A Novel Fully Digital Feedforward Background Calibration Technique for Timing Mismatch in M-Channel Time-Interleaved ADCs
Abstract
1. Introduction
2. The Proposed Timing Mismatch Calibration Technique
2.1. The Model of TIADC in the Frequency Domain
2.2. Timing Mismatch Compensation
2.3. Timing Mismatch Estimation
2.4. Proposed Calibration Architecture
3. Simulation Results and Analyses
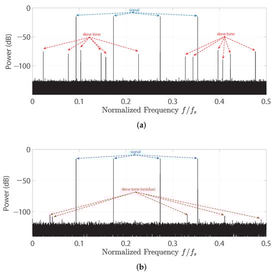
3.1. Simulation of a Four-Channel TIADC
3.2. Simulation of an Eight-Channel TIADC
3.3. ASIC Synthesis
4. Conclusions
Author Contributions
Funding
Conflicts of Interest
References
- Yin, G.; Jiren, H.; Zhuang, L.; Yang, L.; He, H. General Architecture of Centralized Unit and Distributed Unit for New Radio. ZTE Commun. 2018, 23–31. [Google Scholar]
- Wu, J.; Chou, A.; Yang, C.H.; Ding, Y.; Ko, Y.J.; Lin, S.T.; Liu, W.; Hsiao, C.M.; Hsieh, M.H.; Huang, C.C.; et al. A 5.4 gs/s 12b 500 mw pipeline adc in 28 nm cmos. In Proceedings of the 2013 Symposium on VLSI Circuits, Kyoto, Japan, 12–14 June 2013; pp. C92–C93. [Google Scholar]
- Fang, J.; Thirunakkarasu, S.; Yu, X.; Silva-Rivas, F.; Zhang, C.; Singor, F.; Abraham, J. A 5-GS/s 10-b 76-mW time-interleaved SAR ADC in 28 nm CMOS. IEEE Trans. Circuits Syst. I Regul. Pap. 2017, 64, 1673–1683. [Google Scholar] [CrossRef]
- Kurosawa, N.; Kobayashi, H.; Maruyama, K.; Sugawara, H.; Kobayashi, K. Explicit analysis of channel mismatch effects in time-interleaved ADC systems. IEEE Trans. Circuits Syst. I Fundam. Theory Appl. 2001, 48, 261–271. [Google Scholar] [CrossRef]
- Wang, D.; Zhu, X.; Guo, X.; Luan, J.; Zhou, L.; Wu, D.; Liu, H.; Wu, J.; Liu, X. A 2.6 GS/s 8-Bit time-interleaved SAR ADC in 55 nm CMOS technology. Electronics 2019, 8, 305. [Google Scholar] [CrossRef]
- Buchwald, A. High-Speed Time Interleaved ADCs. IEEE Commun. Mag. Artic. News Events Interest Commun. Eng. 2016, 54, 71–77. [Google Scholar] [CrossRef]
- Razavi, B. Design Considerations for Interleaved ADCs. IEEE J. Solid-State Circuits 2013, 48, 1806–1817. [Google Scholar] [CrossRef]
- Black, W.; Hodges, D. Time interleaved converter arrays. In Proceedings of the Solid-State Circuits Conference Digest of Technical Papers IEEE International, San Francisco, CA, USA, 13–15 February 1980; pp. 14–15. [Google Scholar]
- Vogel, C. The impact of combined channel mismatch effects in time-interleaved ADCs. IEEE Trans. Instrum. Meas. 2005, 54, 415–427. [Google Scholar] [CrossRef]
- El-Chammas, M.; Murmann, B. General Analysis on the Impact of Phase-Skew in Time-Interleaved ADCs. IEEE Trans. Circuits Syst. I Regul. Pap. 2009, 56, 902–910. [Google Scholar] [CrossRef]
- Xie, X.; Chen, H.; Yin, Y.; Wang, J.; Li, L.; Deng, H.; Meng, X. All-digital calibration algorithm based on channel multiplexing for TI-ADCs. Microelectron. J. 2022, 126, 105503. [Google Scholar] [CrossRef]
- Mafi, H.; Yargholi, M.; Yavari, M. Digital Blind Background Calibration of Imperfections in Time-Interleaved ADCs. IEEE Trans. Circuits Syst. Regul. Pap. 2017, 64, 1504–1514. [Google Scholar] [CrossRef]
