Positivity and Stability of Fractional-Order Coupled Neural Network with Time-Varying Delays
Abstract
:1. Introduction
2. Preliminaries and Problem Formulation
2.1. Introduction to Fractional Calculus
2.2. Problem Description
3. Main Results
3.1. Positivity Analysis
3.2. Asymptotic Stability Analysis
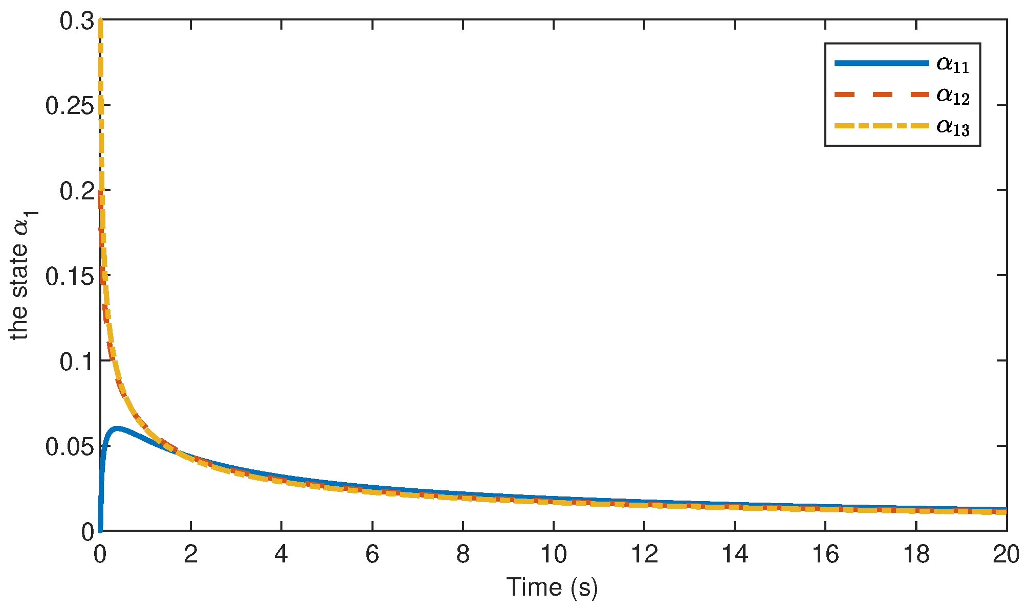
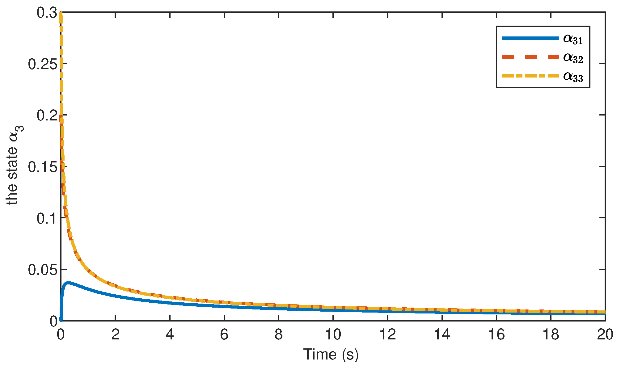
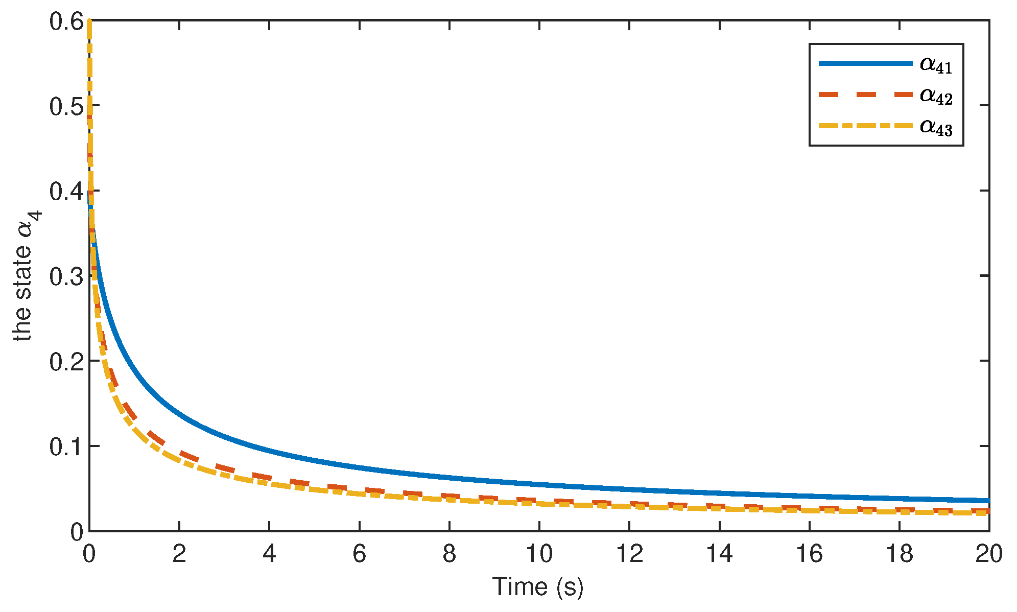
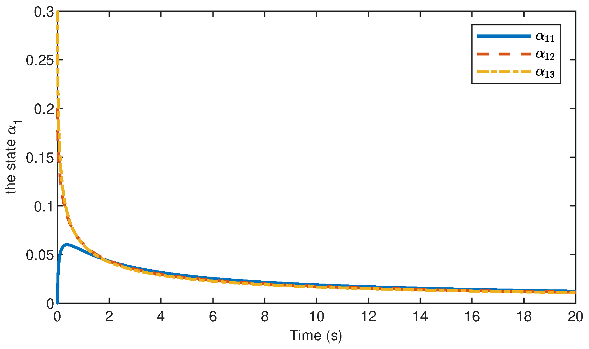
4. Simulation
5. Conclusions
Author Contributions
Funding
Data Availability Statement
Conflicts of Interest
Abbreviations
| CNNs | Coupled neural networks |
| FOCNNs | Fractional-order coupled neural networks |
| FOLSs | Fractional-order linear systems |
References
- Wang, T.; Wang, K.; Jia, N. Chaos control and associative memory of a time-delay globally coupled neural network using symmetric map. Neurocomputing 2011, 74, 1673–1680. [Google Scholar] [CrossRef]
- Keren, H.; Partzsch, J.; Marom, S.; Mayr, C.G. A biohybrid setup for coupling biological and neuromorphic neural networks. Front. Neurosci. 2019, 13, 432. [Google Scholar] [CrossRef] [PubMed]
- Mureşan, R.C. Pattern recognition using pulse-coupled neural networks and discrete Fourier transforms. Neurocomputing 2003, 51, 487–493. [Google Scholar] [CrossRef]
- Ouyang, D.; Shao, J.; Jiang, H.; Nguang, S.K.; Shen, H.T. Impulsive synchronization of coupled delayed neural networks with actuator saturation and its application to image encryption. Neural Netw. 2020, 128, 158–171. [Google Scholar] [CrossRef]
- Zhang, X.; Garikipati, K. Machine learning materials physics: Multi-resolution neural networks learn the free energy and nonlinear elastic response of evolving microstructures. Comput. Methods Appl. Mech. Eng. 2020, 372, 113362. [Google Scholar] [CrossRef]
- Cole, K.S. Electric conductance of biological systems. In Proceedings of the Cold Spring Harbor Symposia on Quantitative Biology; Cold Spring Harbor Laboratory Press: New York, NY, USA, 1933; Volume 1, pp. 107–116. [Google Scholar]
- Tan, M.; Pan, Q. Global stability analysis of delayed complex-valued fractional-order coupled neural networks with nodes of different dimensions. Int. J. Mach. Learn. Cybern. 2019, 10, 897–912. [Google Scholar] [CrossRef]
- Wang, H.; Yu, Y.; Wen, G.; Zhang, S. Stability analysis of fractional-order neural networks with time delay. Neural Process. Lett. 2015, 42, 479–500. [Google Scholar] [CrossRef]
- Bao, H.; Park, J.H.; Cao, J. Adaptive synchronization of fractional-order output-coupling neural networks via quantized output control. IEEE Trans. Neural Netw. Learn. Syst. 2020, 32, 3230–3239. [Google Scholar] [CrossRef]
