A Novel Tuning Fork-Shaped Tri-Band Planar Antenna for Wireless Applications
Abstract
1. Introduction
2. Antenna Topology
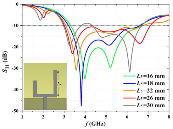
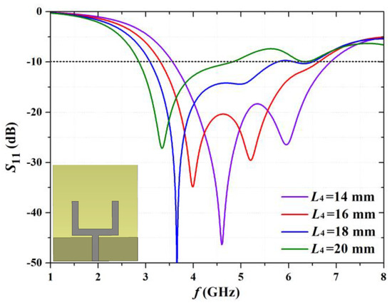
3. Theory and Design
4. Results and Discussion
5. Conclusions
Author Contributions
Funding
Data Availability Statement
Conflicts of Interest
References
- Carver, K.; Mink, J. Microstrip antenna technology. IEEE Trans. Antennas Propag. 1981, 29, 2–24. [Google Scholar] [CrossRef]
- Dey, S.; Mittra, R. Compact microstrip patch antenna. Microw. Opt. Technol. Lett. 1996, 13, 12–14. [Google Scholar] [CrossRef]
- Li, J.; Guo, J.; He, B.; Zhang, A.; Liu, Q.H. Tri-band CPW-fed stub-loaded slot antenna design for WLAN/WiMAX applications. Frequenz 2016, 70, 521–526. [Google Scholar] [CrossRef]
- Yildirim, B.; Basaran, E.; Turetken, B. Dielectric-Loaded Compact WLAN/WCDMA Antenna With Shorted Loop and Monopole Elements. IEEE Antennas Wirel. Propag. Lett. 2013, 12, 288–291. [Google Scholar] [CrossRef]
- Bakariya, P.S.; Dwari, S.; Sarkar, M.; Mandal, M.K. Mandal. Proximity-coupled multiband microstrip antenna for wireless applications. IEEE Antennas Wirel. Propag. Lett. 2015, 14, 646–649. [Google Scholar] [CrossRef]
- Malik, J.; Patnaik, A.; Kartikeyan, M.V. A Compact Dual-Band Antenna With Omnidirectional Radiation Pattern. IEEE Antennas Wirel. Propag. Lett. 2015, 14, 503–506. [Google Scholar] [CrossRef]
- Li, W.-W.; Li, Q.-H.; Meng, Y.; Wang, J.-Y.; Xu, W.-M. A broadband microstrip patch antenna with multiple open slots. Microw. Opt. Technol. Lett. 2019, 61, 626–632. [Google Scholar] [CrossRef]
- Sim, C.Y.D.; Chen, H.D.; Yeh, C.H.; Lin, H.L. Small size triple band monopole antenna with a parasitic element. Microw. Opt. Technol. Lett. 2015, 57, 342–348. [Google Scholar] [CrossRef]
- Li, L.; Zhang, X.; Yin, X.; Zhou, L. Compact Triple-Band Printed Monopole Antenna for WLAN/WiMAX Applications. IEEE Antennas Wirel. Propag. Lett. 2016, 15, 1853–1855. [Google Scholar] [CrossRef]
- van Rooyen, M.; Odendaal, J.W.; Joubert, J. High-Gain Directional Antenna for WLAN and WiMAX Applications. IEEE Antennas Wirel. Propag. Lett. 2017, 16, 286–289. [Google Scholar] [CrossRef]
- Liu, G.; Liu, Y.; Gong, S. Compact tri-band wide-slot monopole antenna with dual-ring resonator for WLAN/WiMAX applications. Microw. Opt. Technol. Lett. 2016, 58, 1097–1101. [Google Scholar] [CrossRef]
- Yang, X.; Ji, Y.; Ge, L.; Zeng, X.; Wu, Y.; Liu, Y. A dual-band radiation-differentiated patch antenna for future wireless scenes. IEEE Antennas Wirel. Propag. Lett. 2020, 19, 1007–1011. [Google Scholar] [CrossRef]
- Feng, S.; Zhang, L.; Yu, H.-W.; Zhang, Y.-X.; Jiao, Y.-C. A Single-Layer Wideband Differential-Fed Microstrip Patch Antenna With Complementary Split-Ring Resonators Loaded. IEEE Access 2019, 7, 132041–132048. [Google Scholar] [CrossRef]
- Li, W.; Xia, Z.; You, B.; Liu, Y.; Liu, Q.H. Dual-Polarized H-Shaped Printed Slot Antenna. IEEE Antennas Wirel. Propag. Lett. 2017, 16, 1484–1487. [Google Scholar] [CrossRef]
