Research on Control Inertia and Stability of PMSG
Abstract
:1. Instruction
- (1)
- We propose a reduced-order model to directly clarify the impact of PMSG controller parameters on small-signal stability based on the theoretical analysis of damping characteristics and inertia hysteresis in the controller.
- (2)
- The stability limit consisting of the PI gains is derived based on the inertia of the controller. The derived stability limit is computationally simple and does not require a full-order model of the PMSG. Therefore, it can be used to approximately assess the instability risk of the PMSG caused by the inertia of the controller more conveniently.
2. Inertia Analysis of Mechanical Motion
3. Derivation and Analysis of PMSG Controller Inertia
- (1)
- The stability of PMSG is related to the impedance of the AC line and the setting value of the controller.
- (2)
- When the inner loop parameter kp2 increases, the inner loop control bandwidth increases and the stability threshold of the outer loop parameter kp1 decreases with other conditions remaining the same.
4. Simulation Results
4.1. Effectiveness of Proposed Stability Criterion
4.2. Stable Domain
5. Conclusions
- (1)
- The control stability of the PMSG system is related to the impedance of AC side line Zl and the setting value of the controller.
- (2)
- When other conditions remain unchanged, as the inner loop parameter kp2 increases, the inner loop control bandwidth increases, and the stability threshold of the outer loop parameter kp1 decreases.
- (3)
- The proposed stability limit can be applied to the selection assessment of the gains of the closed-loop controller for the PMSG.
Author Contributions
Funding
Acknowledgments
Conflicts of Interest
References
- Cai, X.; Shi, G.; Chi, Y.; Chang, Y.; Yang, R.; Zhang, Z. Present status and future development of offshore all-DC wind farm. Proc. CSEE 2016, 36, 2036–2048. [Google Scholar]
- Chang, Y.; Xu, C. MMC Based wind power converters for offshore DC wind farms. Proc. CSEE 2016, 36, 3789–3797. [Google Scholar]
- Saeedifard, M.; Iravani, R. Dynamic performance of a modular multilevel back-to-back HVDC system. IEEE Trans. Power Deliv. 2010, 25, 2903–2912. [Google Scholar] [CrossRef]
- El-Refaie, A.M. Fractional-slot concentrated-windings synchronous permanent magnet machines: Opportunities and challenges. IEEE Trans. Ind. Electron. 2010, 57, 107–121. [Google Scholar] [CrossRef]
- Jing, L.; Xu, C. Harmonic linearization based impedance modeling of modular multilevel converters. Autom. Electr. Power Syst. 2017, 41, 136–142. [Google Scholar]
- Lyu, J.; Zhang, X.; Cai, X.; Molinas, M. Harmonic state-space based small-signal impedance modeling of a multilevel converter with consideration of internal harmonic dynamics. IEEE Trans. Power Electron. 2019, 34, 2134–2148. [Google Scholar] [CrossRef] [Green Version]
- Guan, W.; Huang, S.; Huang, X. A medium-voltage wind power generation system based on proved modular multilevel converter and its control scheme. Trans. CES 2018, 33, 3782–3791. [Google Scholar]
- Yang, R.; Shi, G.; Cai, X.; Zhang, X. Voltage source control of offshore all-DC wind farm. Trans. CES 2018, 33, 546–557. [Google Scholar]
- Lv, J.; Xu, C. Frequency-domain analysis and design of stabilization controllers for wind farm integration through VSC-HVDC system. Proc. CSEE 2018, 38, 4074–4085. [Google Scholar]
- Liu, H.; Sun, J. Voltage stability and control of offshore wind farms with AC collection and HVDC transmission. IEEE Trans. Emerg. Sel. Top. Power Electron. 2014, 2, 1181–1189. [Google Scholar]
- Chen, B.; Tao, L.; Rusi, C. Characteristics of multi-band oscillation for direct drive wind farm interfaced with VSC-HVDC system. Trans. CES 2018, 33, 176–184. [Google Scholar]
- Liu, K.; Yao, J.; Wang, J.; Liu, Y.; Chen, S.; Huang, S.; Xia, H. Small signal stability analysis and optimization control of offshore wind power generation MMC-HVDC grid-connected system based on zero-sequence circulating current controller. Proc. CSEE 2021, 41, 4068–4081. [Google Scholar]
- Yue, Y.; Li, G. The small signal stability control of offshore wind farm based on VSC-HVDC. Trans. CES 2016, 31, 101–110. [Google Scholar]
- Xie, X.; Liu, H.; He, J.; Liu, W. Small-signal impedance/admittance network modeling for grid connected renewable energy generation systems. Autom. Electr. Power Syst. 2017, 41, 26–32. [Google Scholar]
- Amin, M.; Molinas, M. A grey-box method for stability and controller parameter estimation in HVDC-connected wind farms based on non-parametric impedance. IEEE Trans. Ind. Electron. 2019, 66, 1872–1882. [Google Scholar] [CrossRef]
- Li, W.; Chun, Y.; Prokhorov, A.V. Stability analysis of a microgrid system with a hybrid offshore wind and ocean energy farm fed to a power grid through an HVDC link. In Proceedings of the Industry Applications Society Meeting, Cincinnati, OH, USA, 1–5 October 2017; pp. 1–9. [Google Scholar]
- Bache, S.; Munteanu, L.; Bratcu, A.L. Modeling and Control of Power Electronic Converters; Machinery Industry Press: Beijing, China, 2017; pp. 23–24. [Google Scholar]
- Anaya-Lara, O.; Campos-Gaona, D.; Moreno-Goytia, E.; Adam, G. Offshore Wind Energy Generation: Control, Protection, and Integration to Electrical Systems; Wiley: Hoboken, NJ, USA, 2014; pp. 73–75. [Google Scholar]
- Wu, G.; Wang, S.; Zhou, X.; Zhao, B.; Liang, J.; Li, Y.; Wang, T. Analytical analysis on the active power control stability of the weak grids-connected VSC. Proc. CSEE 2019, 39, 6169–6183. [Google Scholar]
- Li, G.; Wang, W.; Guo, J.; Chen, X.; Liu, C. Broadband oscillation mechanism and analysis for wind farm integration through MMC-HVDC system. Proc. CSEE 2019, 39, 5281–5297. [Google Scholar]






