Abstract
This paper addresses the challenges associated with steering-angle control of electric power steering for autonomous vehicles, including steering model parameter uncertainty, dependency of self-aligning moment disturbance estimation on tire parameters, and compensation for the asymmetrical hysteresis behavior in the steering system caused by backlash in gears and static friction. A variable gain-sliding mode steering-angle controller is developed to deal with these challenges. Replacing the fixed gain with variable gain in the sliding mode controller solves two problems: it eliminates chattering, and it allows for automatic gain adjustment based on the maneuver and the size of the error, which eliminates the need for gain scheduling. Both fixed and variable gain-sliding mode controllers are derived and compared in simulations to prove the superiority of the variable gain controller. A sliding mode observer is developed to estimate the self-aligning moment disturbance without required information about the tire parameters, which makes it vehicle independent. The observer also treats the static friction as disturbance and estimates it along with any other disturbance, such as driver torque disturbance. The stability of both the controller and the observer is proven using Lyapunov stability theory. Simulation and experimental results proved the robustness of the presented methods to the above challenges.
1. Introduction
Recently, electric power steering (EPS) systems have been used to replace traditional hydraulic power steering (HPS) systems in vehicles for the several advantages they have over HPS systems. EPS systems are more efficient because they do not use power from the engine as HPS systems do. Vehicles with EPS systems come with an electric motor to replace the hydraulic pumps or pistons, which reduces the vehicle’s weight. In addition, EPS systems are superior in improving the vehicle’s steering performance, steering feel, and safety, as well as reducing environmental pollution.
EPS is a key technology for automated driving lateral functions. The built-in steering-control module with an electric motor enables the EPS to support all lateral driver assistance functions in autonomous vehicles, such as evasive steering assist, lane keeping assist, lateral collision avoidance, road departure protection, traffic jam assist, correction of driver maneuver, automated parking, and active steering control for rollover prevention. All these lateral functions plan a trajectory for the vehicle to follow based on the vision sensors (camera, lidar, radar) and the trajectory is controlled by the steering angle. The role of the EPS in the autonomous mode (driverless mode) is different than its role in the nonautonomous mode (manual driving mode). In the autonomous mode, its role is to generate torque to follow the steering angle requested by the lateral driver assistance function and the driver torque is considered as disturbance to be rejected. In the non-autonomous mode, the role of the EPS is to control the motor torque to generate assistant motor torque for the driver and then both the assistant motor torque and the driver torque are added to generate the required torque to turn the wheel. Research on control of EPS in the nonautonomous mode can be found in [1,2,3,4,5,6]. The focus of this paper is on the control of the EPS in the autonomous mode.
As illustrated in Figure 1, the trajectory planning outputs a desired trajectory for the vehicle to follow based on traffic scenarios. The trajectory controller computes the steering angle required to follow the desired trajectory. The Steering Angle Controller (SAC) takes in the desired steering angle to compute the steering torque required to achieve this angle and send it to the EPS, which in turn controls the steering torque to move the wheel. The performance of the steering-angle controller has a significant impact on the performance of the trajectory controller. A fast and smooth steering angle response is required for smooth trajectory control.
Figure 1.
General lateral control block diagram.
One of the greatest challenges faced in steering-angle control of EPS is overcoming the backlash in gears and the stiction (static friction), which both usually appear at the zero angular velocity crossing when we change the steering direction and cause asymmetrical hysteresis behavior in the steering-angle response. Both backlash and stiction result in a dead zone, which can be described as a lack of response of the output (zero output) until the input reaches a certain value. Due to the static friction at the motor shaft in the EPS, rotation will not occur until the torque provided by the motor is sufficiently large, and this results in a dead zone. Backlash occurs in transmission gears when the driving gear rotates in the reverse direction because the driven gear does not move until the contact between the two gears is re-established; this also results in a dead zone. A critical feature of backlash is hysteresis, which leads to energy storage in the system, and that causes instability and selfsustained oscillation. Backlash, stiction, and a dead zone are considered inherent nonlinearities because they naturally come with the system’s hardware and motion. Because of their discontinuous nature, these nonlinearities cannot be locally approximated by linear functions, and for this reason they are also called hard nonlinearities, as outlined in [7]. Such nonlinearities have undesirable effects on the behavior of a control system, such as time delay, instabilities, and limitation of cycles. Because such nonlinearities cannot be handled by linear control methods, strong nonlinear control techniques must be developed to predict the system’s behavior in their presence and compensate for them properly.