- Yang, X.; Kong, F.; Liu, X.; Song, C. A CPW-fed triple-band antenna for WLAN and WiMAX applications. Radioengineering 2014, 23, 1086–1091. [Google Scholar]
- Chaturvedi, D.; Kumar, A.; Raghavan, S. An integrated SIW cavity-backed slot antenna-triplexer. IEEE Antennas Wirel. Propag. Lett. 2018, 17, 1557–1560. [Google Scholar] [CrossRef]
- Mao, X.; Zhu, Y.; Li, Y. A Simple Tri-Band Proximity Coupling Fed Compact Antenna for 2.7GHz, WLAN and Sub-6GHz Communication Applications. In Proceedings of the 2018 IEEE International Symposium on Antennas and Propagation & USNC/URSI National Radio Science Meeting, Boston, MA, USA, 8–13 July 2018; pp. 1013–1014. [Google Scholar]
- Boutejdar, A.; Halim, B.I. Design of a Compact Tri-band Ring Antenna Using Two Parasitic Ring Resonators and Partial Ground Plane for WiMAX and RADAR Applications. In Proceedings of the 2019 IEEE International Electromagnetics and Antenna Conference (IEMANTENNA), Vancouver, BC, Canada, 17–19 October 2019; pp. 51–55. [Google Scholar]
- Kiani, S.H.; Khan, M.A.; Rafique, U.; Marey, M.; Alharbi, A.G.; Mostafa, H.; Khan, M.A.; Abbas, S.M. High Performance Eight-Port Dual-Band MIMO Antenna System for 5G Devices. Micromachines 2022, 13, 959. [Google Scholar] [CrossRef] [PubMed]
- Kiani, S.H.; Marey, M.; Savci, H.; Mostafa, H.; Rafique, U.; Khan, M.A. Dual-Band Multiple-Element MIMO Antenna System for Next-Generation Smartphones. Appl. Sci. 2022, 12, 9694. [Google Scholar] [CrossRef]
- Zahid, M.N.; Gaofeng, Z.; Kiani, S.H.; Rafique, U.; Abbas, S.M. H-Shaped Eight-Element Dual-Band MIMO Antenna for Sub-6 GHz 5G Smartphone Applications. IEEE Access 2022, 10, 85619–85629. [Google Scholar] [CrossRef]
- Malallah, R.; Shaaban, R.M.; Al-Tumah, W.A.G. A dual band star-shaped fractal slot antenna: Design and measurement. AEU-Int. J. Electron. Commun. 2020, 127, 153473. [Google Scholar] [CrossRef]
- Haque, S.M.; Alam, H. Miniaturized dual-band slot antenna design for GPS, amateur radio and WLAN applications. Int. J. RF Microw. Comput.-Aided Eng. 2020, 30, e22125. [Google Scholar] [CrossRef]
- Madhav, B.T.P.; Monika, M.; Kumar, B.M.S.; Prudhvinadh, B. Dual band reconfigurable compact circular slot antenna for WiMAX and X-band applications. Radioelectron. Commun. Syst. 2019, 62, 474–485. [Google Scholar] [CrossRef]
- Madhavi, D.; Jagadeesh, D. Dual-band semi-hexagonal slot antenna backed by SIW for WLAN/WBAN applications. Prog. Electromagn. Res. C 2022, 121, 221–232. [Google Scholar] [CrossRef]
- Kumar, A.; Jhanwar, D.; Sharma, M.M. A compact printed multistubs loaded resonator rectangular monopole antenna design for for multiband wireless systems. Int. J. RF Comput. Aided Eng. 2017, 27, e21147. [Google Scholar] [CrossRef]
- Kumar, A.; Jhanwar, D.; Sharma, M.M. Miniaturized multistubs loaded rectangular loaded monopole antenna for multiband applications based on theory of characteristics modes. Prog. Electromag. Res. C 2019, 92, 177–189. [Google Scholar] [CrossRef]
- Balanis, C.A. Antenna Theory: Analysis and Design; Wiley: New York, NY, USA, 2005. [Google Scholar]
