Research on a Sowing Depth Detection System Based on an Improved Adaptive Kalman Filtering Method
Abstract
1. Introduction
2. Materials and Methods
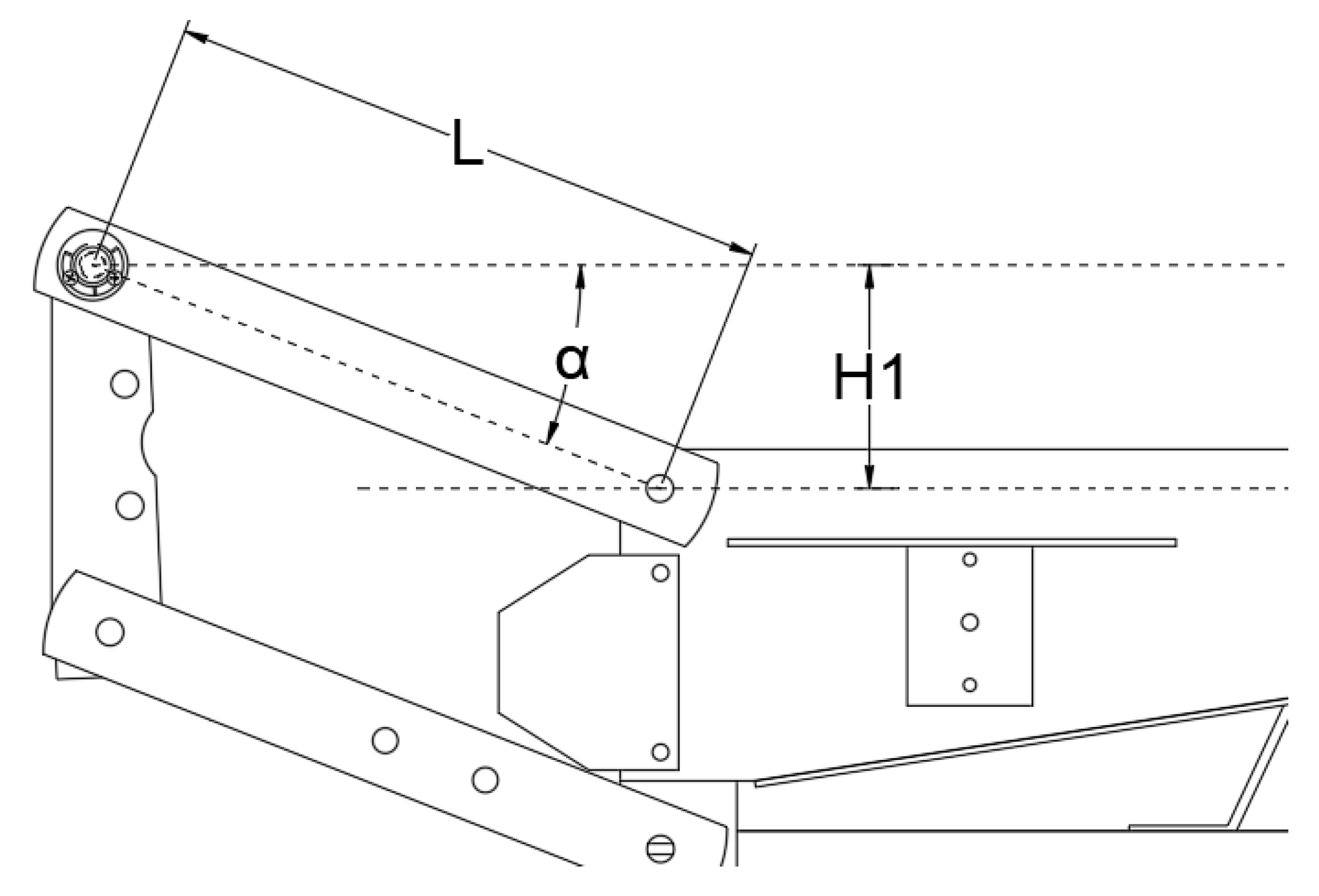
2.1. System Structure
2.2. Working Principle
3. Data Fusion Algorithm
3.1. Moving Average Filter
3.2. Particle Filter
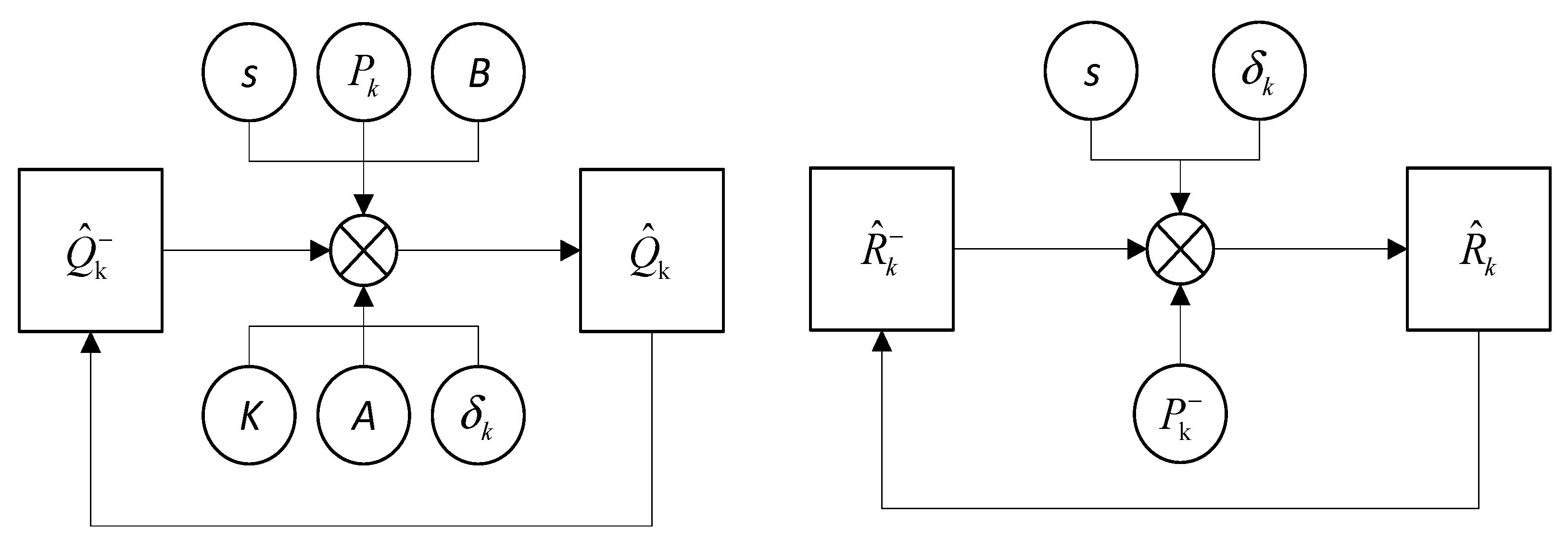
3.3. Kalman Filter
4. Experiment and Result Analysis
4.1. Simulation Results
4.2. Adaptive Kalman Filter
4.3. Sowing Monomer Experiment
5. Discussion and Conclusions
Author Contributions
Funding
Institutional Review Board Statement
Informed Consent Statement
Data Availability Statement
Conflicts of Interest
References
- Gao, W.S. Development Trends and Basic Principles of Conservation Tillage. Sci. Agric. Sin. 2007, 40, 2702–2708. [Google Scholar]
- Sun, Z.Q.; Li, H.W.; Yang, L. 2BQM-2 Type Suction Precise Maize No-tillage Planter. J. Agric. Mech. Res. 2007, 2, 87–89. [Google Scholar]
- Yang, L.; Yan, B.X.; Zhang, D.X.; Zhang, D.X.; Zhang, T.L.; Wang, Y.X.; Cui, T. Research Progress on Precision Planting Technology of Maize. Trans. Chin. Soc. Agric. Mach. 2016, 47, 38–48. [Google Scholar]
- Zhou, S.H.; Wang, Z.H.; Huang, D.Y. No–Till Planter sowing Intelligent Depth Regulation System Based on Flex Sensor. J. Jilin Univ. 2020, 38, 555–562. [Google Scholar]
- Gao, Y.Y.; Wang, X.; Yang, S.; Zhai, C.Y.; Zhao, C.J. Development of CAN-based sowing Depth Monitoring and Evaluation System. Trans. Chin. Soc. Agric. Mach. 2019, 50, 23–32. [Google Scholar]
- Gao, Y.Y.; Zhai, C.Y.; Yang, S.; Zhao, X.G.; Wang, X.; Zhao, C.J. Development of CAN-based Downforce and sowing Depth Monitoring and Evaluation System for Precision Planter. Trans. Chin. Soc. Agric. Mach. 2020, 51, 15–28. [Google Scholar]