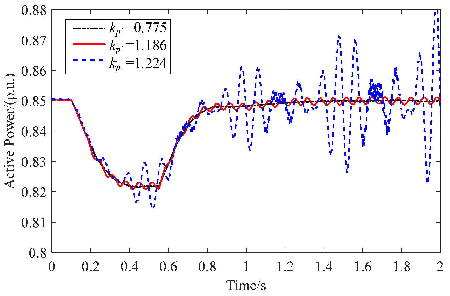
| Case | kp1 | λi | Bond | Stability Criterion | 
|---|---|---|---|---|
| 1 | 0.772 | −5.84 + j227.21 | 1.187 | Stable | 
| 2 | 1.186 | −0.28 + j215.78 | 1.187 | Critically stable | 
| 3 | 1.224 | 3.13 + j185.47 | 1.187 | Unstable | 
| Publisher’s Note: MDPI stays neutral with regard to jurisdictional claims in published maps and institutional affiliations. | 
© 2022 by the authors. Licensee MDPI, Basel, Switzerland. This article is an open access article distributed under the terms and conditions of the Creative Commons Attribution (CC BY) license (https://creativecommons.org/licenses/by/4.0/).
Share and Cite
Ge, X.; Shi, Y.; Yan, F.; Zhu, X.; Liu, C. Research on Control Inertia and Stability of PMSG. Electronics 2022, 11, 1583. https://doi.org/10.3390/electronics11101583
Ge X, Shi Y, Yan F, Zhu X, Liu C. Research on Control Inertia and Stability of PMSG. Electronics. 2022; 11(10):1583. https://doi.org/10.3390/electronics11101583
Chicago/Turabian StyleGe, Xiaoning, Yuxin Shi, Fang Yan, Xi Zhu, and Chunming Liu. 2022. "Research on Control Inertia and Stability of PMSG" Electronics 11, no. 10: 1583. https://doi.org/10.3390/electronics11101583
APA StyleGe, X., Shi, Y., Yan, F., Zhu, X., & Liu, C. (2022). Research on Control Inertia and Stability of PMSG. Electronics, 11(10), 1583. https://doi.org/10.3390/electronics11101583
 
         
                                                
 
       