The asymmetrical hysteresis behavior in the steering system affects the performance of the lateral trajectory tracking controller by causing inconsistent behavior in left and right curves, e.g., oversteering in one direction and understeering in the other. It also causes inconsistent behavior in left and right lane-changes, e.g., overshoot in one direction and undershoot in the other. One of the solutions to this problem is to tune the steering angle controller differently for positive and negative angles, but this is time consuming and cannot be considered as a systematic solution. Another major problem is the steering-angle sensor offset. Even when the car is going straight, the steering angle sensor reads a nonzero angle value that causes us to center around this value instead of centering around zero; this causes offset of the vehicle from the center of the trajectory, which is difficult to fix if we do not fix the steering-angle sensor offset.
Another challenge is the uncertainty in the EPS system parameters. Usually, the EPS is provided by the manufacturer as a black box, with no model or model parameters. Experimental identification of these parameters might not always result in accurate results, and some of these parameters may vary slowly with time. For this reason, a robust controller that is capable of maintaining consistent behavior under parameter uncertainty is needed. This paper deals with all the challenges discussed above by variable gain Sliding Mode Control (SMC), which is a simple approach to robust control.
A self-aligning moment that results from tire forces resisting the steering motion generates a significant torque that the controller needs to compensate for. It has to be accurately estimated before it is used as input for the controller to compensate. Most of the previous work estimated the aligning moment based on methods that require knowledge of tire parameters, which can vary from one type of tire to another. In other words, changing the type of vehicle tires would require changing the tire parameters in the controller code, which is something that a customer cannot do. Some other methods treat it as a disturbance, but the estimation of this disturbance is embedded in the controller design and does not explicitly estimate the aligning moment. This paper estimates the aligning moment without any knowledge of the tire parameters. It treats it as disturbance, but it is explicitly estimated in a separate observer and then fed to the controller to compensate, which allows us to use this estimate in other steering functions.
Modeling inaccuracies have a significant adverse impact on control systems behavior. As outlined in [7], they can be classified into two major kinds: (1) structured uncertainties, which correspond to inaccuracies in the system parameters, such as inertia, damping, and friction of a mechanical system; (2) unstructured uncertainties, which correspond to unmodeled dynamics and underestimation of a system order. Two major approaches to dealing with model uncertainties are robust control and adaptive control. An important feature of adaptive control is its learning behavior. An adaptive controller improves its behavior as adaptation to uncertainties goes on, while a robust controller simply attempts to keep consistent behavior in the presence of model uncertainties. As outlined in [7], an adaptive controller requires no a priori knowledge about the unknown model parameters, while a robust controller requires a reasonable a priori knowledge about the parameter bounds. This paper focuses on robust control.
As discussed in [7,8], SMC is classified as robust control. The design of sliding-mode control allows an nth-order problem to be replaced by an equivalent first-order problem since it is much easier to control a first-order system than it is to control an nth-order problem. The typical structure of a sliding mode controller consists of a nominal part, which is simply an inverse control law, and an additional discontinuous part whose purpose is to deal with model inaccuracy and disturbances. However, this discontinuous part of the control law leads to undesired system vibrations called chattering. Chattering is acceptable in electrical systems where the control input signal is voltage, but it is undesirable in mechanical systems where the control input is acceleration or torque, in which case it should be eliminated in order to achieve smooth control performance. Higher-order sliding modes can mitigate the chattering effect by confining the switching control to the higher derivatives of the mechanical control variable. The limitation of this approach is that it requires the existence of time derivatives of the sliding variable. This requirement could be a practical limitation in the presence of noise. A common method to treat chattering is to replace the sign function with either a sigmoid function or a saturation function. The sigmoid function does not solve the problem and the saturation function soothes the control law, but at the cost of tracking precession and control bandwidth, which affects the robustness properties of the SMC. This paper treats chattering by variable gain SMC without affecting the robustness properties of the SMC and without limiting the control bandwidth.
Variable gain SMC not only solves the chattering problem; it also has a big role in improving the behavior of trajectory following control because of the variations of the road geometry and driving scenarios. For example, when driving on a straight road or a constant radius curve, a small gain is needed to keep the vehicle on the intended trajectory, but in transitioning maneuver, such as a lane change, a straight road to a sharp curve, or vice versa, higher controller gains are needed to guarantee a fast response. This avoids latency in lane changes and delay in curve entry and curve exit. Evasive maneuvers to avoid collision are critical scenarios that require a very fast response, and hence, higher controller gains.
