Refined Analysis of Leakage Current in SiC Power Metal Oxide Semiconductor Field Effect Transistors after Heavy Ion Irradiation
Abstract
:1. Introduction
2. Materials and Methods
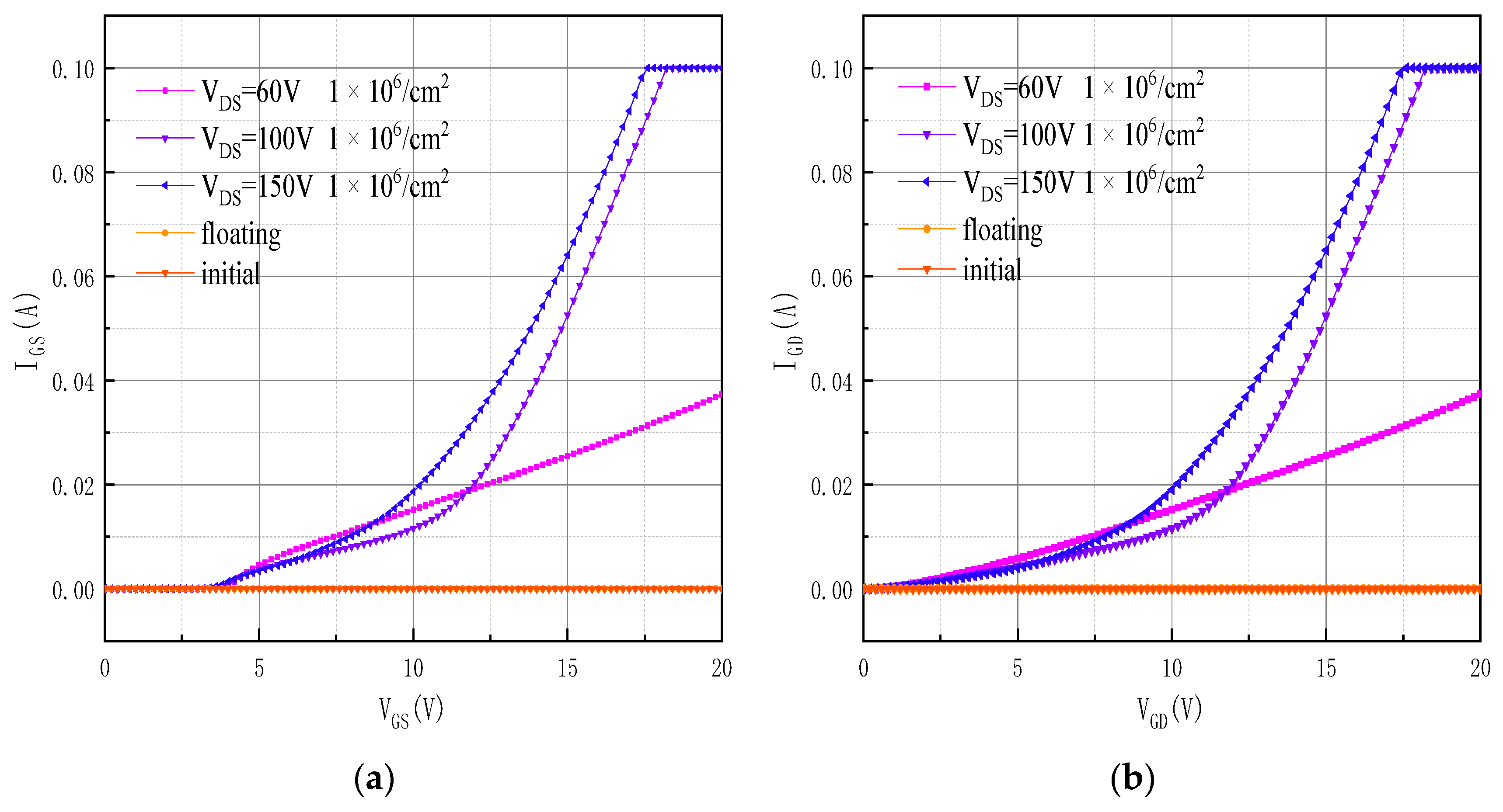
3. Results
4. Discussion
5. Conclusions
Author Contributions
Funding
Data Availability Statement
Acknowledgments
Conflicts of Interest
References
- Zeng, Z.; Zhang, X.; Blaabjerg, F.; Miao, L. Impedance-oriented transient instability modeling of SiC MOSFET intruded by measurement probes. IEEE Trans. Power Electron. 2020, 35, 1866–1881. [Google Scholar] [CrossRef]
- Sheng, K.; Guo, Q.; Zhang, J.; Qian, Z. Development and prospect of SiC power devices in power grid. Proc. Chin. Soc. Electr. Eng. 2012, 32, 1–7. [Google Scholar]
- Hang, B.; Deng, X.; Zhang, Y. Recent Development and Future Perspective of Silicon Carbide Power Devices—Opportunity and Challenge. J. China Acad. Electron. Inf. Technol. 2009, 4, 111–118. [Google Scholar]
- Shen, Z.; Xia, Y.; Yang, Y. Protection of Materials and Structures from Space Radiation Environments on Spacecraft. Aerosp. Mater. Technol. 2020, 50, 012089. [Google Scholar]
- Zhiqiang, B. Research Progress on Reliability of 4H-SiC Power MOSFET. Electron. Pack. 2022, 22, 5–13. [Google Scholar] [CrossRef]
- Liu, C.; Guo, G.; Li, Z. Recent research progress of single particle effect of SiC MOSFET. Nucl. Tech. 2022, 45, 3–16. [Google Scholar]
- Tan, Z.; Wei, Z.; Sun, Y.; Wan, X.; Jin, H.; Wan, H.; Wang, J.; Liu, D.; Xu, J. Review of Radiation Effects in Power Semiconductor Devices. Microelectronics 2017, 47, 690–694. [Google Scholar] [CrossRef]
- Chen, W.; Yang, H.L.; Guo, X.Q. The research status and challenge of space radiation physics and application. Chin. Sci. Bull. 2017, 62, 978–989. [Google Scholar] [CrossRef]
- Ecoffet, R. Overview of in-orbit radiation induced spacecraft anomalies. IEEE Trans. Nucl. Sci. 2013, 60, 1791–1815. [Google Scholar] [CrossRef]
- Ferlet-Cavrois, V.; Sturesson, F.; Zadeh, A.; Santin, G.; Truscott, P.; Poivey, C.; Schwank, J.R.; Peyre, D.; Binois, C.; Beutier, T.; et al. Charge collection in power MOSFETs for SEB characterization evidence of energy effects. IEEE Trans. Nucl. Sci. 2010, 57, 3515–3527. [Google Scholar] [CrossRef]
- Huang, H.; Wang, N.; Wu, J.; Lu, T. Radiated disturbance characteristics of SiC MOSFET module. J. Power Electron. 2021, 21, 49–504. [Google Scholar] [CrossRef]
- Lichtenwalner, D.J.; Akturk, A.; McGarrity, J.; Richmond, J.; Barbieri, T.; Hull, B.; Grider, D.; Allen, S.; Palmour, J.W. Reliability of SiC power devices against cosmic ray neutron single-event burnout. Mater. Sci. Forum 2018, 924, 559–562. [Google Scholar] [CrossRef]
