Adaptive-Mode PAPR Reduction Algorithm for Optical OFDM Systems Leveraging Lexicographical Permutations
Abstract
1. Introduction
2. Background
2.1. The PAPR Problem
2.2. Lexicographical Symbol Position Permutation
| Algorithm 1 An algorithm for generating random lexicographical permutations |
|
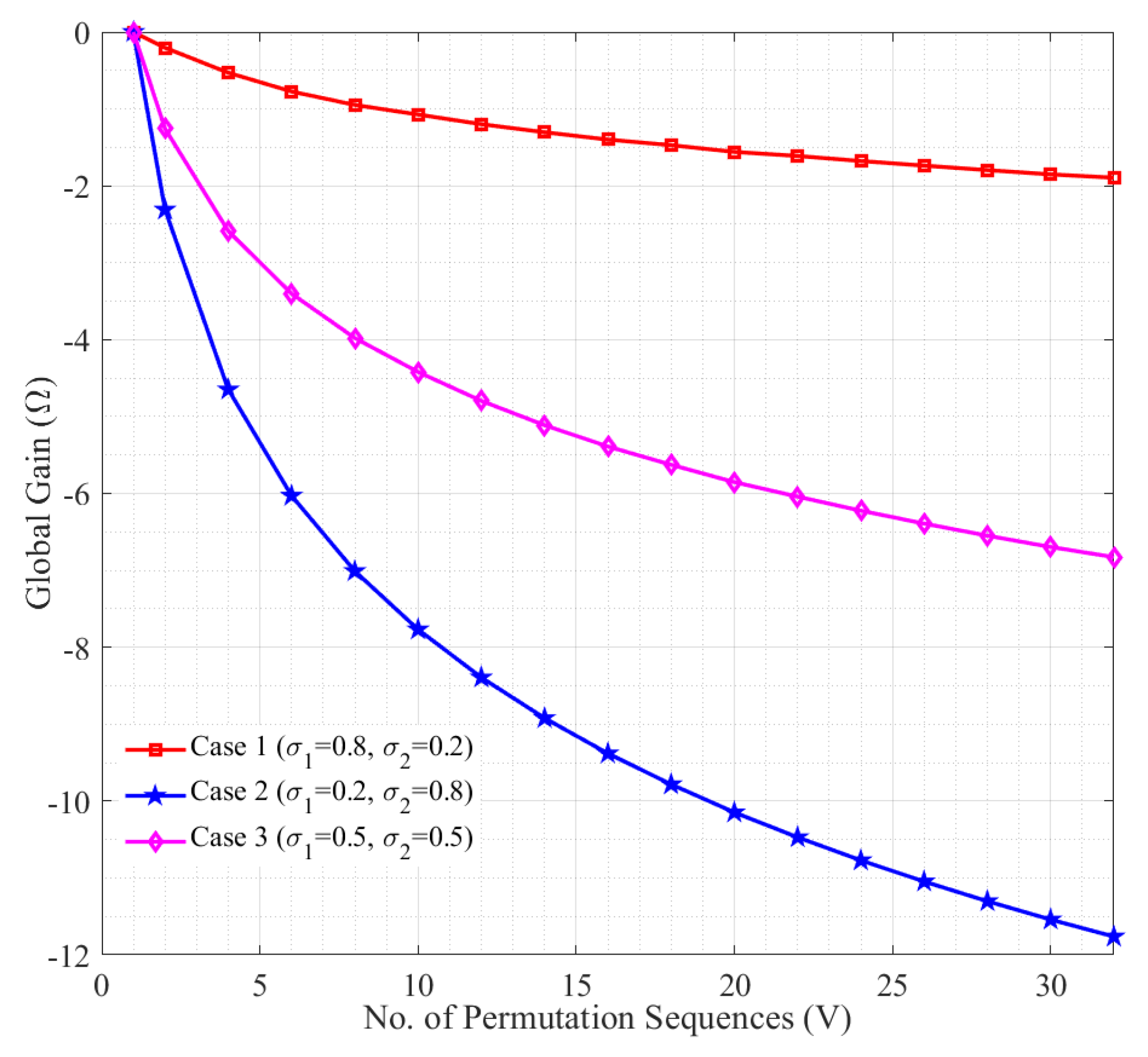
2.3. Global Gain
3. Adjacent and Interleaved Lexicographical Permutation Sequences
| Algorithm 2 An algorithm to generate interleaved and adjacent lexicographical permutations |
|
3.1. Impact of the Number of Sub-Blocks on PAPR Reduction with Random LSPP
3.2. The Most Suitable Number of Candidate Permutation Sequences
4. Results and Discussion
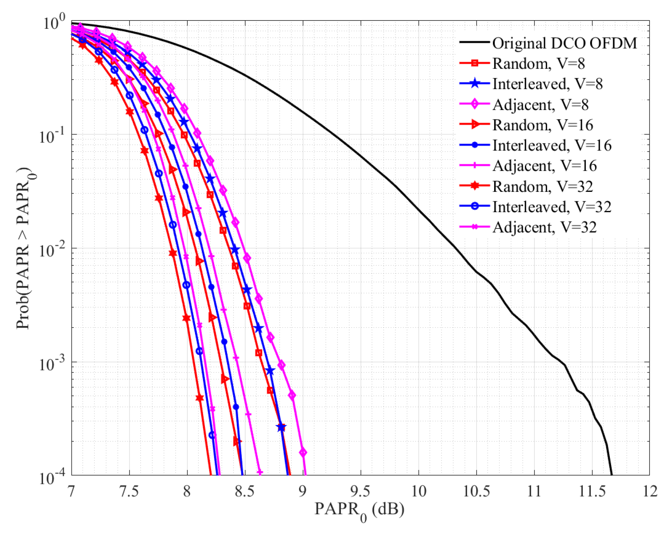
4.1. Performance of Lexicographical Symbol Position Permutation Categories
4.2. The Most Suitable Number of Candidate Permutation Sequences to Avoid Increase in Computational Complexity
5. Conclusions
Author Contributions
Funding
Conflicts of Interest
References
- Chi, N.; Zhou, Y.; Wei, Y.; Hu, F. Visible Light Communication in 6G: Advances, Challenges, and Prospects. IEEE Veh. Technol. Mag. 2020, 15, 93–102. [Google Scholar] [CrossRef]
- Rehman, S.U.; Ullah, S.; Chong, P.H.J.; Yongchareon, S.; Komosny, D. Visible light communication: A system perspective—Overview and challenges. Sensors 2019, 19, 1153. [Google Scholar] [CrossRef] [PubMed]
- Arai, S.; Kinoshita, M.; Yamazato, T. Optical wireless communication: A candidate 6G technology? IEICE Trans. Fundam. Electron. Commun. Comput. Sci. 2021, 104, 227–234. [Google Scholar] [CrossRef]
- Geng, Z.; Khan, F.N.; Guan, X.; Dong, Y. Advances in Visible Light Communication Technologies and Applications. In Photonics; Multidisciplinary Digital Publishing Institute: Basel, Switzerland, 2022; Volume 9, p. 893. [Google Scholar]
- Qin, B.; Wen, W.; Liu, M.; Zhang, Y.; Chen, C. Indoor MIMO-VLC Using Angle Diversity Transmitters. Sensors 2022, 22, 5436. [Google Scholar] [CrossRef] [PubMed]
- Zakavi, M.J.; Nezamalhosseini, S.A.; Chen, L.R. Multiuser Massive MIMO-OFDM for Visible Light Communication Systems. IEEE Access 2023, 11, 2259–2273. [Google Scholar] [CrossRef]
- Kahn, J.M.; Barry, J.R. Wireless infrared communications. Proc. IEEE 1997, 85, 265–298. [Google Scholar] [CrossRef]
- Dissanayake, S.D.; Armstrong, J. Comparison of ACO-OFDM, DCO-OFDM and ADO-OFDM in IM/DD Systems. J. Light. Technol. 2013, 31, 1063–1072. [Google Scholar] [CrossRef]
- Miao, P.; Chen, P.; Chen, Z. Low-complexity PAPR reduction scheme combining multi-band Hadamard precoding and clipping in OFDM-based optical communications. Electronics 2018, 7, 11. [Google Scholar] [CrossRef]
