A Digital Timing-Mismatch Calibration Technique for Time-Interleaved ADCs Based on a Coordinate Rotational Digital Computer Algorithm
Abstract
1. Introduction
2. Proposed Calibration Technique
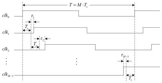
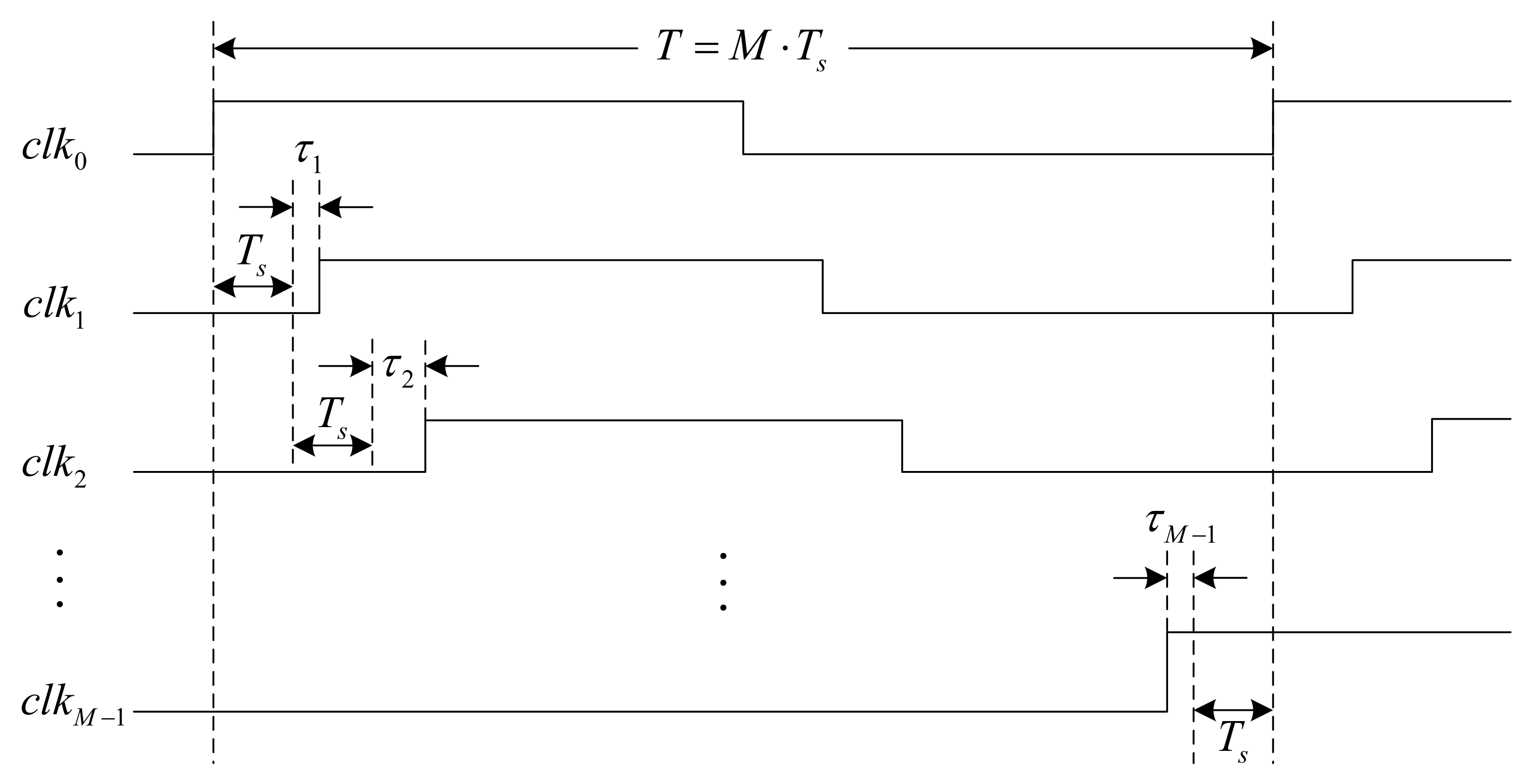
2.1. TIADC Mathematical Model
2.2. Timing-Mismatch Estimation
2.3. The Improved CORDIC Algorithm
2.4. Timing-Mismatch Compensation
3. Results and Analyses
3.1. Simulation Results
3.1.1. Improved CORDIC Algorithm
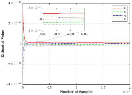
3.1.2. Estimation Speed
3.1.3. Calibration Results
3.1.4. Robustness Testing
3.2. ASIC Synthesis
3.3. Performance Comparison
4. Conclusions
Author Contributions
Funding
Data Availability Statement
Conflicts of Interest
References
- Jia, H.; Guo, X.; Wu, D.; Zhou, L.; Luan, J.; Wu, N.; Huang, Y.; Zheng, X.; Wu, J.; Liu, X. A 12-Bit 2.4 GS/s Four-Channel Pipelined ADC with a Novel On-Chip Timing Mismatch Calibration. Electronics 2020, 9, 910. [Google Scholar] [CrossRef]
- Huang, W.; Wang, H.; Ye, P.; Yang, K.; Jiang, J.; Pan, H. Novel sifting-based solution for multiple-converter synchronization of ultra-fast TIADC systems. IEICE Electron. Express 2015, 12, 20150585. [Google Scholar] [CrossRef]
- Khakpour, A.; Karimian, G. A New Fast Convergent Blind Timing Skew Error Correction Structure for TIADC. IEEE Trans. Circuits Syst. II Express Briefs 2020, 68, 1512–1516. [Google Scholar] [CrossRef]
- Kurosawa, N.; Kobayashi, H.; Maruyama, K.; Sugawara, H.; Kobayashi, K. Explicit analysis of channel mismatch effects in time-interleaved ADC systems. IEEE Trans. Circuits Syst. I Fundam. Theory Appl. 2001, 48, 261–271. [Google Scholar] [CrossRef]
- Razavi, B. Design considerations for interleaved ADCs. IEEE J. Solid-State Circuits 2013, 48, 1806–1817. [Google Scholar] [CrossRef]
- Yang, K.; Shi, J.; Tian, S.; Huang, W.; Ye, P. Timing skew calibration method for TIADC-based 20 GSPS digital storage oscilloscope. J. Circuits Syst. Comput. 2016, 25, 1650007. [Google Scholar] [CrossRef]
- Chen, H.; Pan, Y.; Yin, Y.; Lin, F. All-digital background calibration technique for timing mismatch of time-interleaved ADCs. Integration 2017, 57, 45–51. [Google Scholar] [CrossRef]
- Liu, S.; Zhao, L.; Deng, Z.; Zhang, Z. A digital adaptive calibration method of timing mismatch in TIADC based on adjacent channels Lagrange mean value difference. Circuits Syst. Signal Process. 2021, 40, 6301–6323. [Google Scholar] [CrossRef]
- Ta, V.T.; Hoang, V.P.; Pham, V.P.; Pham, C.K. An improved all-digital background calibration technique for channel mismatches in high speed time-interleaved analog-to-digital converters. Electronics 2020, 9, 73. [Google Scholar] [CrossRef]