- Sato, I.; Tanaka, T.; Hori, M.; Yamada, R.; Toba, A.; Kubota, H. High power density inverter utilizing SiC MOSFET and interstitial via hole PCB for motor drive system. Electr. Eng. Jpn. 2021, 214, e23323. [Google Scholar] [CrossRef]
- Ikpe, S.A.; Lauenstein, J.M.; Carr, G.A.; Hunter, D.; Ludwig, L.L.; Wood, W.; Iannello, C.J.; Del Castillo, L.Y.; Fitzpatrick, F.D.; Mojarradi, M.M.; et al. Long-term reliability of a hard-switched boost power processing unit utilizing SiC power MOSFETs. In Proceedings of the 2016 IEEE International Reliability Physics Symposium (IRPS), Pasadena, CA, USA, 17–21 April 2016; pp. ES-1–ES-18. [Google Scholar] [CrossRef]
- Lauenstein, J.M. Getting SiC power devices off the ground: Design, testing, and overcoming radiation threats. In Proceedings of the 2018 Microelectronics Reliability and Qualification Workshop, El Segundo, CA, USA, 6–8 February 2018. [Google Scholar]
- Martinella, C.; Stark, R.; Ziemann, T.; Alía, R.G.; Kadi, Y.; Grossner, U.; Javanainen, A. Current transport mechanism for heavy-ion degraded SiC MOSFETs. IEEE Trans. Nucl. Sci. 2019, 66, 1702–1709. [Google Scholar] [CrossRef]
- Mizuta, E.; Kuboyama, S.; Abe, H.; Iwata, Y.; Tamura, T. Investigation of single-event damages on silicon carbide (SiC) power MOSFETs. IEEE Trans. Nucl. Sci. 2014, 61, 1924–1928. [Google Scholar] [CrossRef]
- Martinella, C.; Ziemann, T.; Stark, R.; Tsibizov, A.; Voss, K.O.; Alia, R.G.; Kadi, Y.; Grossner, U.; Javanainen, A. Heavy-ion microbeam studies of single-event leakage current mechanism in SiC VD-MOSFETs. IEEE Trans. Nucl. Sci. 2020, 67, 1381–1389. [Google Scholar] [CrossRef]
- Waskiewicz, A.E.; Groninger, J.W.; Strahan, V.H.; Long, D.M. Burnout of Power Mos Transistors with Heavy Ions of Californium-252. IEEE Trans. Nucl. Sci. 1986, 33, 1710–1713. [Google Scholar] [CrossRef]
- Hohl, J.H.; Johnnson, G.H. Features of the Triggering Mechanism for Single Event Burnout of Power Mosfets. IEEE Trans. Nucl. Sci. 1989, 36, 2260–2266. [Google Scholar] [CrossRef]
- Johnson, G.H.; Hohl, J.H.; Schrimpf, R.D.; Galloway, K.F. Simulating Single-Event Burnout of N-Channel Power MOSFET’S. IEEE Trans. Electron Devices 1993, 40, 1001–1008. [Google Scholar] [CrossRef]
- Shoji, T.; Nishida, S.; Hamada, K.; Tadano, H. Analysis of Neutron-Induced Single-Event Burnout in SiC Power Mosfets. Microelectron. Reliab. 2015, 55, 1517–1521. [Google Scholar] [CrossRef]