- Li, Y.; Xu, M.; Sun, J.; Liu, N.; Yu, P.; Liu, P. Finite-time Synchronization of Fractional-Order Neural Networks With Time-Varying Delays. In Proceedings of the 2021 11th International Conference on Information Science and Technology (ICIST), Chengdu, China, 21–23 May 2021; pp. 668–672. [Google Scholar]
- Liu, C.G.; Wang, J.L.; Wu, H.N. Finite-Time Passivity for Coupled Fractional-Order Neural Networks With Multistate or Multiderivative Couplings. IEEE Trans. Neural Netw. Learn. Syst. 2021, 34, 5976–5987. [Google Scholar] [CrossRef]
- Shafiya, M.; Nagamani, G. New finite-time passivity criteria for delayed fractional-order neural networks based on Lyapunov function approach. Chaos Solitons Fractals 2022, 158, 112005. [Google Scholar] [CrossRef]
- Liu, C.G.; Wang, J.L. Passivity of fractional-order coupled neural networks with multiple state/derivative couplings. Neurocomputing 2021, 455, 379–389. [Google Scholar] [CrossRef]
- Li, H.L.; Kao, Y.; Hu, C.; Jiang, H.; Jiang, Y.L. Robust exponential stability of fractional-order coupled quaternion-valued neural networks with parametric uncertainties and impulsive effects. Chaos Solitons Fractals 2021, 143, 110598. [Google Scholar] [CrossRef]
- Bao, H.; Park, J.H.; Cao, J. Synchronization of fractional-order delayed neural networks with hybrid coupling. Complexity 2016, 21, 106–112. [Google Scholar] [CrossRef]
- Qiu, H.; Wang, H.; Pan, Y.; Cao, J.; Liu, H. Stability and L∞-Gain of Positive Fractional-Order Singular Systems With Time-Varying Delays. IEEE Trans. Circuits Syst. II Express Briefs 2023, 70, 3534–3538. [Google Scholar] [CrossRef]
- Fei, C.; Shen, J. Machine learning for securing Cyber–Physical Systems under cyber attacks: A survey. Frankl. Open 2023, 4, 100041. [Google Scholar] [CrossRef]
- Qiu, H.; Cao, J.; Liu, H. Stability and L∞-gain of positive fractional-order coupled differential-difference systems with unbounded time-varying delays. Chaos Solitons Fractals 2023, 175, 113948. [Google Scholar] [CrossRef]
- Leutcho, G.D.; Woodward, L.; Blanchard, F. Nonlinear dynamics of a single-gap terahertz split-ring resonator under electromagnetic radiation. Chaos Interdiscip. J. Nonlinear Sci. 2023, 33, 103131. [Google Scholar] [CrossRef]
- Caswell, H. Matrix Population Models; Sinauer: Sunderland, MA, USA, 2000; Volume 1. [Google Scholar]
- Jacquez, J.A. Compartmental Analysis in Biology and Medicine; Elsevier Publishing Company: Amsterdam, The Netherlands, 1972. [Google Scholar]
- Kaczorek, T. Fractional Positive Continuous-Time Linear Systems and Their Reachability. Int. J. Appl. Math. Comput. Sci. 2008, 18, 223–228. [Google Scholar] [CrossRef]
- Busłowicz, M. Robust stability of positive discrete-time linear systems of fractional order. Bull. Pol. Acad. Sci. Tech. Sci. 2010, 58, 567–572. [Google Scholar] [CrossRef]