- Jiang, X.; Tong, J.; Ma, Y.; Li, J.; Wu, B.; Sun, J. Study of Tillage Depth Detecting Device Based on Kalman Filter and Fusion Algorithm. Nongye Jixie Xuebao/Trans. Chin. Soc. Agric. Mach. 2020, 51, 53–60. [Google Scholar]
- Suomi, P.; Oksanen, T. Automatic working depth control for seed drill using ISO 11783 remote control messages. Comput. Electron. Agric. 2015, 116, 30–35. [Google Scholar] [CrossRef]
- Ma, Y.C.; Zhang, W.; Li, Y.Q.; Che, G. Study on Two P rofiling M echanism of Planter Unit. J. Agric. Mech. Res. 2011, 33, 101–103, 106. [Google Scholar]
- Fitriani, D.A.; Kusuma, W.A.; Risqiwati, D. Design of monitoring system step walking with MPU6050 sensor based android. JOINCS 2016, 1, 1–8. [Google Scholar] [CrossRef]
- Liu, W.; Dai, J. Design of attitude sensor acquisition system based on STM32. In Proceedings of the 2015 Fifth International Conference on Instrumentation and Measurement, Computer, Communication and Control (IMCCC), Qinhuangdao, China, 18–20 September 2015; IEEE: Piscataway, NJ, USA, 2015; pp. 1850–1853. [Google Scholar]
- Jian, H. Design of angle detection system based on MPU6050. In Proceedings of the 7th International Conference on Education, Management, Information and Computer Science (ICEMC 2017), Shenyang, China, 16–18 June 2017; Atlantis Press: Paris, France, 2016; pp. 6–8. [Google Scholar]
- Ye, L. Azimuth Angle Algorithm Based on MPU6050 Sensor; Jilin University: Changchun, China, 2015. [Google Scholar]
- Hall, D.L.; Llinas, J. An introduction to multisensor data fusion. Proc. IEEE 1997, 85, 6–23. [Google Scholar] [CrossRef]
- Khaleghi, B.; Khamis, A.; Karray, F.O.; Razavi, S.N. Multisensor data fusion: A review of the state-of-the-art. Inf. Fusion 2013, 14, 28–44. [Google Scholar] [CrossRef]
- Wu, L. Study on Digital Filter Algorithms of Data Acquisition System; Beijing Forestry University: Beijing, China, 2015. [Google Scholar]