- Witulski, A.F.; Ball, D.R.; Galloway, K.F.; Javanainen, A.; Lauenstein, J.M.; Sternberg, A.L.; Schrimpf, R.D. Single-Event Burnout Mechanisms in Sic Power Mosfets. IEEE Trans. Nucl. Sci. 2018, 65, 1951–1955. [Google Scholar] [CrossRef]
- Titus, J.L.; Su, Y.S.; Savage, M.W.; Mickevicius, R.V.; Wheatley, C.F. Simulation Study of Single-Event Gate Rupture Using Radiation-Hardened Stripe Cell Power Mosfet Structures. IEEE Trans. Nucl. Sci. 2003, 50, 2256–2264. [Google Scholar] [CrossRef]
- Boruta, N.; Lum, G.; O’Donnell, H.; Robinette, L.; Shaneyfelt, M.; Schwank, J. A new physics-based model for understanding single-event gate rupture in linear devices. IEEE Trans. Nucl. Sci. 2001, 48, 1917–1924. [Google Scholar] [CrossRef]
- Titus, J.L. An Updated Perspective of Single Event Gate Rupture and Single Event Burnout in Power MOSFETs. IEEE Trans. Nucl. Sci. 2013, 60, 1912–1928. [Google Scholar] [CrossRef]
- Krishnamurthy, S.; Kannan, R.; Hussin, A.; Yahya, E.A. Investigation of Segr Effects on Power Vdmosfet for Various Heavy Ion Radiation. In Proceedings of the International Conference in Electrical, Pahang, Malaysia, 29 July 2019. [Google Scholar]
- Fischer, T. Heavy-ion Induced Gate Rupture in Power MOSFETs. IEEE Trans. Nucl. Sci. 1987, 34, 1786–1791. [Google Scholar] [CrossRef]
- Selva, L.E.; Swift, G.M.; Taylor, W.A.; Edmonds, L.D. On the role of energy deposition in triggering SEGR in power MOSFETs. IEEE Trans. Nucl. Sci. 1999, 46, 1403–1409. [Google Scholar] [CrossRef]
- Wheatley, C.F.; Titus, J.L.; Burton, D.I. Single-Event Gate Rupture in Vertical Power MOSFETs: An Original Emporical Expression. IEEE Trans. Nucl. Sci. 1994, 41, 2152–2159. [Google Scholar] [CrossRef]
- Titus, J.L.; Wheatley, C.F.; Burton, D.I.; Mouret, I.; Allenspach, M.; Brews, J.; Schrimpf, R.; Galloway, K.; Pease, R.L. Impact of Oxide Thickness on SEGR Failure in Vertical Power MOSFETs; Development of A Semi-Empirical Expression. IEEE Trans. Nucl. Sci. 1995, 42, 1928–1934. [Google Scholar] [CrossRef]
- Titus, J.L.; Wheatley, C.F.; Allenspach, M.; Schrimpf, R.D.; Burton, D.I.; Brews, J.R.; Galloway, K.F.; Pease, R.L. Influence of Ion Beam Energy on SEGR Failure Thresholds of Vertical Power MOSFETs. IEEE Trans. Nucl. Sci. 1996, 43, 2938–2943. [Google Scholar] [CrossRef]
- Lauenstein, J.M.; Casey, M.; Topper, A.; Wilcox, E.; Phan, A.; Ikpe, S.; LaBel, K. Silicon carbide power device performance under heavy-ion irradiation. In Proceedings of the 2015 IEEE Nuclear and Space Effects Conference, Boston, MA, USA, 16 July 2015. [Google Scholar]