Researchers investigated the control of Electric Power Steering (EPS) for autonomous vehicles. Fixed-gain SMC was investigated in [9,10,11]. In [10,11], a saturation function to replace the standard signum function was used to reduce chattering, but it was at the cost of the controller bandwidth, and the disturbance estimation was embedded in the controller design and did not explicitly estimate the aligning moment. In [9], the disturbance was estimated using a Kalman Filter. A MPC was designed in [12] for evasive steering maneuvers to consider the voltage constraints of the actuator. The disturbance was estimated using the linear relationship between the lateral forces and the side-slip angle and that only works in the small-slip-angle range (−4 to 4 degrees). This method requires knowledge of the pneumatic trail, which in turn requires knowledge of the tire parameters. In [13,14,15], backstepping control of the EPS angle was investigated. The same control method was used in all of them, but different methods were used to treat the disturbance. A two-degrees-of-freedom model (steering wheel angle and pinion angle) of the EPS was used in [13], which required detailed characterization of the individual components of the EPS, but accurate characterization of the individual components is difficult and the deviation of those parameters from the true value will degrade the control performance. In addition, and as will be discussed in Section 2, one degree of freedom (pinion angle) is sufficient in the autonomous mode and the driver torque applied on the steering wheel is ignored by the autonomous system and treated as a disturbance to be rejected. In [16], a disturbance observer based on an extended state observer and active disturbance rejection controller was designed based on the method proposed in [17] to overcome the weaknesses and limitations of PID control. In [18], a nonsingular terminal SMC was applied for front-wheel steering-angle tracking using a differential-steering moment for the case of steering-motor failure. In [19], a radial basis function neural network PID controller was implemented to generate electric current control signals to the steering motor to track the target steering angle.
The paper is organized as follows: The EPS model is described in Section 2, followed by the sliding-mode observer design in Section 3. Both fixed- and variable-gain SMC are formulated in Section 4. Simulation results are presented in Section 5. The simulation section has two parts; the first part shows the state and disturbance observer results, as well as the observer-based control results, and the second part demonstrates the comparison between fixed and variable gain SMC. Finally, experimental results of the variable gain SMC are demonstrated in in Section 6.
The contributions of this paper can be summarized as follows: (1) Development and implementation of a robust control strategy to control the EPS angle using a variable gain sliding-mode controller. The results of the variable gain SMC, shown in Section 5, part 2, demonstrate significant improvement over those of the fixed-gain SMC. Significant reduction in chattering without affecting the tracking capability or the bandwidth of the controller, as other methods do, can also be seen in the experimental results in Section 6. In addition, the variable-gain approach eliminates the need for gain scheduling because of automatic gain adjustment based on the size of the error. Experimental results proved the capability of the proposed method to overcome the asymmetrical hysteresis behavior in the steering system, and its capability to predict the hard nonlinearities caused by stiction and backlash and compensate for them. (2) Development of a sliding-mode observer to estimate the self-aligning moment disturbance without dependency on the tire parameters which can vary from one type of tire to another. This makes the estimate vehicle independent. In addition, the proposed sliding-mode observer is a modular design, which means that the estimate of the aligning moment is separate from the controller design, so that it is explicitly estimated, as demonstrated clearly by the simulation results presented in Section 5, part 1. This modularity of the design makes it usable by other controllers and steering functions in the vehicle.
2. EPS Model
The experimental results proved that the electric power-steering can be well represented by a one-degree-of-freedom (pinion angle), second-order system in the autonomous driving mode (driverless mode) as explained in [12]. This model allows us to estimate the EPS parameters as lumped parameters instead of individual component parameters, which are difficult to estimate accurately.
The model is given by
where is the state vector, is the pinion angle, is the pinion angular velocity, is the pinion angular acceleration, is the pinion torque, is the aligning moment, is the equivalent moment of inertia, is the equivalent viscous damping, and is the Coulomb friction constant.
A state-space representation is given by:
In this model, the EPS lumped parameters, equivalent moment of inertia , equivalent viscous damping , and Coulomb friction constant are identified by recursive least squares. For the sake of brevity, details of the estimation method are omitted here. The self-aligning moment is considered as disturbance and estimated by a sliding mode observer.
