Fault-Tolerant Consensus Control of Positive Networked Systems
Abstract
:1. Introduction
- Utilizing the theories of networked systems and positive systems, control protocols are designed based on state feedback. Subsequently, this paper discusses the positive consensus problem with an -gain under actuator faults.
- Actuator faults are categorized into multiplicative and additive faults. Bounded multiplicative faults are treated as uncertainties in the system matrices, while additive faults are considered external disturbances. Subsequently, the actuator fault problem is transformed into addressing external disturbances with an -gain, with a specific focus on analyzing disturbance rejection performance.
- The proposed approach focuses on the inherent performance of networked systems rather than relying on techniques like observers for fault detection. Positive consensus constraints are derived using Algebraic Riccati Inequalities, and the Genetic Algorithm is employed to solve the nonlinear optimization problem.
2. Preliminaries and Problem Formulation
2.1. Preliminaries
2.2. Problem Formulation
- (1)
- The networked system (4) is asymptotically stable.
- (2)
- When the external disturbance , under zero initial conditions , there holdswhere is the state of the networked system, and is the external disturbance.
3. Main Results
- (1)
- .
- (2)
- is Metzler.
- (3)
- are Hurwitz.
- (1)
- Positivity analysis
- (2)
- Consensus analysis
- (3)
- -gain analysis
4. Numerical Simulation
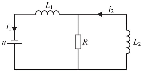
4.1. Electric Circuit System
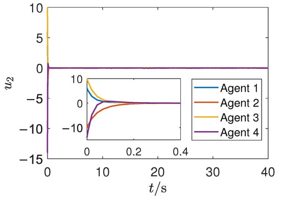
4.2. Multi-Input System
5. Conclusions
Author Contributions
Funding
Data Availability Statement
Conflicts of Interest
Abbreviations
| PCNS | Positive consensus of a networked system |
| ARI | Algebraic Riccati Inequality |
References
- Fulda, F.C. Agential autonomy and biological individuality. Evol. Dev. 2023, 25, 353–370. [Google Scholar] [CrossRef]
- Zhao, W.; Zhang, S.Q.; Wang, B.; Zhou, B. Spatio-temporal causal graph attention network for traffic flow prediction in intelligent transportation systems. PeerJ Comput. Sci. 2023, 9, 1484. [Google Scholar] [CrossRef] [PubMed]
- Silva, F.F.; Carvalho, P.M.; Ferreira, L.A. A quantum computing approach for minimum loss problems in electrical distribution networks. Sci. Rep. 2023, 13, 10777. [Google Scholar] [CrossRef] [PubMed]
- Lv, Z.H.; Cheng, C.; Lv, H.B. Multi-robot distributed communication in heterogeneous robotic systems on 5G networking. IEEE Wirel. Commun. 2023, 30, 98–104. [Google Scholar] [CrossRef]
- Li, T.; Qin, K.Y.; Jiang, B.; Huang, Q.; Liu, H.; Lin, B.X.; Shi, M.J. Neural network-based robust bipartite consensus tracking control of multi-agent system with compound uncertainties and actuator faults. Electronics 2023, 12, 2524. [Google Scholar] [CrossRef]
- Cao, L.; Zhang, D.W.; Ionescu, C.M.; Liu, G.P. An output formation consensus control for leader–follower networked multi-agent systems under communication constraints and switching topologies. Asian J. Control 2023, 25, 3978–3991. [Google Scholar] [CrossRef]
- Stanković, M.S.; Antić, D.S. Distributed non-linear robust consensus-based sensor calibration for networked control systems. IET Control Theory Appl. 2020, 14, 1200–1208. [Google Scholar] [CrossRef]