- Lei, Z.F.; Guo, H.X.; Tang, M.H.; Zeng, C.; Zhang, Z.G.; Chen, H.; En, Y.F.; Huang, Y.; Chen, Y.Q.; Peng, C. Degradation mechanisms of AlGaN/GaN HEMTs under 800 MeV Bi ions irradiation. Microelectron. Reliab. 2018, 80, 312–316. [Google Scholar] [CrossRef]
- Ziegler, J.F.; Biersack, J.P. The stopping and range of ions in solids vol 1: The stopping and ranges of ions in matter. Ion Implant. Sci. Technol. 1985, 10, 51–108. [Google Scholar]
- Ziwen, C. Study on the Irradiation Induced Damage of SiC Power VMOSFETs Devices. Ph.D. Thesis, Xiangtan University, Xiangtan, China, 2021. [Google Scholar] [CrossRef]
- Bolotnikov, A.; Losee, P.; Permuy, A.; Dunne, G.; Kennerly, S.; Rowden, B.; Nasadoski, J.; Harfman-Todorovic, M.; Raju, R.; Tao, F.; et al. Overview of 1.2–2.2kV SiC MOSFETs targeted for industrial power conversion applications. In Proceedings of the 2015 IEEE Applied Power Electronics Conference and Exposition (APEC), Charlotte, NC, USA, 15–19 March 2015. [Google Scholar]
- Schwank, J.R.; Shaneyfelt, M.R.; Fleetwood, D.M.; Felix, J.A.; Dodd, P.E.; Paillet, P.; Ferlet-Cavrois, V. Radiation Effects in MOS Oxides. IEEE Trans. Nucl. Sci. 2008, 55, 1833–1853. [Google Scholar] [CrossRef]
- Sexton, F.W.; Fleetwood, D.M.; Shaneyfelt, M.R.; Dodd, P.E.; Hash, G.L.; Schanwald, L.P.; Loemker, R.A.; Krisch, K.S.; Green, M.L.; Weir, B.E.; et al. Precursor ion damage and angular dependence of single event gate rupture in thin oxides. IEEE Trans. Nucl. Sci. 1998, 45, 2509–2518. [Google Scholar] [CrossRef]
- Massengill, L.W.; Choi, B.K.; Fleetwood, D.M.; Schrimpf, R.D.; Galloway, K.F.; Shaneyfelt, M.R.; Meisenheimer, T.L.; Dodd, P.E.; Schwank, J.R.; Lee, Y.M.; et al. Heavy-ion induced breakdown in ultra-thin gate oxides and high-k dielectrics. IEEE Trans. Nucl. Sci. 2001, 48, 1904–1912. [Google Scholar] [CrossRef]
- Johnston, A.H.; Swift, G.M.; Miyahira, T.; Edmonds, L.D. Breakdown of gate oxides during irradiation with heavy ions. IEEE Trans. Nucl. Sci. 1998, 45, 2500–2508. [Google Scholar] [CrossRef]
- Conley, J.F.; Suehle, J.S.; Johnston, A.H.; Wang, B.; Miyahara, T.; Vogel, E.M.; Bernstein, J.B. Heavy-ion induced soft breakdown of thin gate oxides. IEEE Trans. Nucl. Sci. 2001, 48, 1913–1916. [Google Scholar] [CrossRef]
- Ceschia, M.; Paccagnella, A.; Sandrin, S.; Ghidini, G.; Wyss, J.; Lavale, M.; Flament, O. Low field leakage current and soft breakdown in ultra thin gate oxides after heavy ions, electrons, or X-ray irradiation. IEEE Trans. Nucl. Sci. 2000, 47, 566–573. [Google Scholar] [CrossRef]
