DC-AC Converter with Dynamic Voltage Restoring Ability Based on Self-Regulated Phase Estimator-DQ Algorithm: Practical Modeling and Performance Evaluation
Abstract
1. Introduction
- Propose a DC-AC converter/DVR based on SRPE to improve the power quality of the grid.
- Propose SRPE and appropriately replace the use of PLL in DC-AC converter/DVR applications that eliminates the use of standard LPFs and PI controllers while addressing grid voltage issues such as voltage sag/swell, imbalance, and distortion.
- SRPE-based DC-AC converter/DVR is utilized to decrease structural complexity and computing cost while also improving power quality, transient responsiveness, and grid stability.
- Verify the proposed DC-AC converter/DVR’s functionality by conducting proper simulation and laboratory experiments.
2. Methods
2.1. Problem Formulation
2.2. Proposed Solution
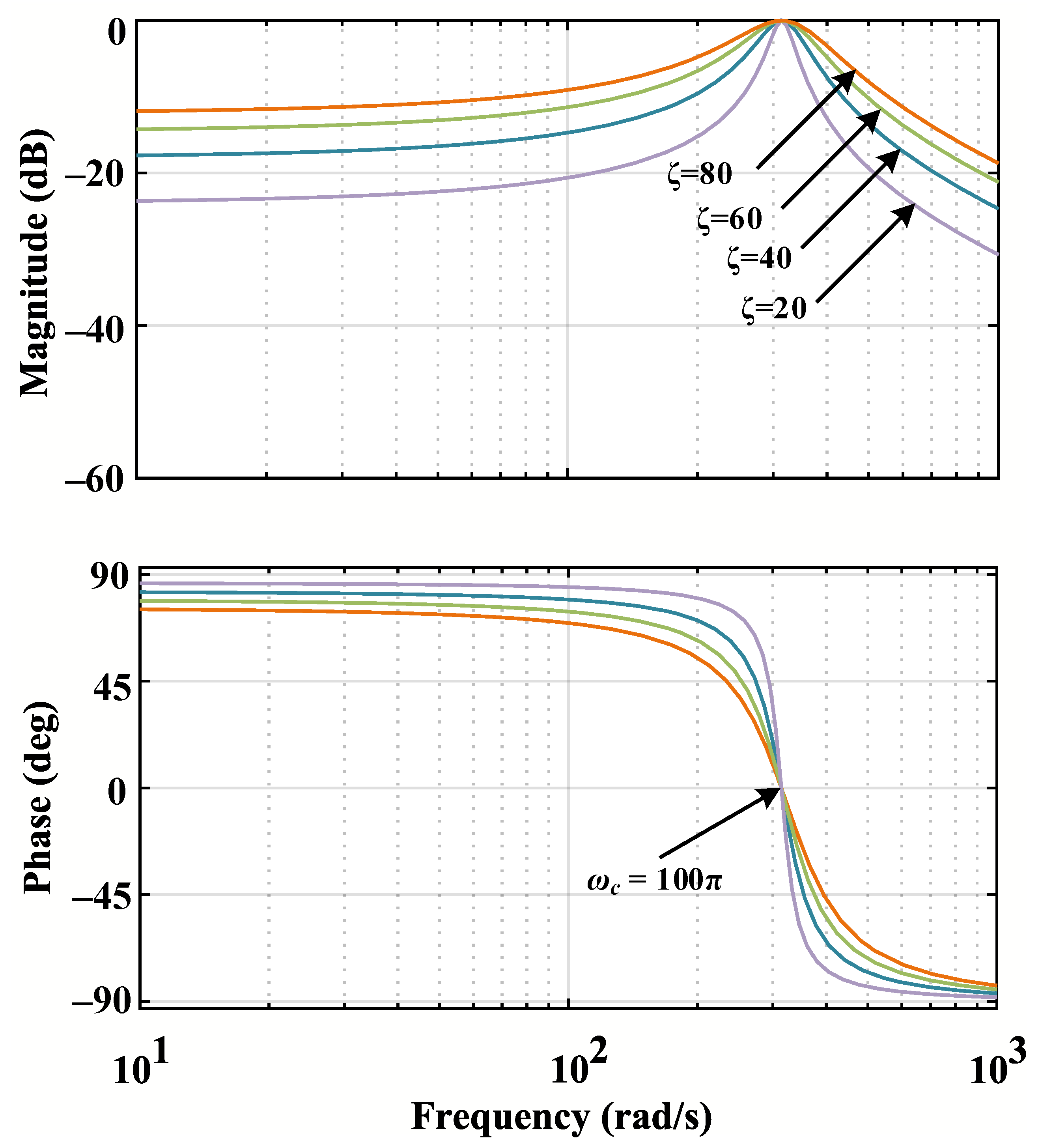
2.3. SRPE’s Dynamic Reaction in Comparison to Traditional PLLs
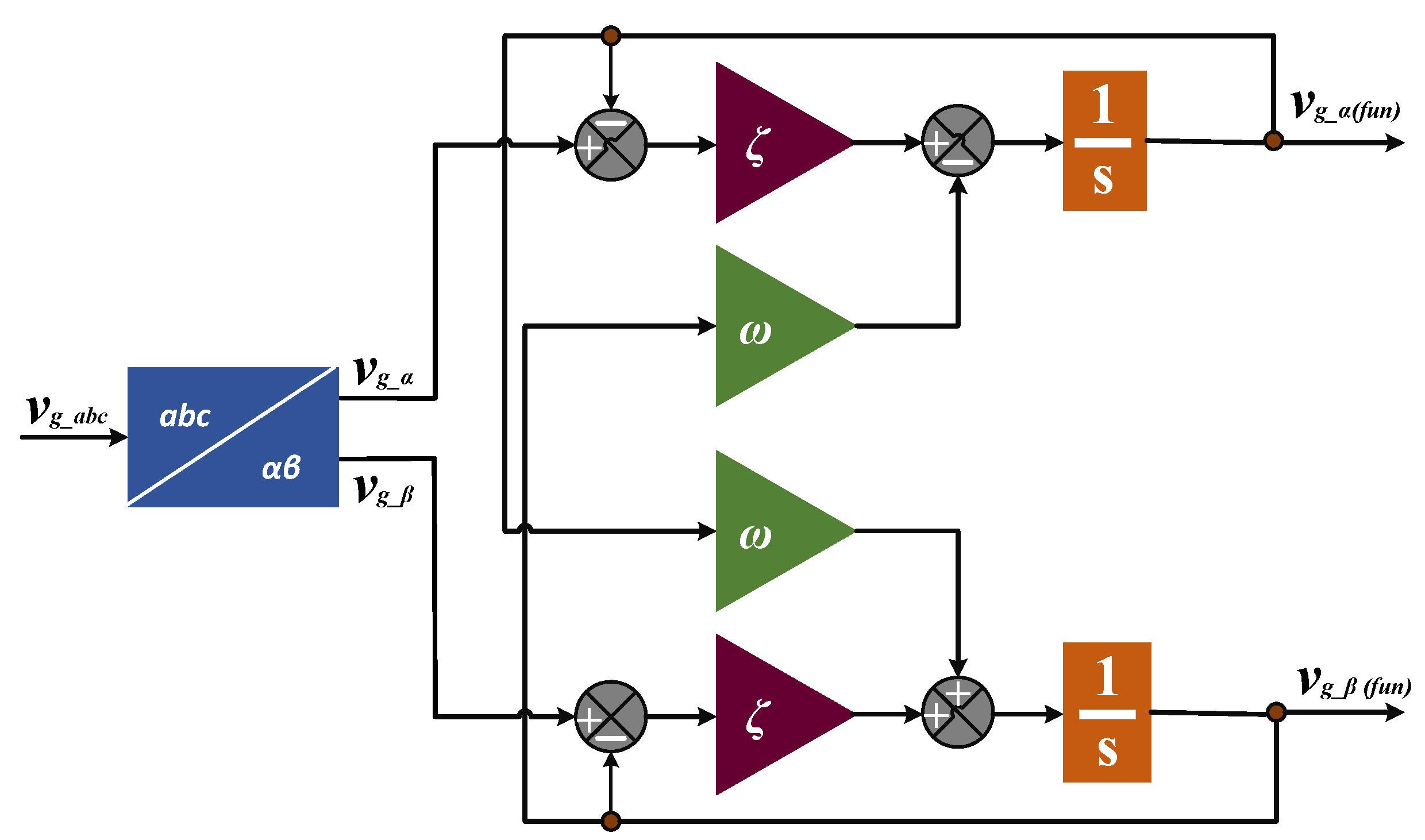
2.4. Reference Voltage Generation
3. Simulation Results and Discussions
3.1. Voltage Sag Compensation Using SRPE Mechanism
3.2. Voltage Swell Compensation Using SRPE Mechanism
3.3. Voltage Harmonic Compensation Using SRPE Mechanism
3.4. Voltage Unbalance Compensation Using SRPE Mechanism
4. Experimental Validation and Results
4.1. Scenario 1: Voltage Sag Compensation Using SRPE Mechanism
