Neurofuzzy Data Aggregation in a Multisensory System for Self-Driving Car Steering
Abstract
1. Introduction
2. Materials and Methods
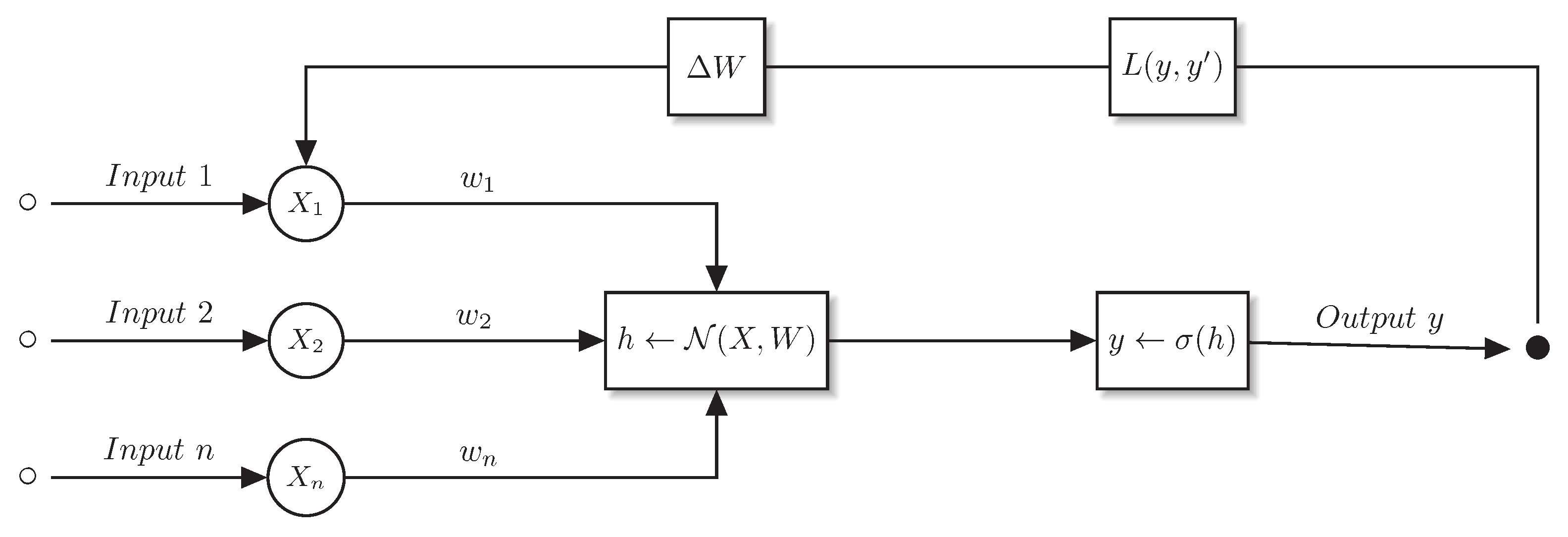
2.1. General Neural Layer Formulation
2.2. Neurofuzzy Layer Formulation
| Algorithm 1 Neurofuzzy training |
Require:
Ensure: y 1: 2: 3: 4: while converge do 5: for to do 6: 7: 8: 9: 10: end for 11: 12: 13: 14: 15: 16: end while return y |
2.3. Self-Driving Model
3. Experimental Results
3.1. Metrics
3.2. Experiment 1: ROS Self-Driving Simulation
3.3. Experiment 2: Scale Prototype Steering Control
4. Conclusions
Author Contributions
Funding
Institutional Review Board Statement
Informed Consent Statement
Data Availability Statement
Acknowledgments
Conflicts of Interest
References
- Xu, X.; Zhang, L.; Yang, J.; Cao, C.; Wang, W.; Ran, Y.; Tan, Z.; Luo, M. A Review of Multi-Sensor Fusion SLAM Systems Based on 3D LIDAR. Remote Sens. 2022, 14, 2835. [Google Scholar] [CrossRef]
- Schinkel, W.; van der Sande, T.; Nijmeijer, H. State estimation for cooperative lateral vehicle following using vehicle-to-vehicle communication. Electronics 2021, 10, 651. [Google Scholar] [CrossRef]
- Yan, Y.; Zhang, B.; Zhou, J.; Zhang, Y.; Liu, X. Real-Time Localization and Mapping Utilizing Multi-Sensor Fusion and Visual–IMU–Wheel Odometry for Agricultural Robots in Unstructured, Dynamic and GPS-Denied Greenhouse Environments. Agronomy 2022, 12, 1740. [Google Scholar] [CrossRef]
- Badue, C.; Guidolini, R.; Carneiro, R.V.; Azevedo, P.; Cardoso, V.B.; Forechi, A.; Jesus, L.; Berriel, R.; Paixao, T.M.; Mutz, F.; et al. Self-driving cars: A survey. Expert Syst. Appl. 2021, 165, 113816. [Google Scholar] [CrossRef]
- Nguyen, A.T.; Rath, J.; Guerra, T.M.; Palhares, R.; Zhang, H. Robust set-invariance based fuzzy output tracking control for vehicle autonomous driving under uncertain lateral forces and steering constraints. IEEE Trans. Intell. Transp. Syst. 2020, 22, 5849–5860. [Google Scholar] [CrossRef]
- Chen, L.; Hu, X.; Tang, B.; Cheng, Y. Conditional DQN-based motion planning with fuzzy logic for autonomous driving. IEEE Trans. Intell. Transp. Syst. 2020, 23, 2966–2977. [Google Scholar] [CrossRef]
- Lazcano, A.M.R.; Niu, T.; Akutain, X.C.; Cole, D.; Shyrokau, B. MPC-based haptic shared steering system: A driver modeling approach for symbiotic driving. IEEE/ASME Trans. Mechatronics 2021, 26, 1201–1211. [Google Scholar] [CrossRef]
- Liang, Y.; Yin, Z.; Nie, L. Shared steering control for lane keeping and obstacle avoidance based on multi-objective MPC. Sensors 2021, 21, 4671. [Google Scholar] [CrossRef]
- Awad, N.; Lasheen, A.; Elnaggar, M.; Kamel, A. Model predictive control with fuzzy logic switching for path tracking of autonomous vehicles. ISA Trans. 2022, 129, 193–205. [Google Scholar] [CrossRef]
- Alhussan, A.A.; Khafaga, D.S.; El-Kenawy, E.S.M.; Ibrahim, A.; Eid, M.M.; Abdelhamid, A.A. Pothole and Plain Road Classification Using Adaptive Mutation Dipper Throated Optimization and Transfer Learning for Self Driving Cars. IEEE Access 2022, 10, 84188–84211. [Google Scholar] [CrossRef]
