |
| SE | spectral efficiency |
| SOR | successive over-relaxation |
| SSOR | symmetric successive over-relaxation |
| P/S | parallel to serial |
| PSD | power spectral density |
| UFMC | universal filtered multi-carrier |
| URLLC | ultra-reliable and low-latency communications |
| WSN | wireless sensor network |
| ZF | zero forcing |
Appendix A
References
- Henry, S.; Alsohaily, A.; Sousa, E.S. 5G is Real: Evaluating the Compliance of the 3GPP 5G New Radio System with the ITU IMT-2020 Requirements. IEEE Access 2020, 8, 42828–42840. [Google Scholar] [CrossRef]
- Fuentes, M.; Carcel, J.L.; Dietrich, C.; Yu, L.; Garro, E.; Pauli, V.; Lazarakis, F.I.; Grøndalen, O.; Bulakci, O.; Yu, J.; et al. 5G New Radio Evaluation Against IMT-2020 Key Performance Indicators. IEEE Access 2020, 8, 110880–110896. [Google Scholar] [CrossRef]
- Kim, Y.; Park, S. Calculation Method of Spectrum Requirement for IMT-2020 eMBB and URLLC With Puncturing Based on M/G/1 Priority Queuing Model. IEEE Access 2020, 8, 25027–25040. [Google Scholar] [CrossRef]
- Agiwal, M.; Roy, A.; Saxena, N. Next Generation 5G Wireless Networks: A Comprehensive Survey. IEEE Commun. Surv. Tutorials 2016, 18, 1617–1655. [Google Scholar] [CrossRef]
- Andrews, J.G.; Buzzi, S.; Choi, W.; Hanly, S.V.; Lozano, A.; Soong, A.C.K.; Zhang, J.C. What Will 5G Be? IEEE J. Sel. Areas Commun. 2014, 32, 1065–1082. [Google Scholar] [CrossRef]
- Pirinen, P. A brief overview of 5G research activities. In Proceedings of the 1st International Conference on 5G for Ubiquitous Connectivity, Akaslompolo, Finland, 26–28 November 2014; pp. 17–22. [Google Scholar] [CrossRef]
- Shafique, K.; Khawaja, B.A.; Sabir, F.; Qazi, S.; Mustaqim, M. Internet of Things (IoT) for Next-Generation Smart Systems: A Review of Current Challenges, Future Trends and Prospects for Emerging 5G-IoT Scenarios. IEEE Access 2020, 8, 23022–23040. [Google Scholar] [CrossRef]
- Dudhe, P.; Kadam, N.; Hushangabade, R.M.; Deshmukh, M.S. Internet of Things (IOT): An overview and its applications. In Proceedings of the 2017 International Conference on Energy, Communication, Data Analytics and Soft Computing (ICECDS), Chennai, India, 1–2 August 2017; pp. 2650–2653. [Google Scholar] [CrossRef]
- Pan, J.; McElhannon, J. Future Edge Cloud and Edge Computing for Internet of Things Applications. IEEE Internet Things J. 2018, 5, 439–449. [Google Scholar] [CrossRef]
- Chettri, L.; Bera, R. A Comprehensive Survey on Internet of Things (IoT) Toward 5G Wireless Systems. IEEE Internet Things J. 2020, 7, 16–32. [Google Scholar] [CrossRef]
- Kar, S.; Mishra, P.; Wang, K.C. 5G-IoT Architecture for Next Generation Smart Systems. In Proceedings of the 2021 IEEE 4th 5G World Forum (5GWF), Montreal, QC, Canada, 13–15 October 2021; pp. 241–246. [Google Scholar] [CrossRef]
- Mishra, D.; Natalizio, E. A survey on cellular-connected UAVs: Design challenges, enabling 5G/B5G innovations, and experimental advancements. Comput. Netw. 2020, 182, 107451. [Google Scholar] [CrossRef]
- Morocho-Cayamcela, M.E.; Lee, H.; Lim, W. Machine Learning for 5G/B5G Mobile and Wireless Communications: Potential, Limitations, and Future Directions. IEEE Access 2019, 7, 137184–137206. [Google Scholar] [CrossRef]
- Agiwal, M.; Kwon, H.; Park, S.; Jin, H. A Survey on 4G-5G Dual Connectivity: Road to 5G Implementation. IEEE Access 2021, 9, 16193–16210. [Google Scholar] [CrossRef]