- Black, W.C.; Hodges, D.A. Time interleaved converter arrays. IEEE J. Solid-State Circuits 1980, 15, 1022–1029. [Google Scholar] [CrossRef]
- Chen, S.; Wang, L.; Zhang, H.; Murugesu, R.; Dunwell, D.; Carusone, A.C. All-digital calibration of timing mismatch error in time-interleaved analog-to-digital converters. IEEE Trans. Very Large Scale Integr. (VLSI) Syst. 2017, 25, 2552–2560. [Google Scholar] [CrossRef]
- Le Duc, H.; Hoang, V.P.; Nguyen, D.M.; Pham, C.K. Hardware Implementation of Background Calibration Technique for TIADCs with Signals in Any Nyquist Bands. In Proceedings of the 2018 IEEE International Symposium on Circuits and Systems (ISCAS), Florence, Italy, 27–30 May 2018; pp. 1–4. [Google Scholar]
- Liu, X.; Xu, H.; Liu, H.; Wang, Y. An efficient blind calibration method for nonlinearity mis-matches in M-channel TIADCs. IEICE Electron. Express 2017, 14, 20170468. [Google Scholar] [CrossRef]
- Khakpour, A.; Karimian, G. An Oversampling-Based Fast Convergent Blind Technique for Gain Mismatch and Timing Skew Error Correction in Time-Interleaved ADCs. Circuits Syst. Signal Process. 2022, 102, 1–17. [Google Scholar] [CrossRef]
- Bai, X.; Hu, H.; Li, W.; Liu, F. Blind calibration method for two-channel time-interleaved analog-to-digital converters based on FFT. J. Electron. Test. 2018, 34, 643–650. [Google Scholar] [CrossRef]
- Salib, A.; Flanagan, M.F.; Cardiff, B. A high-precision time skew estimation and correction technique for time-interleaved ADCs. IEEE Trans. Circuits Syst. I Regul. Pap. 2019, 66, 3747–3760. [Google Scholar] [CrossRef]
- Uran, A.; Kilic, M.; Leblebici, Y. Generalization of referenceless timing mismatch calibration methods for time-interleaved ADCs. In Proceedings of the 2018 14th Conference on Ph. D. Research in Microelectronics and Electronics (PRIME), Prague, Czech Republic, 2–5 July 2018; pp. 21–24. [Google Scholar]
- Lu, Z.; Tang, H.; Ren, Z.; Hua, R.; Zhuang, H.; Peng, X. A Timing Mismatch Background Calibration Algorithm With Improved Accuracy. IEEE Trans. Very Large Scale Integr. (VLSI) Syst. 2021, 29, 1591–1595. [Google Scholar] [CrossRef]
- Xiong, W.; Zhang, Z.; Sun, L.; Liu, Y.; Liu, H.; Lang, L.; Dong, Y. Fast convergent background calibration technique for timing mismatch in M-channel time-interleaved ADCs. AEU-Int. J. Electron. Commun. 2022, 153, 154282. [Google Scholar] [CrossRef]
- Gu, Y.; Feng, X.; Chi, R.; Wu, J.; Chen, Y. A Novel Autocorrelation Combined MM-CDR Time-Interleaved ADC Timing Calibration in 28 nm CMOS Technology. Electronics 2022, 11, 3198. [Google Scholar] [CrossRef]