- Al-Mbaideen, A.A. Application of moving average filter for the quantitative analysis of the NIR spectra. J. Anal. Chem. 2019, 74, 686–692. [Google Scholar] [CrossRef]
- Gustafsson, F. Particle filter theory and practice with positioning applications. IEEE Aerosp. Electron. Syst. Mag. 2010, 25, 53–82. [Google Scholar] [CrossRef]
- Boers, Y.; Driessen, J.N. Particle filter based detection for tracking. In Proceedings of the 2001 American Control Conference (Cat. No. 01CH37148), Arlington, VA, USA, 25–27 June 2001; IEEE: Piscataway, NJ, USA, 2001; Volume 6, pp. 4393–4397. [Google Scholar]
- Hu, S.; Jing, Z. Overview of particle filter algorithm. Control. Decis. 2005, 20, 361–365, 371. [Google Scholar]
- Liang, J. Research on Particle Filter Algorithm and Its Application; Harbin Institute of Technology: Harbin, China, 2009. [Google Scholar]
- Meinhold, R.J.; Singpurwalla, N.D. Understanding the Kalman filter. Am. Stat. 1983, 37, 123–127. [Google Scholar]
- Di, W. Inertial Navigation Technology Based on Kalman Filtering; North China University of Technology: Beijing, China, 2018. [Google Scholar]
- Li, H.; Li, W.; Huang, Y. Multisensor measured data fusion based on Kalman filtering. Eng. J. Wuhan Univ. 2011, 44, 521–525. [Google Scholar]
- Li, Q.; Li, R.; Ji, K.; Dai, W. Kalman filter and its application. In Proceedings of the 2015 8th International Conference on Intelligent Networks and Intelligent Systems (ICINIS), Tianjin, China, 1–3 November 2015; IEEE: Piscataway, NJ, USA, 2015; pp. 74–77. [Google Scholar]
- Ge, J.; Dong, H.; Liu, H. Real-time Reduction of Magnetic Noise Associated with Ocean Waves via Sage Husa Algorithm for Towed Overhauser Marine Geomagnetic Sensor. Earth Sci. 2018, 43, 3792–3798. [Google Scholar]
- Zhou, D.H.; Xi, Y.G.; Zhang, Z.J. A suboptimal multipl fading extended kalman filter. Acta Autom. Sin. 1991, 17, 689–695. [Google Scholar]