- Khurshid, K.; Khokhar, I.A. Comparison survey of 4G competitors (OFDMA, MC CDMA, UWB, IDMA). In Proceedings of the 2013 International Conference on Aerospace Science & Engineering (ICASE), Islamabad, Pakistan, 21–23 August 2013; pp. 1–7. [Google Scholar] [CrossRef]
- Sit, Y.L.; Reichardt, L.; Sturm, C.; Zwick, T. Extension of the OFDM joint radar-communication system for a multipath, multiuser scenario. In Proceedings of the 2011 IEEE RadarCon (RADAR), Kansas City, MI, USA, 23–27 May 2011; pp. 718–723. [Google Scholar] [CrossRef]
- Cho, Y.S.; Kim, J.; Yang, W.Y.; Kang, C.G. MIMO-OFDM Wireless Communications with MATLAB; John Wiley & Sons: Hoboken, NJ, USA, 2010. [Google Scholar] [CrossRef]
- Hammoodi, A.; Audah, L.; Aljumaily, M.S.; Taher, M.A.; Shawqi, F.S. Green Coexistence of CP-OFDM and UFMC Waveforms for 5G and Beyond Systems. In Proceedings of the 2020 4th International Symposium on Multidisciplinary Studies and Innovative Technologies (ISMSIT), Istanbul, Turkey, 22–24 October 2020; pp. 1–6. [Google Scholar] [CrossRef]
- Huang, M.; Chen, J.; Feng, S. Synchronization for OFDM-Based Satellite Communication System. IEEE Trans. Veh. Technol. 2021, 70, 5693–5702. [Google Scholar] [CrossRef]
- An, C.; Ryu, H.G. CPW-OFDM(Cyclic Postfix Windowing OFDM) for the B5G (Beyond 5th Generation) Waveform. In Proceedings of the 2018 IEEE 10th Latin-American Conference on Communications (LATINCOM), Guadalajara, Mexico, 14–16 November 2018; pp. 1–4. [Google Scholar] [CrossRef]
- Rani, P.N.; Rani, C.S. UFMC: The 5G modulation technique. In Proceedings of the 2016 IEEE International Conference on Computational Intelligence and Computing Research (ICCIC), Chennai, India, 15–17 December 2016; pp. 1–3. [Google Scholar] [CrossRef]
- Mukherjee, M.; Shu, L.; Kumar, V.; Kumar, P.; Matam, R. Reduced out-of-band radiation-based filter optimization for UFMC systems in 5G. In Proceedings of the 2015 International Wireless Communications and Mobile Computing Conference (IWCMC), Dubrovnik, Croatia, 24–28 August 2015; pp. 1150–1155. [Google Scholar] [CrossRef]
- Durga, V.; Anuradha, S. On Channel Estimation in Universal Filtered Multi-Carrier (UFMC) System. In Proceedings of the 2019 PhotonIcs & Electromagnetics Research Symposium-Spring (PIERS-Spring), Rome, Italy, 17–20 June 2019; pp. 3708–3713. [Google Scholar] [CrossRef]
- Schaich, F.; Wild, T. Waveform contenders for 5G—OFDM vs. FBMC vs. UFMC. In Proceedings of the 2014 6th International Symposium on Communications, Control and Signal Processing (ISCCSP), Athens, Greece, 21–23 May 2014; pp. 457–460. [Google Scholar] [CrossRef]
- Doré, J.B.; Gerzaguet, R.; Cassiau, N.; Ktenas, D. Waveform contenders for 5G: Description, analysis and comparison. Phys. Commun. 2017, 24, 46–61. [Google Scholar] [CrossRef]
- Ramadhan, A.J. Overview and Comparison of Candidate 5G Waveforms: FBMC, UFMC and F-OFDM. Int. J. Comput. Netw. Inf. Secur. 2022, 14, 27–38. [Google Scholar] [CrossRef]
- Gerzaguet, R.; Bartzoudis, N.; Baltar, L.G.; Berg, V.; Doré, J.B.; Kténas, D.; Font-Bach, O.; Mestre, X.; Payaró, M.; Färber, M. The 5G candidate waveform race: A comparison of complexity and performance. EURASIP J. Wirel. Commun. Netw. 2017, 2017, 13. [Google Scholar] [CrossRef]
- Albreem, M.A.; Juntti, M.; Shahabuddin, S. Massive MIMO Detection Techniques: A Survey. IEEE Commun. Surv. Tutorials 2019, 21, 3109–3132. [Google Scholar] [CrossRef]
- Ali, M.Y.; Hossain, T.; Mowla, M.M. A Trade-off between Energy and Spectral Efficiency in Massive MIMO 5G System. In Proceedings of the 2019 3rd International Conference on Electrical, Computer & Telecommunication Engineering (ICECTE), Rajshahi, Bangladesh, 26–28 December 2019; pp. 209–212. [Google Scholar] [CrossRef]