- Sumanth, U.; Punn, N.S.; Sonbhadra, S.K.; Agarwal, S. Enhanced Behavioral Cloning-Based Self-driving Car Using Transfer Learning. In Data Management, Analytics and Innovation; Springer: Berlin/Heidelberg, Germany, 2022; pp. 185–198. [Google Scholar]
- Sharma, S.; Ball, J.E.; Tang, B.; Carruth, D.W.; Doude, M.; Islam, M.A. Semantic segmentation with transfer learning for off-road autonomous driving. Sensors 2019, 19, 2577. [Google Scholar] [CrossRef] [PubMed]
- García Cuenca, L.; Puertas, E.; Fernandez Andrés, J.; Aliane, N. Autonomous driving in roundabout maneuvers using reinforcement learning with Q-learning. Electronics 2019, 8, 1536. [Google Scholar] [CrossRef]
- Chopra, R.; Roy, S.S. End-to-end reinforcement learning for self-driving car. In Advanced Computing and Intelligent Engineering; Springer: Berlin/Heidelberg, Germany, 2020; pp. 53–61. [Google Scholar]
- Nagasai, L.; Sriprasath, V.; SajithVariyar, V.; Sowmya, V.; Aniketh, K.; Sarath, T.; Soman, K. Electric Vehicle Steering Design and Automated Control Using CNN and Reinforcement Learning. In Soft Computing and Signal Processing; Springer: Berlin/Heidelberg, Germany, 2021; pp. 513–523. [Google Scholar]
- Liang, X.; Liu, Y.; Chen, T.; Liu, M.; Yang, Q. Federated transfer reinforcement learning for autonomous driving. In Federated and Transfer Learning; Springer: Berlin/Heidelberg, Germany, 2023; pp. 357–371. [Google Scholar]
- de Morais, G.A.; Marcos, L.B.; Bueno, J.N.A.; de Resende, N.F.; Terra, M.H.; Grassi, V., Jr. Vision-based robust control framework based on deep reinforcement learning applied to autonomous ground vehicles. Control Eng. Pract. 2020, 104, 104630. [Google Scholar] [CrossRef]
- Cai, P.; Wang, H.; Huang, H.; Liu, Y.; Liu, M. Vision-based autonomous car racing using deep imitative reinforcement learning. IEEE Robot. Autom. Lett. 2021, 6, 7262–7269. [Google Scholar] [CrossRef]
- Lin, H.Y.; Dai, J.M.; Wu, L.T.; Chen, L.Q. A vision-based driver assistance system with forward collision and overtaking detection. Sensors 2020, 20, 5139. [Google Scholar] [CrossRef] [PubMed]
- Dewangan, D.K.; Sahu, S.P.; Sairam, B.; Agrawal, A. VLDNet: Vision-based lane region detection network for intelligent vehicle system using semantic segmentation. Computing 2021, 103, 2867–2892. [Google Scholar] [CrossRef]
- Kocić, J.; Jovičić, N.; Drndarević, V. An end-to-end deep neural network for autonomous driving designed for embedded automotive platforms. Sensors 2019, 19, 2064. [Google Scholar] [CrossRef]
- Boloor, A.; Garimella, K.; He, X.; Gill, C.; Vorobeychik, Y.; Zhang, X. Attacking vision-based perception in end-to-end autonomous driving models. J. Syst. Archit. 2020, 110, 101766. [Google Scholar] [CrossRef]
- Lee, D.H.; Liu, J.L. End-to-end deep learning of lane detection and path prediction for real-time autonomous driving. Signal Image Video Process. 2022, 1–7. [Google Scholar] [CrossRef]
- Kim, C.J.; Lee, M.J.; Hwang, K.H.; Ha, Y.G. End-to-end deep learning-based autonomous driving control for high-speed environment. J. Supercomput. 2022, 78, 1961–1982. [Google Scholar] [CrossRef]
- Kortli, Y.; Gabsi, S.; Voon, L.F.L.Y.; Jridi, M.; Merzougui, M.; Atri, M. Deep embedded hybrid CNN–LSTM network for lane detection on NVIDIA Jetson Xavier NX. Knowl.-Based Syst. 2022, 240, 107941. [Google Scholar] [CrossRef]