- Ghouz, H.H.M.; Sree, M.F.A.; Ibrahim, M.A. Novel Wideband Microstrip Monopole Antenna Designs for WiFi/LTE/WiMax Devices. IEEE Access 2020, 8, 9532–9539. [Google Scholar] [CrossRef]

















| Ref. | Antenna Reponse | Dimensions (λ0 × λ0) | Working Bands (GHz) | Radiation Effciency (%) | Gain (dBi) |
|---|---|---|---|---|---|
| [3] | Triple-band | 0.25λ0 × 0.53λ0 | 2.38–2.53 GHz 3.08–3.80 GHz 5.00–6.90 GHz | 88% 85% 75% | 1.1–1.5 dBi 4.6–5.6 dBi 2.0–3.6 dBi |
| [8] | Triple-band | 0.17λ0 × 0.32λ0 | 2.10–2.49 GHz 3.22–4.30 GHz 4.89–6.12 GHz | 72% 69% 80% | 2.7–3.2 dBi 3.1–3.5 dBi 2.8–3.3 dBi |
| [11] | Triple-band | 0.23λ0 × 0.27λ0 | 2.29–2.88 GHz 3.26–3.88 GHz 4.17–6.07 GHz | 85% 84% 83% | 3.8–4.4 dBi 4.0–4.7 dBi 1.9–3.5 dBi |
| [15] | Triple-band | 0.21λ0 × 0.25λ0 | 2.33–2.55 GHz 3.00–3.88 GHz 5.15–5.90 GHz | 62% 70% 79% | 1.1–1.4 dBi 2.4–3.5 dBi 2.5–3.3 dBi |
| [26] | Triple-band | 0.2λ0 × 0.25λ0 | 2.50–2.71 GHz 3.37–3.63 GHz 5.20–5.85 GHz | 98% 96% 94% | 1.3–2.5 dBi 1.4–2.4 dBi 1.3–2.6 dBi |
| [27] | Triple-band | 0.33λ0 × 0.37λ0 | 2.47–2.65 GHz 3.27–3.63 GHz 5.20–5.83 GHz | / / / | 1.8–2.4 dBi 1.8–2.4 dBi 1.7–2.4 dBi |
| Pre. | Triple-band | 0.33λ0 × 0.29λ0 | 2.20–2.63 GHz 2.73–3.80 GHz 5.13–6.30 GHz | 80% 85% 90% | 0.9–2.0 dBi 2.0–3.8 dBi 4.8–5.7 dBi |
| Parameter | Value | Parameter | Value | Parameter | Value |
|---|---|---|---|---|---|
| L0 | 45 | L1 | 12 | L5 | 26 |
| W0 | 40 | L2 | 6.5 | L6 | 11 |
| W | 3 | L3 | 6.5 | L7 | 6 |
| h | 1.6 | L4 | 16 | L8 | 20.5 |
Disclaimer/Publisher’s Note: The statements, opinions and data contained in all publications are solely those of the individual author(s) and contributor(s) and not of MDPI and/or the editor(s). MDPI and/or the editor(s) disclaim responsibility for any injury to people or property resulting from any ideas, methods, instructions or products referred to in the content. |
© 2023 by the authors. Licensee MDPI, Basel, Switzerland. This article is an open access article distributed under the terms and conditions of the Creative Commons Attribution (CC BY) license (https://creativecommons.org/licenses/by/4.0/).
Share and Cite
Li, Q.; Fang, J.; Ding, J.; Cao, W.; Sun, J.; Guo, C.; Liu, T. A Novel Tuning Fork-Shaped Tri-Band Planar Antenna for Wireless Applications. Electronics 2023, 12, 1081. https://doi.org/10.3390/electronics12051081
Li Q, Fang J, Ding J, Cao W, Sun J, Guo C, Liu T. A Novel Tuning Fork-Shaped Tri-Band Planar Antenna for Wireless Applications. Electronics. 2023; 12(5):1081. https://doi.org/10.3390/electronics12051081
Chicago/Turabian StyleLi, Qiwei, Jinyong Fang, Jun Ding, Wen Cao, Jing Sun, Chenjiang Guo, and Tao Liu. 2023. "A Novel Tuning Fork-Shaped Tri-Band Planar Antenna for Wireless Applications" Electronics 12, no. 5: 1081. https://doi.org/10.3390/electronics12051081
APA StyleLi, Q., Fang, J., Ding, J., Cao, W., Sun, J., Guo, C., & Liu, T. (2023). A Novel Tuning Fork-Shaped Tri-Band Planar Antenna for Wireless Applications. Electronics, 12(5), 1081. https://doi.org/10.3390/electronics12051081