- Narasimhappa, M.; Mahindrakar, A.D.; Guizilini, V.C.; Terra, M.H.; Sabat, S.L. MEMS-based IMU drift minimization: Sage Husa adaptive robust Kalman filtering. IEEE Sens. J. 2019, 20, 250–260. [Google Scholar] [CrossRef]














| Algorithm Name | MSE | |
|---|---|---|
| MPU60501 | MPU60502 | |
| Measure value | 0.4236 | 0.3037 |
| MAF value | 0.1455 | 0.1047 |
| PF value | 0.0517 | 0.0548 |
| KF value | 0.0422 | 0.0404 |
| Algorithm Name | Sowing Depth MSE |
|---|---|
| Measure value | 1.8256 |
| MAF value | 0.5968 |
| PF value | 0.1807 |
| KF value | 0.1449 |
| IAKF value | 0.0636 |
Publisher’s Note: MDPI stays neutral with regard to jurisdictional claims in published maps and institutional affiliations. |
© 2022 by the authors. Licensee MDPI, Basel, Switzerland. This article is an open access article distributed under the terms and conditions of the Creative Commons Attribution (CC BY) license (https://creativecommons.org/licenses/by/4.0/).
Share and Cite
Zhao, N.; Zhao, B.; Yi, S.; Zhou, Z.; Che, G. Research on a Sowing Depth Detection System Based on an Improved Adaptive Kalman Filtering Method. Electronics 2022, 11, 3802. https://doi.org/10.3390/electronics11223802
Zhao N, Zhao B, Yi S, Zhou Z, Che G. Research on a Sowing Depth Detection System Based on an Improved Adaptive Kalman Filtering Method. Electronics. 2022; 11(22):3802. https://doi.org/10.3390/electronics11223802
Chicago/Turabian StyleZhao, Naichen, Bin Zhao, Shujuan Yi, Zheng Zhou, and Gang Che. 2022. "Research on a Sowing Depth Detection System Based on an Improved Adaptive Kalman Filtering Method" Electronics 11, no. 22: 3802. https://doi.org/10.3390/electronics11223802
APA StyleZhao, N., Zhao, B., Yi, S., Zhou, Z., & Che, G. (2022). Research on a Sowing Depth Detection System Based on an Improved Adaptive Kalman Filtering Method. Electronics, 11(22), 3802. https://doi.org/10.3390/electronics11223802