- Sui, B.W.; Zhang, J.Q.; Li, Y.; Zhang, Y.Y.; Liu, Z. Fixed-time formation tracking control of multiple unmanned surface vessels considering lumped disturbances and input saturation. Electronics 2023, 12, 3556. [Google Scholar] [CrossRef]
- Cui, Y.K.; Chen, Y.Q.; Yang, D.; Shu, Z.; Huang, T.W.; Gong, X. Resilient formation tracking of spacecraft swarm against actuation attacks: A distributed lyapunov-based model predictive approach. IEEE Trans. Syst. Man Cybern. Syst. 2023, 53, 7053–7065. [Google Scholar] [CrossRef]
- Li, J.L.; Xi, J.X.; He, M.; Li, B. Formation control for networked multiagent systems with a minimum energy constraint. Chin. J. Aeronaut. 2023, 36, 342–355. [Google Scholar] [CrossRef]
- Kim, B.M.; Yoo, S.J. Distributed containment control of networked uncertain mimo pure-feedback nonlinear systems via quantized state feedback and communication. Int. J. Robust Nonlinear Control 2022, 32, 10029–10051. [Google Scholar] [CrossRef]
- Ma, L.; Min, H.B.; Wang, S.C.; Liu, Y.; Liu, Z.G. Distributed containment control of networked nonlinear second-order systems with unknown parameters. IEEE/CAA J. Autom. Sin. 2016, 5, 232–239. [Google Scholar] [CrossRef]
- Li, J.Z.; Li, C.L.; Yang, X.F.; Chen, W. Event-triggered containment control of multi-agent systems with high-order dynamics and input delay. Electronics 2018, 7, 343. [Google Scholar] [CrossRef]
- Wang, G.; Wang, C.L.; Shen, Y.T. Distributed adaptive leader-following tracking control of networked lagrangian systems with unknown control directions under undirected/directed graphs. Int. J. Control 2019, 92, 2886–2898. [Google Scholar] [CrossRef]
- Gong, X.; Cui, Y.K.; Wang, T.N.; Shen, J.; Huang, T.W. Distributed prescribed-time consensus observer for high-order integrator multi-agent systems on directed graphs. IEEE Trans. Circuits Syst. II 2021, 69, 2216–2220. [Google Scholar] [CrossRef]
- Ngo, V.T.; Liu, Y.C. Event-based communication and control for task-space consensus of networked euler–lagrange systems. IEEE Trans. Control Netw. Syst. 2021, 8, 555–565. [Google Scholar] [CrossRef]
- He, S.H.; Liu, Y.S.; Wu, Y.Q.; Li, Y.Z. Integral sliding mode consensus of networked control systems with bounded disturbances. ISA Trans. 2022, 124, 349–355. [Google Scholar] [CrossRef]
- Shen, J.; Lam, J. Some extensions on the bounded real lemma for positive systems. IEEE Trans. Autom. Control 2016, 62, 3034–3038. [Google Scholar] [CrossRef]
- Kaczorek, T. Positive 1D and 2D Systems; Springer: London, UK, 2012. [Google Scholar]
- Kaczorek, T.; Sajewski, L. The Realization Problem for Positive and Fractional Systems; Springer: Berlin/Heidelberg, Germany, 2014. [Google Scholar]
- Minc, H. Nonnegative Matrices; Wiley: New York, NY, USA, 1988. [Google Scholar]
- Mitkowski, W. Remarks on stability of positive linear systems. Control Cybern. 2000, 29, 295–304. [Google Scholar]
- Li, S.; Li, L.; Xiang, Z.R.; Tian, J.M.; Ghous, I. Event-triggered finite-time L1 control for positive markov jump systems with partly known transition probability. J. Frankl. Inst.-Eng. Appl. Math. 2023, 360, 10018–10040. [Google Scholar] [CrossRef]
- Cui, Y.K.; Shen, J.; Zhang, W.; Feng, Z.G.; Gong, X. Positivity and stability analysis of homogeneous coupled differential-difference equations with time-varying delays. IEEE Trans. Autom. Control 2021, 67, 5493–5500. [Google Scholar] [CrossRef]
- Wu, H.; Su, H.S. Positive edge consensus of networked systems with input saturation. ISA Trans. 2020, 96, 210–217. [Google Scholar] [CrossRef]