4.2. Scenario 2: Voltage Swell Compensation Using SRPE Mechanism
4.3. Scenario 3: Voltage Harmonic Compensation Using SRPE Mechanism
4.4. Scenario 3: Voltage Unbalance Compensation Using SRPE Mechanism
5. Comparative Analysis
6. Conclusions
Author Contributions
Funding
Institutional Review Board Statement
Informed Consent Statement
Data Availability Statement
Conflicts of Interest
Abbreviations
| E | phase error of the PLL | |
| F | loop filter’s transfer function for PLL | |
| K | kp | proportional gain of the PI controller for PLL |
| ki | integral gain of the PI controller for PLL | |
| kPE | phase detector gain for PLL | |
| kVCO | voltage-controlled oscillator gain for PLL | |
| U | Uxy | instantaneous input signals for synchronous reference framework |
| input signals in the αβ domain for SRPE | ||
| V | Vxy | instantaneous output signals for synchronous reference framework |
| three-phase grid voltages | ||
| grid voltages in dq-frame | ||
| grid voltages in αβ-frame | ||
| fundamental components of grid voltages in αβ-frame | ||
| disrupted components of grid voltages in αβ-frame | ||
| generated three-phase standard voltage signals | ||
| generated three-phase standard voltage signals in dq-frame | ||
| load voltages in dq-frame | ||
| DC-AC converter/DVR’s three-phase injected voltages | ||
| Greek and others | damping factor for SRPE | |
| cut-off frequency for SRPE | ||
| synchronizing elements generated by SRPE | ||