3. Sliding Mode Observer Design for Estimating the Disturbance and the State Vector
Given the model (2) in the previous section, the general state space representation is
where,
We assume are known, but and are unknown, where is the order of the system, and is the dimension of the disturbance vector, and is an unknown term to be estimated.
We would like to estimate the state vector and the aligning moment plus any added disturbance from measuring only the output and input and assume that the unknown input term is bounded. A sliding-mode observer is formulated as [20]:
where is given by:
Additionally, , , and [A, C] is assumed to be an observable pair.
The unknown term is not included in (4); instead, a correction term is added, which is a sliding-mode function to be determined.
- Preliminary Assumptions
- The pair [A, C] is observable, which implies that we can find a matrix L, such that the eigen values of the observability matrix have negative real parts.
- There is a symmetric positive definite matrix and a function such that , where is the unique, positive definite solution to the Lyapunov equation given by .
- There is a positive scalar valued function , such that , and is bounded by some positive constant , .
Theorem 1.
Given system (3) and the observer governed by Equation (4), if assumptions 1–3 are valid, then [20].
Proof.
The error dynamics are given by:
where
is the Hurwitz observer matrix. □
We need to find an to drive the error , then either or , and we claim that s represents the unknown input term .
Step 1: The first step in designing the observer is to choose the observer gains such that the observer matrix, given by:
is a stable matrix. This can be achieved if the characteristic equation of (9), given by , has stable roots. The observer poles were chosen to be and we solved for the observer gains using a pole placement method.
The corresponding observer gains are , and are computed by matching the poles of the characteristic equation with the desired stable poles. The eigenvalues of the resulting observer matrix are, −10.773 and −74.641. Substituting the observer gains and the system parameters in the observer matrix yields .
Step 2: The second step is to choose a positive definite matrix and then solve for P = PT > from the algebraic Lyapunov equation given by:
Expanding (10) results in
Q was chosen to be .
Solving for from (10) results in .
Step 3: The third step is to find the correction factor . The correction factor is found using the Lyapunov stability criterion. A Lyapunov function candidate is defined as a function of the observer error as:
Taking the derivative yields:
Based on Lyapunov stability criterion, if is less than zero then the error will converge to zero. This goal can be achieved if the term always contributes a negative value.
We can find the solution by the supposition that the unknown term can be represented by matrices P and C and a vector function as:
where is bounded by some positive constant .
Additionally, suppose that the sliding-mode variable can be chosen as:
.
Substituting (13) and (14) in (12) yields:
By inspection, . In order to guarantee the negative definiteness of , We ensure is sufficiently large to make sure and compute the sliding-mode correction term as .
Knowing and , we start by guessing at values for and then solve for to satisfy and its bound , and then we choose greater than .
It follows from (8), since , that the expected value of the term is zero and , and the unknown input can be estimated as . In applications, low-pass filtering is used to average the correction term , i.e., .
4. Fixed- and Variable-Gain SMC Derivations
The control objective is to track the steering-angle command with minimum error while compensating for aligning moment caused by road reaction and torque caused by the driver accidently touching the steering wheel. We define the tracking error, defined as the difference between the desired and measured steering angle, as
Taking the derivative,
A sliding function is defined as:
If and then the error will decay to zero exponentially. Our goal is to find a control that makes as .
A Lyapunov function candidate is chosen as:
Taking the derivative of (19) yields:
Taking the derivative of (18) yields:
Therefore,
will be negative definite if:
A control law that can achieve this requirement is:
Substituting (23) in (22) yields,
From (19) and (24), it follows from the Lasalle-Yoshizawa Theorem [21] stated below, that the equilibrium point is globally uniformly asymptotically stable GUAS.
- Lasalle-Yoshizawa Theorem [21]
Let be an equilibrium point of , and suppose is locally Lipschitz in and uniformly in . Let be a continuously differentiable function, such that , where is a continuous function. Then, all solutions of are globally uniformly bounded and satisfy . In addition, if is positive definite then the equilibrium is globally uniformly asymptotically stable GUAS.
- Variable gain case:
For variable gain SMC, we choose to be equal to .
Substituting in (23) and (24) yields, respectively,
The overall gain , depends on the magnitude of as:
as and large value as large value.
When we are too far from the sliding surface, the gain is large, which enables fast convergence to the sliding surface. Once we reach the sliding surface, the gain is very small and just enough to keep us from deviating from the sliding surface, which eliminates chattering and the need for gain look-up tables.