- Li, Y.; Wang, C.L.; Cai, X.; Li, L.; Wang, G. Neural-network-based distributed adaptive asymptotically consensus tracking control for nonlinear multiagent systems with input quantization and actuator faults. Neurocomputing 2019, 349, 64–76. [Google Scholar] [CrossRef]
- Chen, J.N.; Hua, C.C.; Guan, X.P. Iterative learning model-free control for networked systems with dual-direction data dropouts and actuator faults. IEEE Trans. Neural Netw. Learn. Syst. 2020, 32, 5232–5240. [Google Scholar] [CrossRef] [PubMed]
- Yin, Y.H.; Wang, F.Y.; Liu, Z.X.; Chen, Z.Q. Finite-time leader-following consensus of multiagent systems with actuator faults and input saturation. IEEE Trans. Syst. Man Cybern. Syst. 2021, 52, 3314–3325. [Google Scholar] [CrossRef]
- Mitkowski, W. Dynamical properties of Metzler systems. Bull. Pol. Acad. Sci.-Tech. Sci. 2008, 56. [Google Scholar]
- Varun Bose, C.S.; Udhayakumar, R.; Savatovic, M.; Deiveegan, A.; Todorcevic, V.; Radenovic, S. Existence of mild solution of the hilfer fractional differential equations with infinite delay on an infinite interval. Fractal Fract. 2023, 7, 724. [Google Scholar] [CrossRef]
- Qiu, H.L.; Wang, H.X.; Pan, Y.P.; Cao, J.D.; Liu, H. Stability and L∞-gain of positive fractional-order singular systems with time-varying delays. IEEE Trans. Circuits Syst. II 2023, 70, 3534–3538. [Google Scholar] [CrossRef]
- Zhu, B.H.; Lam, J.; Song, X.Q. Stability and L1-gain analysis of linear periodic piecewise positive systems. Automatica 2019, 101, 232–240. [Google Scholar] [CrossRef]
- Jiao, Q.; Modares, H.; Lewis, F.L.; Xu, S.Y.; Xie, L.H. Distributed L2-gain output-feedback control of homogeneous and heterogeneous systems. Automatica 2016, 71, 361–368. [Google Scholar] [CrossRef]
- Lancaster, P.; Rodman, L. Algebraic Riccati Equations; Clarendon Press: Oxford, UK, 1995. [Google Scholar]
- Liu, J.J.; Kwok, K.W.; Cui, Y.K.; Shen, J.; Lam, J. Consensus of positive networked systems on directed graphs. IEEE Trans. Neural Netw. Learn. Syst. 2021, 33, 4575–4583. [Google Scholar] [CrossRef] [PubMed]









Disclaimer/Publisher’s Note: The statements, opinions and data contained in all publications are solely those of the individual author(s) and contributor(s) and not of MDPI and/or the editor(s). MDPI and/or the editor(s) disclaim responsibility for any injury to people or property resulting from any ideas, methods, instructions or products referred to in the content. |
© 2023 by the authors. Licensee MDPI, Basel, Switzerland. This article is an open access article distributed under the terms and conditions of the Creative Commons Attribution (CC BY) license (https://creativecommons.org/licenses/by/4.0/).
Share and Cite
He, Z.; Shen, J. Fault-Tolerant Consensus Control of Positive Networked Systems. Electronics 2023, 12, 4789. https://doi.org/10.3390/electronics12234789
He Z, Shen J. Fault-Tolerant Consensus Control of Positive Networked Systems. Electronics. 2023; 12(23):4789. https://doi.org/10.3390/electronics12234789
Chicago/Turabian StyleHe, Zhansheng, and Jun Shen. 2023. "Fault-Tolerant Consensus Control of Positive Networked Systems" Electronics 12, no. 23: 4789. https://doi.org/10.3390/electronics12234789
APA StyleHe, Z., & Shen, J. (2023). Fault-Tolerant Consensus Control of Positive Networked Systems. Electronics, 12(23), 4789. https://doi.org/10.3390/electronics12234789