| synchronizing elements generated by SRPE |
References
- Çelik, D. Lyapunov based harmonic compensation and charging with three phase shunt active power filter in electrical vehicle applications. Int. J. Electr. Power Energy Syst. 2022, 136, 107564. [Google Scholar] [CrossRef]
- Hossain, E.; Tür, M.R.; Padmanaban, S.; AY, S.; Khan, I. Analysis and Mitigation of Power Quality Issues in Distributed Generation Systems Using Custom Power Devices. IEEE Access 2018, 6, 16816–16833. [Google Scholar] [CrossRef]
- Hasan, K.; Othman, M.M.; Rahman, N.F.A.; Hannan, M.A.; Musirin, I. Significant implication of unified power quality conditioner in power quality problems mitigation. Int. J. Power Electron. Drive Syst. 2019, 10, 2231–2237. [Google Scholar] [CrossRef]
- Hasan, K.; Othman, M.M.; Meraj, S.T.; Rahman, N.F.A.; Noor, S.Z.M.; Musirin, I.; Abidin, I.Z. Online harmonic extraction and synchronization algorithm based control for unified power quality conditioner for microgrid systems. Energy Rep. 2022, 8, 962–971. [Google Scholar] [CrossRef]
- Moghassemi, A.; Padmanaban, S. Dynamic voltage restorer (DVR): A comprehensive review of topologies, power converters, control methods, and modified configurations. Energies 2020, 13, 4152. [Google Scholar] [CrossRef]
- IEEE Standard 1346; Recommended Practice for Evaluating Electric Power System Compatibility with Electronic Process Equipment. IEEE: Piscataway, NJ, USA, 1998.