- Wang, C.; Zhao, Y. Performance analysis and control of fractional-order positive systems. IET Control Theory Appl. 2019, 13, 928–934. [Google Scholar] [CrossRef]
- Benzaouia, A.; Hmamed, A.; Mesquine, F.; Benhayoun, M.; Tadeo, F. Stabilization of continuous-time fractional positive systems by using a Lyapunov function. IEEE Trans. Autom. Control 2014, 59, 2203–2208. [Google Scholar] [CrossRef]
- Kaczorek, T. Positive linear systems consisting of n subsystems with different fractional orders. IEEE Trans. Circuits Syst. I Regul. Pap. 2011, 58, 1203–1210. [Google Scholar] [CrossRef]
- Chen, L.; Gu, P.; Lopes, A.M.; Chai, Y.; Xu, S.; Ge, S. Asymptotic Stability of Fractional-Order Incommensurate Neural Networks. Neural Process. Lett. 2023, 55, 5499–5513. [Google Scholar] [CrossRef]
- Shen, J.; Lam, J. Stability and performance analysis for positive fractional-order systems with time-varying delays. IEEE Trans. Autom. Control 2015, 61, 2676–2681. [Google Scholar] [CrossRef]
- Podlubny, I. Fractional Differential Equations: An Introduction to Fractional Derivatives, Fractional Differential Equations, to Methods of Their Solution and Some of Their Applications; Elsevier: Amsterdam, The Netherlands, 1998. [Google Scholar]




Disclaimer/Publisher’s Note: The statements, opinions and data contained in all publications are solely those of the individual author(s) and contributor(s) and not of MDPI and/or the editor(s). MDPI and/or the editor(s) disclaim responsibility for any injury to people or property resulting from any ideas, methods, instructions or products referred to in the content. |
© 2023 by the authors. Licensee MDPI, Basel, Switzerland. This article is an open access article distributed under the terms and conditions of the Creative Commons Attribution (CC BY) license (https://creativecommons.org/licenses/by/4.0/).
Share and Cite
Gong, J.; Qiu, H.; Shen, J. Positivity and Stability of Fractional-Order Coupled Neural Network with Time-Varying Delays. Electronics 2023, 12, 4782. https://doi.org/10.3390/electronics12234782
Gong J, Qiu H, Shen J. Positivity and Stability of Fractional-Order Coupled Neural Network with Time-Varying Delays. Electronics. 2023; 12(23):4782. https://doi.org/10.3390/electronics12234782
Chicago/Turabian StyleGong, Jiyun, Hongling Qiu, and Jun Shen. 2023. "Positivity and Stability of Fractional-Order Coupled Neural Network with Time-Varying Delays" Electronics 12, no. 23: 4782. https://doi.org/10.3390/electronics12234782
APA StyleGong, J., Qiu, H., & Shen, J. (2023). Positivity and Stability of Fractional-Order Coupled Neural Network with Time-Varying Delays. Electronics, 12(23), 4782. https://doi.org/10.3390/electronics12234782