- Niu, H.; Yuan, J. An Efficient Spur-Aliasing-Free Spectral Calibration Technique in Time-Interleaved ADCs. Circuits Syst. Regul. Pap. IEEE Trans. 2020, 67, 2229–2238. [Google Scholar] [CrossRef]
- Lu, Z.; Tang, H.; Ren, Z.; Hua, R.; Peng, X. A Timing Mismatch Background Calibration Algorithm with Improved Accuracy. IEEE Trans. Very Large Scale Integr. (VLSI) Syst. 2021, 29, 1591–1595. [Google Scholar] [CrossRef]
- Camarero, D.; Kalaia, K.B.; Naviner, J.F.; Loumeau, P. Mixed-Signal Clock-Skew Calibration Technique for Time-Interleaved ADCs. IEEE Trans. Circuits Syst. I Regul. Pap. 2008, 55, 3676–3687. [Google Scholar] [CrossRef]
- Huang, C.C.; Wang, C.Y.; Wu, J.T. A CMOS 6-Bit 16-GS/s time-interleaved ADC using digital background calibration techniques. IEEE J. Solid-State Circuits 2011, 46, 848–858. [Google Scholar] [CrossRef]
- Elbornsson, J.; Gustafsson, F.; Eklund, J.E. Blind equalization of time errors in a time-interleaved ADC system. IEEE Trans. Signal Process. 2005, 53, 1413–1424. [Google Scholar] [CrossRef]
- Matsuno, J.; Yamaji, T.; Furuta, M.; Itakura, T. All-digital background calibration technique for time-interleaved ADC using pseudo aliasing signal. IEEE Trans. Circuits Syst. I Regul. Pap. 2013, 60, 1113–1121. [Google Scholar] [CrossRef]
- Niu, H.; Yuan, J. A Spectral-Correlation-Based Blind Calibration Method for Time-Interleaved ADCs. Circuits Syst. Regul. Pap. IEEE Trans. 2020, 67, 5007–5017. [Google Scholar] [CrossRef]
- Qiu, Y.; Liu, Y.J.; Zhou, J.; Zhang, G.; Chen, D.; Du, N. All-Digital Blind Background Calibration Technique for Any Channel Time-Interleaved ADC. Circuits Syst. Regul. Pap. IEEE Trans. 2018, 65, 2503–2514. [Google Scholar] [CrossRef]
- Qiu, Y.; Zhou, J.; Liu, Y.; Zhang, G.; Liu, Y. Novel adaptive blind calibration technique of time-skew mismatches for any channel time-interleaved analogue-to-digital converters. IET Circuits Devices Syst. 2019, 13, 830–835. [Google Scholar] [CrossRef]
- Xiong, W.; Zhang, Z.; Sun, L.; Liu, Y.; Liu, H.; Lang, L.; Dong, Y. Fast convergent background calibration technique for timing mismatch in M-channel time-interleaved ADCs. AEU-Int. J. Electron. Commun. 2022, 153, 154282. [Google Scholar] [CrossRef]
- Yin, M.; Ye, Z. First order statistic based fast blind calibration of time skews for time-interleaved ADCs. IEEE Trans. Circuits Syst. II Express Briefs 2019, 67, 162–166. [Google Scholar] [CrossRef]
- Liu, S.; Zhao, L.; Deng, Z.; Zhang, Z. A digital adaptive calibration method of timing mismatch in TIADC based on adjacent channels Lagrange mean value difference. Circuits Syst. Signal Process. 2021, 40, 6301–6323. [Google Scholar] [CrossRef]
- Chen, S.; Wang, L.; Zhang, H.; Murugesu, R.; Dunwell, D.; Carusone, A.C. All-digital calibration of timing mismatch error in time-interleaved analog-to-digital converters. IEEE Trans. Very Large Scale Integr. (VLSI) Syst. 2017, 25, 2552–2560. [Google Scholar] [CrossRef]