- Mozaffari, M.; Doshi, K.; Yilmaz, Y. Real-Time Detection and Classification of Power Quality Disturbances. Sensors 2022, 22, 7958. [Google Scholar] [CrossRef]
- Omar, A.I.; Abdel Aleem, S.H.E.; El-Zahab, E.E.A.; Algablawy, M.; Ali, Z.M. An improved approach for robust control of dynamic voltage restorer and power quality enhancement using grasshopper optimization algorithm. ISA Trans. 2019, 95, 110–129. [Google Scholar] [CrossRef]
- Al-Ammar, E.A.; Ul-Haq, A.; Iqbal, A.; Jalal, M.; Anjum, A. SRF based versatile control technique for DVR to mitigate voltage sag problem in distribution system. Ain Shams Eng. J. 2020, 11, 99–108. [Google Scholar] [CrossRef]
- Bhavani, R.; Rathina Prabha, N. Simulation of Reduced Rating Dynamic Voltage Restorer using SRF–ANFIS Controller. Int. J. Fuzzy Syst. 2018, 20, 1808–1820. [Google Scholar] [CrossRef]
- Manitha, P.V.; Nair, M.G. Adapted Synchronous Reference Frame based Control for a Dynamic Voltage Restorer. In Proceedings of the 2019 Innovations in Power and Advanced Computing Technologies, i-PACT 2019, Vellore, India, 22–23 March 2019; pp. 19–23. [Google Scholar]
- Tu, C.; Guo, Q.; Jiang, F.; Chen, C.; Li, X.; Xiao, F.; Gao, J. Dynamic Voltage Restorer With an Improved Strategy to Voltage Sag Compensation and. CPSS Trans. Power Electron. Appl. 2019, 4, 219–229. [Google Scholar] [CrossRef]
- Pradhan, M.; Mishra, M.K. Dual P-Q Theory based Energy Optimized Dynamic Voltage Restorer for Power Quality Improvement in Distribution System. IEEE Trans. Ind. Electron. 2018, 66, 2946–2955. [Google Scholar] [CrossRef]
- Singh, B.; Jain, C.; Goel, S.; Chandra, A.; Al-Haddad, K. A multifunctional grid-tied solar energy conversion system with ANF-based control approach. IEEE Trans. Ind. Appl. 2016, 52, 3663–3672. [Google Scholar] [CrossRef]
- Liu, H.; Xing, Y.; Hu, H. Enhanced Frequency-Locked Loop with a Comb Filter under Adverse Grid Conditions. IEEE Trans. Power Electron. 2016, 31, 8046–8051. [Google Scholar] [CrossRef]
- Panigrahi, R.; Subudhi, B. Performance enhancement of shunt active power filter using a kalman filter-based H∞control strategy. IEEE Trans. Power Electron. 2017, 32, 2622–2630. [Google Scholar] [CrossRef]
- Golestan, S.; Guerrero, J.M.; Vidal, A.; Yepes, A.G.; Doval-Gandoy, J. PLL with MAF-Based Prefiltering Stage: Small-Signal Modeling and Performance Enhancement. IEEE Trans. Power Electron. 2016, 31, 4013–4019. [Google Scholar] [CrossRef]
- Hasan, K.; Meraj, S.T.; Othman, M.M.; Lipu, M.S.H.; Hannan, M.A.; Muttaqi, K.M. Savitzky—Golay Filter-Based PLL: Modeling and Performance Validation. IEEE Trans. Instrum. Meas. 2022, 71, 2004306. [Google Scholar] [CrossRef]
- Zhu, Y.; Wang, H.; Zhu, Z. Improved VSG control strategy based on the combined power generation system with hydrogen fuel cells and super capacitors. Energy Rep. 2021, 7, 6820–6832. [Google Scholar] [CrossRef]
- Saeed, A.M.; Abdel Aleem, S.H.E.; Ibrahim, A.M.; Balci, M.E.; El-Zahab, E.E.A. Power conditioning using dynamic voltage restorers under different voltage sag types. J. Adv. Res. 2016, 7, 95–103. [Google Scholar] [CrossRef]
- Naidu, T.A.; Arya, S.R.; Maurya, R. Dynamic voltage restorer with quasi-Newton filter-based control algorithm and optimized values of PI regulator gains. IEEE J. Emerg. Sel. Top. Power Electron. 2019, 7, 2476–2485. [Google Scholar] [CrossRef]
- Budak, A.; Petrela, D.M. Frequency Limitations of Active Filters Using Operational Amplifiers. IEEE Trans. Circuit Theory 1972, 19, 322–328. [Google Scholar] [CrossRef]
- Dincel, E.; Söylemez, M.T. Limitations on dominant pole pair selection with continuous PI and PID controllers. In Proceedings of the International Conference on Control, Decision and Information Technologies, CoDIT 2016, Saint Julian’s, Malta, 6–8 April 2016; pp. 741–745. [Google Scholar]
- Tamrakar, U.; Shrestha, D.; Malla, N.; Ni, Z.; Hansen, T.M.; Tamrakar, I.; Tonkoski, R. Comparative analysis of current control techniques to support virtual inertia applications. Appl. Sci. 2018, 8, 2695. [Google Scholar] [CrossRef]
- Devassy, S.; Singh, B. Design and Performance Analysis of Three-Phase Solar PV Integrated UPQC. IEEE Trans. Ind. Appl. 2018, 54, 73–81. [Google Scholar] [CrossRef]