- Elgharbawy, M.; Schwarzhaupt, A.; Frey, M.; Gauterin, F. A real-time multisensor fusion verification framework for advanced driver assistance systems. Transp. Res. Part F Traffic Psychol. Behav. 2019, 61, 259–267. [Google Scholar] [CrossRef]
- Chiang, K.W.; Tsai, G.J.; Li, Y.H.; Li, Y.; El-Sheimy, N. Navigation engine design for automated driving using INS/GNSS/3D LiDAR-SLAM and integrity assessment. Remote Sens. 2020, 12, 1564. [Google Scholar] [CrossRef]
- Han, J.H.; Park, C.H.; Kwon, J.H.; Lee, J.; Kim, T.S.; Jang, Y.Y. Performance evaluation of autonomous driving control algorithm for a crawler-type agricultural vehicle based on low-cost multi-sensor fusion positioning. Appl. Sci. 2020, 10, 4667. [Google Scholar] [CrossRef]
- Bocu, R.; Bocu, D.; Iavich, M. Objects Detection Using Sensors Data Fusion in Autonomous Driving Scenarios. Electronics 2021, 10, 2903. [Google Scholar] [CrossRef]
- Xu, J.; Liang, Z. Multiview Fusion 3D Target Information Perception Model in Nighttime Unmanned Intelligent Vehicles. J. Funct. Spaces 2022, 2022, 9295395. [Google Scholar] [CrossRef]
- Bonnard, J.; Abdelouahab, K.; Pelcat, M.; Berry, F. On building a CNN-based multi-view smart camera for real-time object detection. Microprocess. Microsyst. 2020, 77, 103177. [Google Scholar] [CrossRef]
- Deng, J.; Zhou, W.; Zhang, Y.; Li, H. From multi-view to hollow-3D: Hallucinated hollow-3D R-CNN for 3D object detection. IEEE Trans. Circuits Syst. Video Technol. 2021, 31, 4722–4734. [Google Scholar] [CrossRef]
- Xiong, H.; Liu, H.; Ma, J.; Pan, Y.; Zhang, R. An NN-based double parallel longitudinal and lateral driving strategy for self-driving transport vehicles in structured road scenarios. Sustainability 2021, 13, 4531. [Google Scholar] [CrossRef]
- Huang, Z.; Lv, C.; Xing, Y.; Wu, J. Multi-modal sensor fusion-based deep neural network for end-to-end autonomous driving with scene understanding. IEEE Sens. J. 2020, 21, 11781–11790. [Google Scholar] [CrossRef]
- Liu, Y.; Han, C.; Zhang, L.; Gao, X. Pedestrian detection with multi-view convolution fusion algorithm. Entropy 2022, 24, 165. [Google Scholar] [CrossRef] [PubMed]
- Almalioglu, Y.; Turan, M.; Trigoni, N.; Markham, A. Deep learning-based robust positioning for all-weather autonomous driving. Nat. Mach. Intell. 2022, 4, 749–760. [Google Scholar] [CrossRef]
- Xiao, Y.; Codevilla, F.; Gurram, A.; Urfalioglu, O.; López, A.M. Multimodal end-to-end autonomous driving. IEEE Trans. Intell. Transp. Syst. 2020, 23, 537–547. [Google Scholar] [CrossRef]
- Roszyk, K.; Nowicki, M.R.; Skrzypczyński, P. Adopting the YOLOv4 Architecture for Low-Latency Multispectral Pedestrian Detection in Autonomous Driving. Sensors 2022, 22, 1082. [Google Scholar] [CrossRef]
- Luna-Alvarez, A.; Mújica-Vargas, D.; Matuz-Cruz, M.; Kinani, J.M.V.; Ramos-Díaz, E. Self-driving through a Time-distributed Convolutional Recurrent Neural Network. In Proceedings of the 2020 17th International Conference on Electrical Engineering, Computing Science and Automatic Control (CCE), Mexico City, Mexico, 11–13 November 2020; pp. 1–6. [Google Scholar]