- Pan, X.; Zheng, Z. Cooperative Distributed Antenna Systems Based Secure Communications for Industrial Internet of Things. In Proceedings of the 2020 IEEE 20th International Conference on Communication Technology (ICCT), Nanning, China, 28–31 October 2020; pp. 790–794. [Google Scholar] [CrossRef]
- Larsson, E.G.; Edfors, O.; Tufvesson, F.; Marzetta, T.L. Massive MIMO for next generation wireless systems. IEEE Commun. Mag. 2014, 52, 186–195. [Google Scholar] [CrossRef]
- Paulraj, A.; Gore, D.; Nabar, R.; Bolcskei, H. An overview of MIMO communications—A key to gigabit wireless. Proc. IEEE 2004, 92, 198–218. [Google Scholar] [CrossRef]
- Peng, W.; Ma, S.; Ng, T.S.; Wang, J. A novel analytical method for maximum likelihood detection in MIMO multiplexing systems. IEEE Trans. Commun. 2009, 57, 2264–2268. [Google Scholar] [CrossRef]
- Hu, S.; Rusek, F. Modulus Zero-Forcing Detection for MIMO Channels. In Proceedings of the 2018 IEEE Global Communications Conference (GLOBECOM), Abu Dhabi, United Arab Emirates, 9–13 December 2018; pp. 1–7. [Google Scholar] [CrossRef]
- Yan, L. Linear Mmse Interference Cancellation Detection for MIMO-OFDM System. In Proceedings of the 2017 9th International Conference on Measuring Technology and Mechatronics Automation (ICMTMA), Changsha, China, 14–15 January 2017; pp. 106–108. [Google Scholar] [CrossRef]
- Liu, X.; Zhang, Z.; Wang, X.; Lian, J.; Dai, X. A Low Complexity High Performance Weighted Neumann Series-based Massive MIMO Detection. In Proceedings of the 2019 28th Wireless and Optical Communications Conference (WOCC), Beijing, China, 9–10 May 2019; pp. 1–5. [Google Scholar] [CrossRef]
- Wu, Z.; Zhang, C.; Xue, Y.; Xu, S.; You, X. Efficient architecture for soft-output massive MIMO detection with Gauss-Seidel method. In Proceedings of the 2016 IEEE International Symposium on Circuits and Systems (ISCAS), Montreal, QC, Canada, 22–25 May 2016; pp. 1886–1889. [Google Scholar] [CrossRef]
- Lee, Y. Decision-aided Jacobi iteration for signal detection in massive MIMO systems. Electron. Lett. 2017, 53, 1552–1554. [Google Scholar] [CrossRef]
- Young, D.M. Convergence Properties of the Symmetric and Unsymmetric Successive Overrelaxation Methods and Related Methods. Math. Comput. 1970, 24, 793–807. [Google Scholar] [CrossRef][Green Version]
- Hadjidimos, A. Accelerated Overrelaxation Method. Math. Comput. 1978, 32, 149–157. [Google Scholar] [CrossRef]
- Ning, J.; Lu, Z.; Xie, T.; Quan, J. Low complexity signal detector based on SSOR method for massive MIMO systems. In Proceedings of the 2015 IEEE International Symposium on Broadband Multimedia Systems and Broadcasting, Ghent, Belgium, 17–19 June 2015; pp. 1–4. [Google Scholar] [CrossRef]
- Hu, Y.; Wu, J.; Wang, Y. SAOR-Based Precoding with Enhanced BER Performance for Massive MIMO Systems. In Proceedings of the 2019 International Conference on Artificial Intelligence in Information and Communication (ICAIIC), Okinawa, Japan, 11–13 February 2019; pp. 512–516. [Google Scholar] [CrossRef]
- Berra, S.; Dinis, R.; Shahabuddin, S. Fast matrix inversion based on Chebyshev acceleration for linear detection in massive MIMO systems. Electron. Lett. 2022, 58, 451–453. [Google Scholar] [CrossRef]
- Tu, Y.P.; Chen, C.Y.; Lin, K.H. An Efficient Two-Stage Receiver Base on AOR Iterative Algorithm and Chebyshev Acceleration for Uplink Multiuser Massive-MIMO OFDM Systems. Electronics 2022, 11, 92. [Google Scholar] [CrossRef]