- Wang, J.; Xu, Y.; Ling, X.; Zhang, R.; Ding, Z.; Zhao, C. PAPR analysis for OFDM visible light communication. Opt. Express 2016, 24, 27457–27474. [Google Scholar] [CrossRef] [PubMed]
- Popoola, W.O.; Ghassemlooy, Z.; Stewart, B.G. Pilot-assisted PAPR reduction technique for optical OFDM communication systems. J. Light. Technol. 2014, 32, 1374–1382. [Google Scholar] [CrossRef]
- Hu, W.W.; Lee, D.H. PAPR reduction for visible light communication systems without side information. IEEE Photonics J. 2017, 9, 1–11. [Google Scholar] [CrossRef]
- Gunturu, C.; Valluri, S. A new complexity reduction scheme in selective mapping-based visible light communication direct current-biased optical orthogonal frequency division multiplexing systems. IET Optoelectron. 2022, 16, 207–217. [Google Scholar] [CrossRef]
- Carcangiu, S.; Fanni, A.; Montisci, A. A Closed Form Selected Mapping Algorithm for PAPR Reduction in OFDM Multicarrier Transmission. Energies 2022, 15, 1938. [Google Scholar] [CrossRef]
- Valluri, S.P.; Kishore, V.; Vakamulla, V.M. A New Selective Mapping Scheme for Visible Light Systems. IEEE Access 2020, 8, 18087–18096. [Google Scholar] [CrossRef]
- Niwareeba, R.; Cox, M.A.; Cheng, L. Low complexity hybrid SLM for PAPR mitigation for ACO OFDM. ICT Express 2022, 8, 72–76. [Google Scholar] [CrossRef]
- Niwareeba, R. Mitigation of the high PAPR in Optical OFDM systems using Symbol Position Permutation. In Proceedings of the 2021 IEEE International Mediterranean Conference on Communications and Networking (MeditCom), Athens, Greece, 7–10 September 2021; pp. 372–377. [Google Scholar]
- Niwareeba, R.; Cox, M.A.; Cheng, L. PAPR reduction in optical OFDM using lexicographical permutations with low complexity. IEEE Access 2021, 10, 1706–1713. [Google Scholar] [CrossRef]
- Tsiropoulou, E.E.; Gialagkolidis, I.; Vamvakas, P.; Papavassiliou, S. Resource allocation in visible light communication networks: NOMA vs. OFDMA transmission techniques. In Ad-hoc, Mobile, and Wireless Networks, Proceedings of the 15th International Conference, ADHOC-NOW 2016, Lille, France, 4–6 July 2016; Springer: Berlin/Heidelberg, Germany, 2016; pp. 32–46. [Google Scholar]
- Rajbanshi, R. OFDM-Based Cognitive Radio for DSA Networks. Ph.D. Thesis, University of Kansas, Lawrence, KS, USA, 2007. [Google Scholar]
- Tellado-Mourelo, J. Peak to Average Power Reduction for Multicarrier Modulation. Ph.D. Thesis, Stanford University, Stanford, CA, USA, 1999. [Google Scholar]
- Sun, Y.; Yang, F.; Cheng, L. An overview of OFDM-based visible light communication systems from the perspective of energy efficiency versus spectral efficiency. IEEE Access 2018, 6, 60824–60833. [Google Scholar] [CrossRef]