- Fixed gain case:
For fixed gain SMC, we choose to be equal to .
Substituting in (23) and (24) yields, respectively,
As can be seen, the gain is constant and does not depend on the magnitude of , which means we will always have a constant gain regardless of the magnitude of the error, unlike the variable-gain SMC that adjusts its gain automatically based on the magnitude of the error.
In general, and regardless of whether it is fixed- or variable-gain sliding-mode control, is called the reaching phase gain and it is tuned to control the speed of convergence to the sliding surface. is the sliding-phase gain and it is tuned to control steady-state error once we are on the sliding surface.
5. Simulation Results
A steering actuation model developed in [22] was used for simulation.
5.1. Simulation Results of the Sliding Mode Observer and the Observer Based SMC
The first part of the simulations shows the observer results and the variable-gain observer-based SMC performance. To validate the aligning moment estimation, a model that estimates it using Pacejka tire model was used.
In the observer design, we approximated and guessed to be ; we know , and computed ; then we substituted those terms in to solve for as,
; then was chosen to be .
Figure 2a compares the correction term with the estimated disturbance. The correction term is a vector , but we are only interested in because is just an estimate of zero. The estimated disturbance is obtained by averaging the correction term as explained in Section 3. Figure 2b shows the actual aligning moment computed from the model and the estimated aligning moment from the sliding-mode observer. As can be seen from Figure 2b, from 0 to about 20 s, it was only pure aligning moment from the model, and then from 20 s to about 50 s an additional random disturbance was added to the aligning moment to emulate the disturbance torque from the driver. At 50 s the additional disturbance was removed. It can be seen that the observer estimated both the aligning moment and the random disturbance very well; this estimate was sent to the controller to compensate. Figure 2c shows the controller response and its capability to reject the disturbance; excellent tracking was achieved and robustness to disturbances was demonstrated. Figure 2d shows the controller output, which is the pinion torque. The noticed glitches in the torque correspond exactly to the glitches in the aligning moment estimate in Figure 2b at the zero-velocity crossing when we reverse direction due to the rejection of the controller to the disturbances. Figure 2e,f shows the state vector estimation, the pinion angle, and the pinion angular velocity, respectively, which matches very well with the actual measured states from the model.

Figure 2.
(a) Estimated disturbance resulting from low-pass filtering the correction term ; (b) observer-based estimated disturbance resulting from aligning moment and driver torque vs. actual disturbance. Driver torque is only added from 20–50 s; the rest is just pure aligning moment; (c) observer-based variable-gain SMC response with disturbance rejection; (d) observer-based variable gain SMC output; (e) observer-based estimated angle vs. measured angle; (f) observer-based estimated anglular velocity vs. measured angle angular velocity.
5.2. Simulation Results of the Comparison between Fixed and Variable Gain SMCs
To compare the variable gain SMC with the fixed gain SMC, both were tested with the same angle requests (a big angle and a small angle), and their performance was compared. Both the angle response and the control output (torque request) were plotted. Although the fixed gain SMC showed satisfactory results, there was obvious chattering in the control output, which affected the controller response. The variable-gain SMC showed much better and smoother performance due to the significant reduction in the chattering. Figure 3a–d shows the responses of both the fixed- and variable-gain controllers to a square wave or step of small steering angle (30 degrees), and Figure 4a–d shows the responses of both controllers to a square wave or step of large steering angle (200 degrees). In the fixed-gain SMC, two different sets of tuning parameters were needed for the small and big angles. The reaching-phase gain that worked for the small steering-angle request, , was not sufficient for the large steering-angle request and we had to increase it manually to . In the variable-gain SMC, initially the parameters were tuned once and then the controller adjusted the reaching-phase gain automatically for both the small- and large-angle requests to achieve the desired performance without having to change any gains manually, which eliminated the need for gain scheduling.

Figure 3.
(a) Fixed-gain SMC response to a square wave steering angle request of 30 degrees with ; (b) fixed-gain SMC controller output corresponding to the scenario in (a); (c) variable gain SMC response to a square wave steering angle request of 30 degrees with ; (d) fixed-gain SMC controller output corresponding to the scenario in (c).
Figure 4.
(a) Fixed-gain SMC response to a square wave steering angle request of 200 degrees with ; (b) fixed-gain SMC controller output torque corresponding to the scenario in (a); (c) variable-gain SMC response to a square wave steering angle request of 200 degrees amplitude with ; (d) variable-gain SMC controller output corresponding to the scenario in (c).