- Armstrong, J. OFDM for Optical Communications. J. Light. Technol. 2009, 27, 189–204. [Google Scholar] [CrossRef]
- Gesbert, D.; Shafi, M.; shan Shiu, D.; Smith, P.; Naguib, A. From theory to practice: An overview of MIMO space-time coded wireless systems. IEEE J. Sel. Areas Commun. 2003, 21, 281–302. [Google Scholar] [CrossRef]
- Eilert, J.; Wu, D.; Liu, D. Implementation of a programmable linear MMSE detector for MIMO-OFDM. In Proceedings of the 2008 IEEE International Conference on Acoustics, Speech and Signal Processing, Las Vegas, NV, USA, 31 March–4 April 2008; pp. 5396–5399. [Google Scholar] [CrossRef]
- Firdaus, M.; Moegiharto, Y. Performance of OFDM System against Different Cyclic Prefix Lengths on Multipath Fading Channels. arXiv 2022, arXiv:2207.13045. [Google Scholar]
- Manda, R.; Gowri, R. Filter Design for Universal Filtered Multicarrier (UFMC) based Systems. In Proceedings of the 2019 4th International Conference on Information Systems and Computer Networks (ISCON), Mathura, India, 21–22 November 2019; pp. 520–523. [Google Scholar] [CrossRef]
- Sidiq, S.; Mustafa, F.; Sheikh, J.A.; Malik, B.A. FBMC and UFMC: The Modulation Techniques for 5G. In Proceedings of the 2019 International Conference on Power Electronics, Control and Automation (ICPECA), New Delhi, India, 16–17 November 2019; pp. 1–5. [Google Scholar] [CrossRef]
- Raj, T.; Mishra, R.; Kumar, P.; Kapoor, A. Advances in MIMO Antenna Design for 5G: A Comprehensive Review. Sensors 2023, 23, 6329. [Google Scholar] [CrossRef]
- Albreem, M.A.; Salah, W.; Kumar, A.; Alsharif, M.H.; Rambe, A.H.; Jusoh, M.; Uwaechia, A.N. Low Complexity Linear Detectors for Massive MIMO: A Comparative Study. IEEE Access 2021, 9, 45740–45753. [Google Scholar] [CrossRef]
- Kang, M.; Alouini, M. Capacity of correlated MIMO Rayleigh channels. IEEE Trans. Wirel. Commun. 2006, 5, 143–155. [Google Scholar] [CrossRef]
- Coleri, S.; Ergen, M.; Puri, A.; Bahai, A. Channel estimation techniques based on pilot arrangement in OFDM systems. IEEE Trans. Broadcast. 2002, 48, 223–229. [Google Scholar] [CrossRef]
- Fang, Z.; Shi, J. Least Square Channel Estimation for Two-Way Relay MIMO OFDM Systems. ETRI J. 2011, 33, 806–809. [Google Scholar] [CrossRef]
- Hadjidimos, A. Successive overrelaxation (SOR) and related methods. J. Comput. Appl. Math. 2000, 123, 177–199. [Google Scholar] [CrossRef]
- Liu, D.; Zhou, W. A Low-Complexity Precoding Algorithm Based on Improved SOR Method for Massive MIMO Systems. In Proceedings of the 2019 11th International Conference on Wireless Communications and Signal Processing (WCSP), Xi’an, China, 23–25 October 2019; pp. 1–6. [Google Scholar] [CrossRef]
- Tuli, E.A.; Kim, D.S.; Lee, J.M. Performance Enhancement of UFMC Systems using Kaiser Window Filter. In Proceedings of the 2021 International Conference on Information and Communication Technology Convergence (ICTC), Jeju Island, Republic of Korea, 19–21 October 2021; pp. 386–388. [Google Scholar] [CrossRef]
- Ravindran, R.; Viswakumar, A. Performance evaluation of 5G waveforms: UFMC and FBMC-OQAM with Cyclic Prefix-OFDM System. In Proceedings of the 2019 9th International Conference on Advances in Computing and Communication (ICACC), Kochi, India, 6–8 November 2019; pp. 6–10. [Google Scholar] [CrossRef]