- Park, Y.; Kim, J.; Kim, C. A scalable bandwidth mismatch calibration technique for time-interleaved ADCs. IEEE Trans. Circuits Syst. I Regul. Pap. 2016, 63, 1889–1897. [Google Scholar] [CrossRef]
- Li, X.; Zhi, H.; Ding, D.; Wu, J. An Efficient All-Digital Timing Skew Estimation Method for Time-Interleaved ADCs. In Proceedings of the 2021 IEEE 4th International Conference on Electronics Technology (ICET), Chengdu, China, 7–10 May 2021; pp. 269–273. [Google Scholar]
- Huang, S.; Levy, B.C. Blind calibration of timing offsets for four-channel time-interleaved ADCs. IEEE Trans. Circuits Syst. I Regul. Pap. 2007, 54, 863–876. [Google Scholar] [CrossRef]
- Law, C.H.; Hurst, P.J.; Lewis, S.H. A four-channel time-interleaved ADC with digital calibration of interchannel timing and memory errors. IEEE J. Solid-State Circuits 2010, 45, 2091–2103. [Google Scholar] [CrossRef]
- De Teyou, G.K.; Petit, H.; Loumeau, P. Adaptive and digital blind calibration of transfer function mismatch in time-interleaved ADCs. In Proceedings of the 2015 IEEE 13th International New Circuits and Systems Conference (NEWCAS), Grenoble, France, 7–10 June 2015; pp. 1–4. [Google Scholar]
- Lin, C.Y.; Wei, Y.H.; Lee, T.C. A 10-bit 2.6-GS/s time-interleaved SAR ADC with a digital-mixing timing-skew calibration technique. IEEE J. Solid-State Circuits 2018, 53, 1508–1517. [Google Scholar] [CrossRef]
- Yin, M.; Ye, Z. First order statistic based fast blind calibration of time skews for time-interleaved ADCs. IEEE Trans. Circuits Syst. II Express Briefs 2019, 67, 162–166. [Google Scholar] [CrossRef]
- Xie, X.; Chen, H.; Yin, Y.; Wang, J.; Li, L.; Deng, H.; Meng, X. All-digital calibration algorithm based on channel multiplexing for TI-ADCs. Microelectron. J. 2022, 126, 105503. [Google Scholar] [CrossRef]
- Yin, Y.; Sun, K.; Chen, H.; Wang, X.; Liu, L.; Deng, H.; Meng, X.; Li, K.; Wang, Z. Calibration of timing mismatch in TIADC based on monotonicity detecting of sampled data. IEICE Electron. Express 2020, 17, 20190699. [Google Scholar] [CrossRef]
- Mitra, S.K.; Kuo, Y. Digital Signal Processing: A Computer-Based Approach; McGraw-Hill: New York, USA, 2011; Volume 1221. [Google Scholar]
- Cao, Y.; Miao, P.; Li, F.; Wang, H. An efficient background timing skew calibration technique for time-interleaving analog-to-digital converters. IEICE Electron. Express 2019, 16, 20190352. [Google Scholar] [CrossRef]
- Saravanan, P.; Ramasamy, S. Sine/cos generator for direct digital frequency synthesizer using pipelined CORDIC processor. In Proceedings of the 2013 Fourth International Conference on Computing, Communications and Networking Technologies (ICCCNT), Tiruchengode, India, 4–6 July 2013; pp. 1–6. [Google Scholar]