6. Experimental Results of Variable Gain SMC
Experiments were performed on the proto vehicle to validate the variable gain SMC. The vehicle is equipped with dSPACE AutoBox and EPS to actuate steering. The EPS in the vehicle is designed for autonomous highway driving, and for this reason it has limitations on the torque and torque gradient. It also has active damping on top of the viscous damping inherent in the system to add more stability. These limitations are hardcoded in the EPS software and cannot be changed by the end user. The experimental results show both the angle and the torque controllers’ response. The torque controller closes the loop of the SA controller torque request, but we had no control over its performance since it is a black box from the EPS manufacturer. However, we were able to measure the actual torque and compare it with the SMC torque request to help us analyze the results. A signal generator was used to send steering-angle commands to the SMC, which computes the torque command required to achieve the desired angle and sends it to the torque controller.
Initially the variable-gain SMC controller parameters were tuned to be , then the controller automatically adjusted the reaching phase gain, , based on the magnitude of , which is a function of error and error derivative. This means that the controller automatically adjusts the gain based on the size of the error and the error derivative.
Figure 5 is a response of a steering-angle controller using the PID method just to demonstrate the effect of asymmetrical hysteresis behavior and compare it with the proposed method. As can be seen at the zero-angular-velocity crossing when we reversed the direction, there was no response in the output, which can be seen from the flatness of the output signal. This means that the angle was not changing because we were stuck in the dead zone caused by static friction and backlash, which caused a big delay in the controller response. The effect of the asymmetrical hysteresis behavior is also very obvious because of the inconsistent behavior of the response in the left and right directions. Figure 6a,b shows a response of a steering angle controller using a different control method called sliding control (SC). SC is different from SMC in that it does not have the discontinuous part in the control law. As can be seen from Figure 6a, even though the asymmetrical behavior was improved in the sliding controller response, we can still see the dead zone at the zero-angular-velocity crossing caused by backlash and static friction. Figure 6b is a plot of the steering angle vs. steering torque to demonstrate the hysteresis behavior. The dead zone in Figure 6b, which can be seen by the flatness in the angle response, corresponds to the dead zone at the angular-velocity crossing in figure in Figure 6a.
Figure 5.
Steering-angle controller response with a different control method (PID) to demonstrate the effect of the asymmetrical hysteresis behavior caused by static friction and backlash.

Figure 6.
(a) Steering-angle controller response with a different control method (sliding control); (b) demonstration of the hysteresis caused by backlash and static friction.
Figure 7a,b shows the steering angle and the torque responses, respectively, due to a square-wave steering-angle command of 18 degrees amplitude at about 17.9 mps/40 mph. Because of actuator limitations and delay, there will always be some delay in the angle response in the real vehicle, unlike simulations, which assume a perfect actuator. As can be seen from Figure 7a, the rise time is less than 200 ms, which is very reasonable for a step response. The steady-state angle error is very close to zero, and there is about 20 percent first overshoot. The first overshoot in the step response is system inherent; it is due to the phase lag in the dynamics of the steering counter force. As can be seen from Figure 7b, the torque request was saturated at about 1.5 Nm in the motor torque unit (42 Nm in pinion torque unit), which can also contribute to a delay in the angle response. The small glitch in the middle of the angle transient response in Figure 7a is due to the active damping in the torque controller, as can be seen in the oscillatory behavior of the torque response in Figure 7b. Figure 8a,b shows the response of the same scenario as the previous one at a higher speed, 31.3 mps/70 mph. Because of the limitations of the test track, we could not get a longer recording at this speed
Figure 7.
(a) Variable gain SMC response for a steering-angle square-wave request at 17.9 mps/40 mph; (b) torque-controller response for the square-wave request in (a).
Figure 8.
(a) Variable gain SMC response for a steering-angle square-wave request at 31.3 mps/70 mph; (b) torque response for the square-wave request in (a).