- Howard, A.G.; Zhu, M.; Chen, B.; Kalenichenko, D.; Wang, W.; Weyand, T.; Andreetto, M.; Adam, H. Mobilenets: Efficient convolutional neural networks for mobile vision applications. arXiv 2017, arXiv:1704.04861. [Google Scholar]
- Bojarski, M.; Yeres, P.; Choromanska, A.; Choromanski, K.; Firner, B.; Jackel, L.; Muller, U. Explaining how a deep neural network trained with end-to-end learning steers a car. arXiv 2017, arXiv:1704.07911. [Google Scholar]
- Mújica-Vargas, D.; Luna-Álvarez, A.; de Jesús Rubio, J.; Carvajal-Gámez, B. Noise gradient strategy for an enhanced hybrid convolutional-recurrent deep network to control a self-driving vehicle. Appl. Soft Comput. 2020, 92, 106258. [Google Scholar] [CrossRef]
- Subedi, S. AI in Robotics: Implementing Donkey Car. 2020. Available online: https://red.library.usd.edu/idea/81 (accessed on 28 November 2022).












| Method | MSE | Cosine Distance | Behavior | Path Smoothness | Autonomy | AAT |
|---|---|---|---|---|---|---|
| Pilotnet | 0.106 | 0.221, −0.076 | 0.030 | 0.682 | ||
| Donkeycar | 0.385 | 0.380, −0.510 | 0.236 | 1.826 | ||
| MADT | 0.077 | 0.112, −0.014 | 0.024 | 0.442 | ||
| Proposed | 0.021 | 0.011, −0.044 | 0.003 | 0.256 |
| Method | MSE | Cosine Distance | Behavior | Path Smoothness | Autonomy | AAT |
|---|---|---|---|---|---|---|
| Pilotnet | 0.185 | 0.171, −0.441 | 0.051 | 1.216 | ||
| Donkeycar | 0.205 | 0.322, −0.571 | 0.087 | 2.948 | ||
| MADT | 0.106 | 0.132, −0.100 | 0.030 | 0.834 | ||
| Proposed | 0.081 | 0.148, −0.075 | 0.027 | 0.598 |
Disclaimer/Publisher’s Note: The statements, opinions and data contained in all publications are solely those of the individual author(s) and contributor(s) and not of MDPI and/or the editor(s). MDPI and/or the editor(s) disclaim responsibility for any injury to people or property resulting from any ideas, methods, instructions or products referred to in the content. |
© 2023 by the authors. Licensee MDPI, Basel, Switzerland. This article is an open access article distributed under the terms and conditions of the Creative Commons Attribution (CC BY) license (https://creativecommons.org/licenses/by/4.0/).
Share and Cite
Luna-Álvarez, A.; Mújica-Vargas, D.; Rendón-Castro, A.; Matuz-Cruz, M.; Kinani, J.M.V. Neurofuzzy Data Aggregation in a Multisensory System for Self-Driving Car Steering. Electronics 2023, 12, 314. https://doi.org/10.3390/electronics12020314
Luna-Álvarez A, Mújica-Vargas D, Rendón-Castro A, Matuz-Cruz M, Kinani JMV. Neurofuzzy Data Aggregation in a Multisensory System for Self-Driving Car Steering. Electronics. 2023; 12(2):314. https://doi.org/10.3390/electronics12020314
Chicago/Turabian StyleLuna-Álvarez, Antonio, Dante Mújica-Vargas, Arturo Rendón-Castro, Manuel Matuz-Cruz, and Jean Marie Vianney Kinani. 2023. "Neurofuzzy Data Aggregation in a Multisensory System for Self-Driving Car Steering" Electronics 12, no. 2: 314. https://doi.org/10.3390/electronics12020314
APA StyleLuna-Álvarez, A., Mújica-Vargas, D., Rendón-Castro, A., Matuz-Cruz, M., & Kinani, J. M. V. (2023). Neurofuzzy Data Aggregation in a Multisensory System for Self-Driving Car Steering. Electronics, 12(2), 314. https://doi.org/10.3390/electronics12020314