- Vaigandla, K.K.; Siluveru, M.; Karne, R. Study and Comparative Analysis of OFDM and UFMC Modulation Schemes. J. Electron. Comput. Netw. Appl. Math. (JECNAM) 2023, 3, 41–50. [Google Scholar] [CrossRef]
- Vakilian, V.; Wild, T.; Schaich, F.; ten Brink, S.; Frigon, J.F. Universal-filtered multi-carrier technique for wireless systems beyond LTE. In Proceedings of the 2013 IEEE Globecom Workshops (GC Wkshps), Atlanta, GA, USA, 9–13 December 2013; pp. 223–228. [Google Scholar] [CrossRef]
- Agarwal, A.; Mehta, S.N. Design and performance analysis of MIMO-OFDM system using different antenna configurations. In Proceedings of the 2016 International Conference on Electrical, Electronics, and Optimization Techniques (ICEEOT), Chennai, India, 3–5 March 2016; pp. 1373–1377. [Google Scholar] [CrossRef]
- Malik, W.Q.; Edwards, D.J. Measured MIMO Capacity and Diversity Gain With Spatial and Polar Arrays in Ultra Wideband Channels. IEEE Trans. Commun. 2007, 55, 2033. [Google Scholar] [CrossRef]
- Yu, A.; Zhang, C.; Zhang, S.; You, X. Efficient SOR-based detection and architecture for large-scale MIMO uplink. In Proceedings of the 2016 IEEE Asia Pacific Conference on Circuits and Systems (APCCAS), Jeju Island, Republic of Korea, 25–28 October 2016; pp. 402–405. [Google Scholar] [CrossRef]
- Cox, D.A. Stickelberger and the Eigenvalue Theorem. arXiv 2020, arXiv:2007.12573. [Google Scholar] [CrossRef]
- Nhat Cuong, C.; Thi Hong, T.; Duc Khai, L. Hardware Implementation of the Efficient SOR-Based Massive MIMO Detection for Uplink. In Proceedings of the 2019 IEEE-RIVF International Conference on Computing and Communication Technologies (RIVF), Danang, Vietnam, 20–22 March 2019; pp. 1–6. [Google Scholar] [CrossRef]





















| Parameter | Value |
|---|---|
| Common parameters | |
| Modulation scheme | 1024 QAM |
| Volume of data | 512 |
| Amount of pilot data in one symbol | 25 |
| The maximum SNR (dB) | 50 |
| Channel type | Rayleigh fading channel |
| Number of users K | 8 |
| Number of transmission antennas in one user | 2 |
| Number of channel taps | 2 |
| Noise | AWGN |
| Channel estimation | LS |
| The number of experiments for Monte Carlo (times) | 500,000 |
| OFDM specific parameters | |
| CP length | 128 |
| UFMC specific parameters | |
| Number of subcarriers N | 1024 |
| Number of sub-bands B | 16 |
| Number of subcarriers in each sub-band M | 32 |
| Amount of zero padding in each sub-band | 256 |
| Filter type | Chebyshev FIR filter |
| Filter length L | 43 |
| Filter sidelobe attenuation (dB) | 40 |
| Scheme | Brief Description |
|---|---|
| SOR [39] | SOR is a linear iterative method, and it was derived from adding relaxation parameters to the Gauss–Seidel iterative algorithm. |
| AOR [40] | The AOR iterative algorithm is an extension of the SOR iterative algorithm. It is a linear iterative method derived through the relaxation parameter and the newly added acceleration parameter . |
| SSOR [41] | SSOR combines two SOR sweeps in a semi-iterative architecture to produce an iterative matrix similar to a symmetric matrix. |
| SAOR [42] | SAOR combines two AOR sweeps in a semi-iterative architecture to produce an iterative matrix similar to a symmetric matrix. |
| CSOR [43] | The CSOR method combines the SOR iterative algorithm and the recursive characteristics of the Chebyshev polynomials. |
| CAOR [44] | The CAOR method combines the AOR iterative algorithm and the recursive characteristics of the Chebyshev polynomials. |