- Prasad, D.; Dhanamjayulu, C. Solar PV integrated dynamic voltage restorer for enhancing the power quality under distorted grid conditions. Electr. Power Syst. Res. 2022, 213, 108746. [Google Scholar] [CrossRef]
- Nallaiya Gonder, K.; Rezk, H. Dynamic voltage restorer integrated with photovoltaic-thermoelectric generator for voltage disturbances compensation and energy saving in three-phase system. Sustainability 2021, 13, 3511. [Google Scholar] [CrossRef]
- Molla, E.M.; Kuo, C.C. Voltage quality enhancement of grid-integrated pv system using battery-based dynamic voltage restorer. Energies 2020, 13, 5742. [Google Scholar] [CrossRef]



















| Specification | Value/Unit |
|---|---|
| Grid frequency | 50 Hz |
| Line-to-line RMS voltage | 100 V |
| AC load (R) | 80 Ω |
| Line impedance (R-LI) | (1 Ω−1 mH) |
| Active filter rating | 1.2 kVA |
| Passive-filter (Lfabc) | 5 mH |
| Switching types | Infineon GP35B60PD |
| Switching frequency | 10 kHz |
| Category | [9] | [10] | [11] | [12] | [13] | [25] | [26] | [27] | [28] | Proposed |
|---|---|---|---|---|---|---|---|---|---|---|
| Controller complexity | Complex | Complex | Simple | Simple | Simple | Simple | Complex | Simple | Simple | Simple |
| Grid sync | Conventional PLL | Conventional PLL | Conventional PLL | Not mentioned | Conventional PLL | Conventional PLL | Conventional PLL | Conventional PLL | Conventional PLL | SRPE |
| Harmonic robustness | √ | √ | ||||||||
| Additional PI | Yes | No | No | Yes | No | Yes | Yes | Yes | No | No |
| Reference voltage generation method | DQ | DQ | DQ | PI | Dual-PQ | DQ | DQ | DQ | DQ | DQ |
| Weight factor method | Not applicable | ANFIS | Not applicable | Manual tuning | Not applicable | Not applicable | ANFIS | Manual tuning | Not applicable | Not applicable |
| Passive filter count | 9 | 3 | 3 | 6 | 6 | 9 | 6 | 6 | 9 | 3 |
| Low-pass filter | Yes | No | Yes | No | No | No | No | No | No | No |
| THD profile | Not mentioned | Not mentioned | Not mentioned | Not mentioned | Moderate | Good | Good | Moderate | Not mentioned | Excellent |
| Hardware validation | No | No | No | Yes | Yes | Yes | Yes | No | No | Yes |
Disclaimer/Publisher’s Note: The statements, opinions and data contained in all publications are solely those of the individual author(s) and contributor(s) and not of MDPI and/or the editor(s). MDPI and/or the editor(s) disclaim responsibility for any injury to people or property resulting from any ideas, methods, instructions or products referred to in the content. |
© 2023 by the authors. Licensee MDPI, Basel, Switzerland. This article is an open access article distributed under the terms and conditions of the Creative Commons Attribution (CC BY) license (https://creativecommons.org/licenses/by/4.0/).
Share and Cite
Hasan, K.; Othman, M.M.; Meraj, S.T.; Rahman, M.S.; Lipu, M.S.H.; Kotsampopoulos, P. DC-AC Converter with Dynamic Voltage Restoring Ability Based on Self-Regulated Phase Estimator-DQ Algorithm: Practical Modeling and Performance Evaluation. Electronics 2023, 12, 523. https://doi.org/10.3390/electronics12030523
Hasan K, Othman MM, Meraj ST, Rahman MS, Lipu MSH, Kotsampopoulos P. DC-AC Converter with Dynamic Voltage Restoring Ability Based on Self-Regulated Phase Estimator-DQ Algorithm: Practical Modeling and Performance Evaluation. Electronics. 2023; 12(3):523. https://doi.org/10.3390/electronics12030523
Chicago/Turabian StyleHasan, Kamrul, Muhammad Murtadha Othman, Sheikh Tanzim Meraj, Md. Siddikur Rahman, Molla Shahadat Hossain Lipu, and Panos Kotsampopoulos. 2023. "DC-AC Converter with Dynamic Voltage Restoring Ability Based on Self-Regulated Phase Estimator-DQ Algorithm: Practical Modeling and Performance Evaluation" Electronics 12, no. 3: 523. https://doi.org/10.3390/electronics12030523
APA StyleHasan, K., Othman, M. M., Meraj, S. T., Rahman, M. S., Lipu, M. S. H., & Kotsampopoulos, P. (2023). DC-AC Converter with Dynamic Voltage Restoring Ability Based on Self-Regulated Phase Estimator-DQ Algorithm: Practical Modeling and Performance Evaluation. Electronics, 12(3), 523. https://doi.org/10.3390/electronics12030523