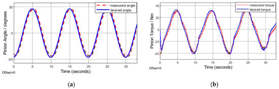
Figure 9a,b shows the response to a sine wave steering-angle request of 40 degrees amplitude at 17.9 mps/40 mph. The delay was only 60 ms, which is due to the torque gradient limits that can be noticed in the torque response in Figure 9b. Figure 10a,b shows the response to a sine wave steering-angle request of nine degrees amplitude at 31.3 mps/70 mph. Usually, it is more challenging to achieve the small-angle request because at small angles, there is not enough torque to overcome friction. It can be noticed that there is some chattering in Figure 10a,b, especially at the zero-angular-velocity crossing, because of the controller trying to overcome friction, but it is very minor and can hardly be felt in the steering wheel. The tracking error was very close to zero and the controller was able to overcome the static friction and the backlash very well when we reversed the direction. It is very important to notice from Figure 9a and Figure 10a that there is no asymmetry in the steering-angle controller response. Looking closely at the desired torque in Figure 9b and Figure 10b, it can be noticed that it is asymmetric to compensate for the asymmetrical behavior in the steering system.
Figure 9.
(a) Variable gain SMC response to a sinusoidal steering-angle request at 17.9 mps/40 mph; (b) torque controller response for the sinusoidal request in (a).
Figure 10.
(a) Variable gain SMC response to a sinusoidal steering angle request at 31 mps/70 mph; (b) torque response for the sinusoidal request in (a).
7. Conclusions
A robust control strategy was developed to control the EPS angle using a variable gain sliding-mode controller. Both variable and fixed-gain SMC laws were derived and compared in simulations. Both simulation and experimental results demonstrated significant reduction in chattering in the variable-gain SMC. Experimental results proved the capability of the proposed method to overcome the asymmetrical hysteresis behavior in the steering system, and its capability to predict the hard nonlinearities caused by stiction and backlash and compensate for them. A sliding-mode observer was developed to estimate the steering-model state vector and self-aligning moment disturbance without prior information about the tire parameters was developed. The observer also treats the static friction as disturbance and estimates it, along with the aligning moment and any other disturbance, such as driver torque, which is supposed to be treated as disturbance in the autonomous mode. The simulation results proved the accuracy of the observer in estimating the disturbance and the state vector.
Author Contributions
Conceptualization, L.K. and M.D.; methodology, L.K. and M.D.; software, L.K.; validation, L.K. and M.D.; formal analysis, L.K. and M.D.; investigation, L.K. and M.D.; resources, L.K. and M.D.; writing—original draft preparation, L.K.; writing—review and editing, M.D. All authors have read and agreed to the published version of the manuscript.
Funding
This research received no external funding.
Conflicts of Interest
The authors declare no conflict of interest.
References
- Wu, J.; Zhang, J.; Tian, Y.; Li, L. A Novel Adaptive Steering Torque Control Approach for Human-Machine-Cooperation Autonomous Vehicles. IEEE Trans. Transp. Electrif. 2021, 56, 900–906. [Google Scholar] [CrossRef]
- Xing, Y.; Lv, C.; Liu, Y.; Zhao, Y.; Cao, D.; Kawahara, S. Hybrid-Learning-Based Driver Steering Intention Prediction using Neuromuscular Dynamics. IEEE Trans. Ind. Electron. 2021, 69, 1750–1761. [Google Scholar] [CrossRef]
- Fujimura, Y.; Hashimoto, S.; Banjerdpongchai, D. Design of Model Predictive Control with Nonlinear Disturbance Observer for Electric Power Steering System. In Proceedings of the SICE International Symposium on Control Systems (SICE ISCS), Kumamoto, Japan, 7–9 March 2019; pp. 49–56. [Google Scholar]
- Chen, X.; Yang, T.; Chen, X.; Zhou, K. A Generic Model-Based Advanced Control of Electric Power-Assisted Steering Systems. IEEE Trans. Control Syst. Technol. 2008, 16, 1289–1300. [Google Scholar] [CrossRef]