- Armstrong, J.; Schmidt, B.J. Comparison of asymmetrically clipped optical OFDM and DC-biased optical OFDM in AWGN. IEEE Commun. Lett. 2008, 12, 343–345. [Google Scholar] [CrossRef]
- Ghassemlooy, Z.; Popoola, W.; Rajbhandari, S. Optical Wireless Communications: System and Channel Modelling with Matlab®; CRC Press: Boca Raton, FL, USA, 2019. [Google Scholar]
- Sandoval, F.; Poitau, G.; Gagnon, F. Hybrid peak-to-average power ratio reduction techniques: Review and performance comparison. IEEE Access 2017, 5, 27145–27161. [Google Scholar] [CrossRef]







| Simulation Parameter | Value |
|---|---|
| Modulation scheme | 16-QAM |
| Number of sub-carriers | |
| Number of data blocks | |
| Number of candidate sequences | |
| Number of sub-blocks | |
| Over-sampling factor | |
| V | PAPR (dB) | Complexity | Global Gain, (dB) | ||
|---|---|---|---|---|---|
| Case 1 | Case 2 | Case 3 | |||
| 2 | 9.90 | 1024 | |||
| 4 | 9.14 | 2048 | |||
| 8 | 8.67 | 4096 | |||
| 16 | 8.30 | 8192 | |||
| 32 | 8.05 | 16,384 | |||
Disclaimer/Publisher’s Note: The statements, opinions and data contained in all publications are solely those of the individual author(s) and contributor(s) and not of MDPI and/or the editor(s). MDPI and/or the editor(s) disclaim responsibility for any injury to people or property resulting from any ideas, methods, instructions or products referred to in the content. |
© 2023 by the authors. Licensee MDPI, Basel, Switzerland. This article is an open access article distributed under the terms and conditions of the Creative Commons Attribution (CC BY) license (https://creativecommons.org/licenses/by/4.0/).
Share and Cite
Niwareeba, R.; Cox, M.A.; Cheng, L. Adaptive-Mode PAPR Reduction Algorithm for Optical OFDM Systems Leveraging Lexicographical Permutations. Electronics 2023, 12, 2797. https://doi.org/10.3390/electronics12132797
Niwareeba R, Cox MA, Cheng L. Adaptive-Mode PAPR Reduction Algorithm for Optical OFDM Systems Leveraging Lexicographical Permutations. Electronics. 2023; 12(13):2797. https://doi.org/10.3390/electronics12132797
Chicago/Turabian StyleNiwareeba, Roland, Mitchell A. Cox, and Ling Cheng. 2023. "Adaptive-Mode PAPR Reduction Algorithm for Optical OFDM Systems Leveraging Lexicographical Permutations" Electronics 12, no. 13: 2797. https://doi.org/10.3390/electronics12132797
APA StyleNiwareeba, R., Cox, M. A., & Cheng, L. (2023). Adaptive-Mode PAPR Reduction Algorithm for Optical OFDM Systems Leveraging Lexicographical Permutations. Electronics, 12(13), 2797. https://doi.org/10.3390/electronics12132797