| MOR | Our proposed MOR method joins the characteristics and abilities of both the SOR and AOR iterative algorithms to accelerate iterative convergence and obtain efficient BER performance through a collaborative architecture. |
| Number of Iterations | CAOR [44] | CSOR [43] | SAOR [42] | SSOR [41] | AOR [40] | SOR [39] |
|---|---|---|---|---|---|---|
| Number of Iterations | CAOR [44] | CSOR [43] | SAOR [42] | SSOR [41] | AOR [40] | SOR [39] |
|---|---|---|---|---|---|---|
| Scheme | ||||
|---|---|---|---|---|
| (a) | ||||
| SOR [39] | ||||
| AOR [40] | ||||
| SSOR [41] | ||||
| SAOR [42] | ||||
| CSOR [43] | ||||
| CAOR [44] | ||||
| Proposed MOR | ||||
| (b) | ||||
| SOR [39] | ||||
| AOR [40] | ||||
| SSOR [41] | ||||
| SAOR [42] | ||||
| CSOR [43] | ||||
| CAOR [44] | ||||
| Proposed MOR |
| Scheme | ||||
|---|---|---|---|---|
| (a) | ||||
| SOR [39] | ||||
| AOR [40] | ||||
| SSOR [41] | ||||
| SAOR [42] | ||||
| CSOR [43] | ||||
| CAOR [44] | ||||
| Proposed MOR | 0 | 0 | ||
| (b) | ||||
| SOR [39] | ||||
| AOR [40] | ||||
| SSOR [41] | ||||
| SAOR [42] | ||||
| CSOR [43] | ||||
| CAOR [44] | ||||
| Proposed MOR |
| Scheme | ||||
|---|---|---|---|---|
| (a) | ||||
| SOR [39] | ||||
| AOR [40] | ||||
| SSOR [41] | ||||
| SAOR [42] | ||||
| CSOR [43] | ||||
| CAOR [44] | ||||
| Proposed MOR | 0 | 0 | ||
| (b) | ||||
| SOR [39] | ||||
| AOR [40] | ||||
| SSOR [41] | ||||
| SAOR [42] | ||||
| CSOR [43] | ||||
| CAOR [44] | ||||
| Proposed MOR |
| Scheme | ||||
|---|---|---|---|---|
| (a) | ||||
| SOR [39] | ||||
| AOR [40] | ||||
| SSOR [41] | ||||
| SAOR [42] | ||||
| CSOR [43] | 0 | |||
| CAOR [44] | 0 | |||
| Proposed MOR | 0 | 0 | 0 | |
| (b) | ||||
| SOR [39] | ||||
| AOR [40] | ||||
| SSOR [41] | ||||
| SAOR [42] | ||||
| CSOR [43] | ||||
| CAOR [44] | ||||
| Proposed MOR |
| Scheme | |||
|---|---|---|---|
| (a) | |||
| SOR [39] | |||
| AOR [40] | |||
| SSOR [41] | |||
| SAOR [42] | |||
| CSOR [43] | |||
| CAOR [44] | |||
| Proposed MOR | |||
| (b) | |||
| SOR [39] | |||
| AOR [40] | |||
| SSOR [41] | |||
| SAOR [42] | |||
| CSOR [43] | |||
| CAOR [44] | |||
| Proposed MOR | |||
Disclaimer/Publisher’s Note: The statements, opinions and data contained in all publications are solely those of the individual author(s) and contributor(s) and not of MDPI and/or the editor(s). MDPI and/or the editor(s) disclaim responsibility for any injury to people or property resulting from any ideas, methods, instructions or products referred to in the content. |
© 2023 by the authors. Licensee MDPI, Basel, Switzerland. This article is an open access article distributed under the terms and conditions of the Creative Commons Attribution (CC BY) license (https://creativecommons.org/licenses/by/4.0/).
Share and Cite
Tu, Y.-P.; Jian, P.-S.; Huang, Y.-F. Novel Hybrid SOR- and AOR-Based Multi-User Detection for Uplink M-MIMO B5G Systems. Electronics 2024, 13, 187. https://doi.org/10.3390/electronics13010187
Tu Y-P, Jian P-S, Huang Y-F. Novel Hybrid SOR- and AOR-Based Multi-User Detection for Uplink M-MIMO B5G Systems. Electronics. 2024; 13(1):187. https://doi.org/10.3390/electronics13010187
Chicago/Turabian StyleTu, Yung-Ping, Pei-Shen Jian, and Yung-Fa Huang. 2024. "Novel Hybrid SOR- and AOR-Based Multi-User Detection for Uplink M-MIMO B5G Systems" Electronics 13, no. 1: 187. https://doi.org/10.3390/electronics13010187
APA StyleTu, Y.-P., Jian, P.-S., & Huang, Y.-F. (2024). Novel Hybrid SOR- and AOR-Based Multi-User Detection for Uplink M-MIMO B5G Systems. Electronics, 13(1), 187. https://doi.org/10.3390/electronics13010187