- Marouf, A.; Djemai, M.; Sentouh, C.; Pudlo, P. A New Control Strategy of an Electric-Power-Assisted Steering System. IEEE Trans. Veh. Technol. 2012, 61, 3574–3589. [Google Scholar] [CrossRef]
- Xu, J.; Zhang, T.; Liu, J.; Zhang, Y.; Ge, P.; Yang, J. Research on EPS Assist Characteristics Based on Hardware-in-loop Simulation. In Proceedings of the 4th CAA International Conference on Vehicular Control and Intelligence (CVCI), Hangzhou, China, 18–20 December 2020; pp. 525–529. [Google Scholar]
- Slotine, J.J.E.; Li, W. Applied Nonlinear Control; Prentice Hall: Englewood Cliffs, NJ, USA, 2008. [Google Scholar]
- Khalil, H. Sliding Mode Control. In Nonlinear Systems, 2nd ed.; Prentice Hall: Upper Saddle River, NJ, USA, 2002; pp. 601–617. [Google Scholar]
- Lee, D.; Yi, K. Disturbance adaptive steering wheel torque control for enhanced path tracking of autonomous vehicles. In Proceedings of the 2017 American Control Conference (ACC), Seattle, WA, USA, 24–26 May 2017; pp. 2321–2326. [Google Scholar]
- Sun, Z.; Zheng, J.; Man, Z.; Wang, H.; Lu, R. Sliding mode-based active disturbance rejection control for vehicle steer-by-wire systems. IET Cyber-Phys. Syst. Theory Appl. 2018, 3, 1–10. [Google Scholar] [CrossRef]
- Yu, J.Y.; Kim, W.; Son, Y.S.; Chung, C.C. Sliding mode control for an electric power steering system in an autonomous lane keeping system. J. Inst. Control Robot. Syst. 2015, 21, 95–101. [Google Scholar] [CrossRef][Green Version]
- Nam, H.; Choi, W.; Ann, C. Model Predictive Control For Evasive Steering of an Autonomous Vehicle. Int. J. Automot. Technol. 2019, 20, 1033–1042. [Google Scholar] [CrossRef]
- Kim, W.; Son, Y.S.; Chung, C.C. Torque-Overlay-Based Robust Steering Wheel Angle Control of Electrical Power Steering for a Lane-Keeping System of Automated Vehicles. IEEE Trans. Veh. Technol. 2016, 65, 4379–4392. [Google Scholar] [CrossRef]
- Jeong, Y.W.; Kim, J.S.; Kang, C.M.; Chung, C.C. Backstepping control design for the second-order electric power steering system using augmented observer. In Proceedings of the 2017 56th Annual Conference of the Society of Instrument and Control Engineers of Japan (SICE), Kanazawa, Japan, 19–22 September 2017; pp. 79–84. [Google Scholar]
- Kim, W.; Kang, C.; Son, Y.S.; Chung, C. Nonlinear Steering Wheel Angle Control Using Self-Aligning Torque with Torque and Angle Sensors for Electrical Power Steering of Lateral Control System in Autonomous Vehicles. Sensors 2018, 18, 4384. [Google Scholar] [CrossRef] [PubMed]
- Xiong, L.; Jiang, Y.; Fu, Z. Steering Angle Control of Autonomous Vehicles based on Active Disturbance Rejection Control. IFAC-PapersOnLine 2018, 59, 797–800. [Google Scholar] [CrossRef]
- Han, J. From PID to Active Disturbance Rejection Control. IEEE Trans. Ind. Electron. 2009, 56, 900–906. [Google Scholar] [CrossRef]
- Chen, T.; Cai, Y.; Chen, L.; Xu, X.; Sun, X. Trajectory tracking control of steer_by_wire autonomous vehicle considering the complete failure of vehicle steering motor. Simul. Model. Pract. Theory 2020, 109, 1–15. [Google Scholar]
- He, Z.; Nie, L.; Yin, Z.; Huang, S. A Two-Layer Controller for Lateral Path Tracking Control of Autonomous Vehicles. Sensors 2020, 20, 3689. [Google Scholar] [CrossRef] [PubMed]
- Walcott, B.; Zak, S. State observation of nonlinear uncertain dynamical systems. IEEE Trans. Autom. Control 1987, 32, 166–170. [Google Scholar] [CrossRef]
- Krstic, M.; Kokotovic, P.V.; Kanellakopoulos, I. Nonlinear and Adaptive Control Design; John Wiley & Sons, Inc.: Hoboken, NJ, USA, 1995. [Google Scholar]
- Khasawneh, L.; Das, M. Modeling, Parameter Identification, and Steering Angle Control of Electric Power Steering for Trajectory Following in Autonomous Vehicles. In Proceedings of the 2021 IEEE International Conference on Electro Information Technology (EIT), Mt. Pleasant, MI, USA, 14–15 May 2021; pp. 260–267. [Google Scholar]
Publisher’s Note: MDPI stays neutral with regard to jurisdictional claims in published maps and institutional affiliations. |
© 2022 by the authors. Licensee MDPI, Basel, Switzerland. This article is an open access article distributed under the terms and conditions of the Creative Commons Attribution (CC BY) license (https://creativecommons.org/licenses/by/4.0/).