- Maloberti, F. Data Converters; Springer Science & Business Media: Berlin/Heidelberg, Germany, 2007. [Google Scholar]














| Module | Area () | Area % | Power (mW) | Power % |
|---|---|---|---|---|
| Estimation | 8768 | 42.2 | 4.3 | 41 |
| Compensation | 4391 | 21.1 | 2.5 | 23.8 |
| Hilbert filters | 7625 | 36.7 | 3.7 | 35.2 |
| Total | 20,784 | 100 | 10.5 | 100 |
| Characteristics | Ref. [18] | Ref. [22] | Ref. [27] | This Work |
|---|---|---|---|---|
| Channel number | 4 | 4 | 4 | 4 |
| Resolution (bit) | 12 | 10 | 12 | 12 |
| Timing mismatch () * | 0.03 | 0.025 | 0.024 | 0.031 |
| Input frequency () | 0.420 | 0.347 | 0.150 | 0.437 |
| Estimation speed (samples) | 204.8 K | 16 K | 3.1 K | 1.2 K |
| SNDR (dB) | 64.3 | 61.9 | 69.2 | 67.96 |
| SFDR (dB) | 86.9 | 85.8 | 76.4 | 85.69 |
| ENOB (bit) | 10.39 | 9.99 | 11.20 | 11.00 |
Disclaimer/Publisher’s Note: The statements, opinions and data contained in all publications are solely those of the individual author(s) and contributor(s) and not of MDPI and/or the editor(s). MDPI and/or the editor(s) disclaim responsibility for any injury to people or property resulting from any ideas, methods, instructions or products referred to in the content. |
© 2023 by the authors. Licensee MDPI, Basel, Switzerland. This article is an open access article distributed under the terms and conditions of the Creative Commons Attribution (CC BY) license (https://creativecommons.org/licenses/by/4.0/).
Share and Cite
Kang, T.; Zhang, Z.; Xiong, W.; Sun, L.; Liu, Y.; Zhong, W.; Lang, L.; Shan, Y.; Dong, Y. A Digital Timing-Mismatch Calibration Technique for Time-Interleaved ADCs Based on a Coordinate Rotational Digital Computer Algorithm. Electronics 2023, 12, 1319. https://doi.org/10.3390/electronics12061319
Kang T, Zhang Z, Xiong W, Sun L, Liu Y, Zhong W, Lang L, Shan Y, Dong Y. A Digital Timing-Mismatch Calibration Technique for Time-Interleaved ADCs Based on a Coordinate Rotational Digital Computer Algorithm. Electronics. 2023; 12(6):1319. https://doi.org/10.3390/electronics12061319
Chicago/Turabian StyleKang, Tong, Zhenwei Zhang, Wei Xiong, Lin Sun, Yu Liu, Wei Zhong, Lili Lang, Yi Shan, and Yemin Dong. 2023. "A Digital Timing-Mismatch Calibration Technique for Time-Interleaved ADCs Based on a Coordinate Rotational Digital Computer Algorithm" Electronics 12, no. 6: 1319. https://doi.org/10.3390/electronics12061319
APA StyleKang, T., Zhang, Z., Xiong, W., Sun, L., Liu, Y., Zhong, W., Lang, L., Shan, Y., & Dong, Y. (2023). A Digital Timing-Mismatch Calibration Technique for Time-Interleaved ADCs Based on a Coordinate Rotational Digital Computer Algorithm. Electronics, 12(6), 1319. https://doi.org/10.3390/electronics12061319