- Nichols, D.K.; Coss, J.R.; McCarty, K.P. Single-event gate rupture in commercial power MOSFET’s. In Proceedings of the RADECS 93: Second European Conference on Radiation and Its Effects on Components and Systems, Saint Malo, France, 13–16 September 1993; p. 462467. [Google Scholar]
- Busch, M.C.; Dooryhee, E.; Slaouri, A.; Toulemonde, M.; Mesli, A.; Siffert, P. Heavy ions induced electrical and structural defects in thermal SiO2 films. In Proceedings of the RADECS ’91, First European Conference Radiation and Its Effects on Components and Systems, La Grande-Motte, France, 9–12 September 1991; p. 484488. [Google Scholar]
- Titus, J.L.; Wheatley, C.F. Experimental studies of single-event gate rupture and burnout in vertical power MOSFETs. IEEE Trans. Nucl. Sci. 1996, 43, 533–545. [Google Scholar] [CrossRef]










Disclaimer/Publisher’s Note: The statements, opinions and data contained in all publications are solely those of the individual author(s) and contributor(s) and not of MDPI and/or the editor(s). MDPI and/or the editor(s) disclaim responsibility for any injury to people or property resulting from any ideas, methods, instructions or products referred to in the content. |
© 2023 by the authors. Licensee MDPI, Basel, Switzerland. This article is an open access article distributed under the terms and conditions of the Creative Commons Attribution (CC BY) license (https://creativecommons.org/licenses/by/4.0/).
Share and Cite
Xiang, Y.; Liang, X.; Feng, J.; Feng, H.; Zhang, D.; Wei, Y.; Yu, X.; Guo, Q. Refined Analysis of Leakage Current in SiC Power Metal Oxide Semiconductor Field Effect Transistors after Heavy Ion Irradiation. Electronics 2023, 12, 4349. https://doi.org/10.3390/electronics12204349
Xiang Y, Liang X, Feng J, Feng H, Zhang D, Wei Y, Yu X, Guo Q. Refined Analysis of Leakage Current in SiC Power Metal Oxide Semiconductor Field Effect Transistors after Heavy Ion Irradiation. Electronics. 2023; 12(20):4349. https://doi.org/10.3390/electronics12204349
Chicago/Turabian StyleXiang, Yutang, Xiaowen Liang, Jie Feng, Haonan Feng, Dan Zhang, Ying Wei, Xuefeng Yu, and Qi Guo. 2023. "Refined Analysis of Leakage Current in SiC Power Metal Oxide Semiconductor Field Effect Transistors after Heavy Ion Irradiation" Electronics 12, no. 20: 4349. https://doi.org/10.3390/electronics12204349
APA StyleXiang, Y., Liang, X., Feng, J., Feng, H., Zhang, D., Wei, Y., Yu, X., & Guo, Q. (2023). Refined Analysis of Leakage Current in SiC Power Metal Oxide Semiconductor Field Effect Transistors after Heavy Ion Irradiation. Electronics, 12(20), 4349. https://doi.org/10.3390/electronics12204349