- Li, X.; Wu, J.; Vogel, C. A background correlation-based timing skew estimation method for time-interleaved ADCs. IEEE Access 2021, 9, 45730–45739. [Google Scholar] [CrossRef]
- Le Duc, H.; Nguyen, D.M.; Jabbour, C.; Desgreys, P.; Jamin, O.; Tam Nguyen, V. Fully Digital Feedforward Background Calibration of Clock Skews for Sub-Sampling TIADCs Using the Polyphase Decomposition. IEEE Trans. Circuits Syst. Regul. Pap. 2017, 64, 1515–1528. [Google Scholar] [CrossRef]
- Kang, T.; Zhang, Z.; Xiong, W.; Sun, L.; Liu, Y.; Zhong, W.; Lang, L.; Shan, Y.; Dong, Y. A Digital Timing-Mismatch Calibration Technique for Time-Interleaved ADCs Based on a Coordinate Rotational Digital Computer Algorithm. Electronics 2023, 12, 1319. [Google Scholar] [CrossRef]
















| Characteristics | [18] | [19] | [20] | [21] | This Work |
|---|---|---|---|---|---|
| Background | Yes | Yes | Yes | Yes | Yes |
| Resolution | 10 | 11 | - | 14 | 14 |
| Channels | 2&8 | 16 | 4&16 | 4&16 | 4&8 |
| Arbitrary channel calibration | No | Yes | Yes | Yes | Yes |
| Matrix operation | Yes | No | No | No | Yes |
| Estimation parameters num. | M | 2M−2 | 2M−2 | 2M−2 | M |
| Convergence time (samples) | 50 k | 1200 k | 60 k | 20 k | 6 k |
| Module Name | Area [µm2] | Area % | Power [mW] | Power [%] |
|---|---|---|---|---|
| Correction | 27,344 | 77.2 | 17.9 | 84 |
| Estimation | 8076 | 22.8 | 3.4 | 16 |
| Total | 35,420 | 100 | 21.3 | 100 |
Disclaimer/Publisher’s Note: The statements, opinions and data contained in all publications are solely those of the individual author(s) and contributor(s) and not of MDPI and/or the editor(s). MDPI and/or the editor(s) disclaim responsibility for any injury to people or property resulting from any ideas, methods, instructions or products referred to in the content. |
© 2023 by the authors. Licensee MDPI, Basel, Switzerland. This article is an open access article distributed under the terms and conditions of the Creative Commons Attribution (CC BY) license (https://creativecommons.org/licenses/by/4.0/).
Share and Cite
Xiong, W.; Zhang, Z.; Lang, L.; Dong, Y. A Novel Fully Digital Feedforward Background Calibration Technique for Timing Mismatch in M-Channel Time-Interleaved ADCs. Electronics 2023, 12, 1965. https://doi.org/10.3390/electronics12091965
Xiong W, Zhang Z, Lang L, Dong Y. A Novel Fully Digital Feedforward Background Calibration Technique for Timing Mismatch in M-Channel Time-Interleaved ADCs. Electronics. 2023; 12(9):1965. https://doi.org/10.3390/electronics12091965
Chicago/Turabian StyleXiong, Wei, Zhenwei Zhang, Lili Lang, and Yemin Dong. 2023. "A Novel Fully Digital Feedforward Background Calibration Technique for Timing Mismatch in M-Channel Time-Interleaved ADCs" Electronics 12, no. 9: 1965. https://doi.org/10.3390/electronics12091965
APA StyleXiong, W., Zhang, Z., Lang, L., & Dong, Y. (2023). A Novel Fully Digital Feedforward Background Calibration Technique for Timing Mismatch in M-Channel Time-Interleaved ADCs. Electronics, 12(9), 1965. https://doi.org/10.3390/electronics12091965

