An Efficient Fast and Convergence-Controlled Algorithm for Sidelobes Simultaneous Reduction (SSR) and Spatial Filtering
Abstract
1. Introduction
1.1. Background and Motivation
1.2. Paper Contribution
1.3. Paper Organization
2. Array Steering Vector Formulation for General Linear Arrays
3. The Proposed SSR Algorithm
4. Results and Discussion
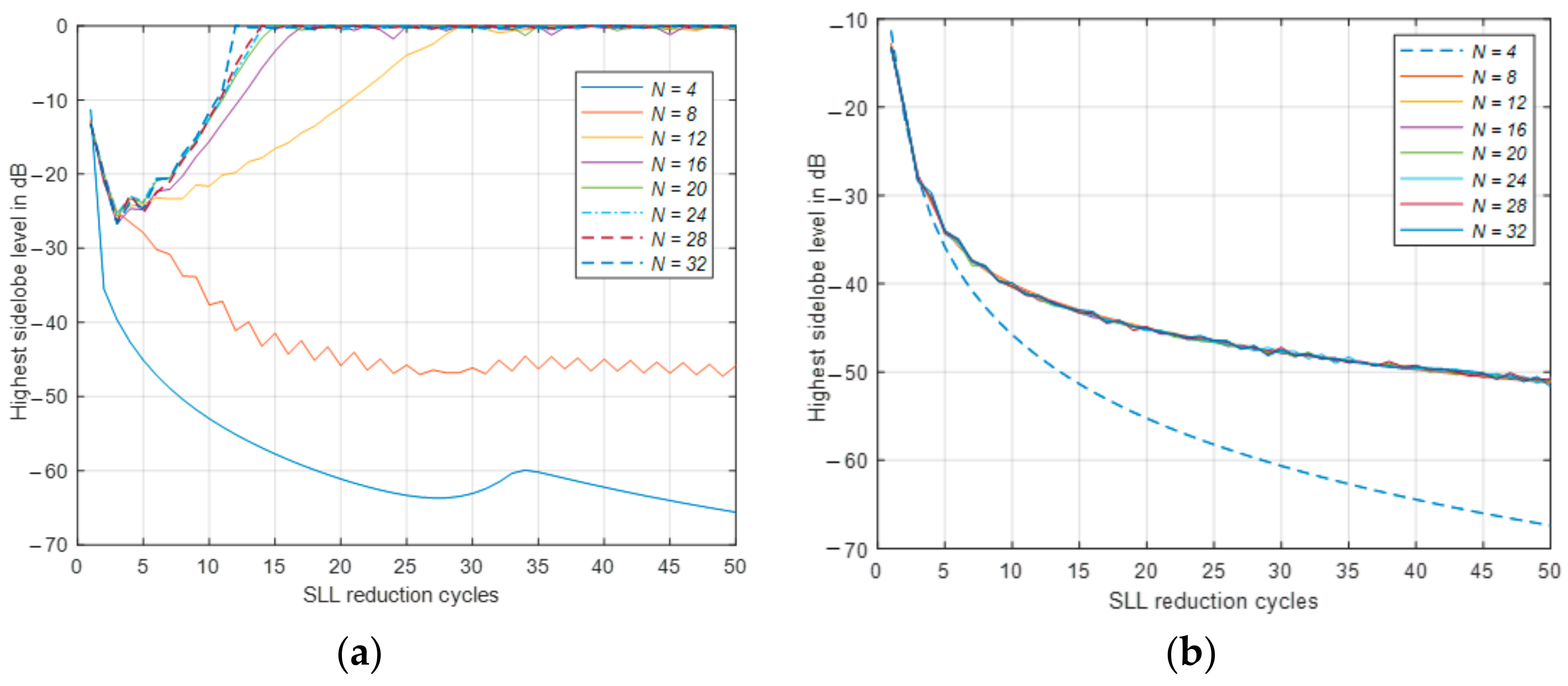
4.1. Performance at Different Convergence Control Factor for Uniform Arrays
4.2. Performance of SSR at Different Interelement Spacing
4.3. SSR Selective Sidelobes’ Reduction Capabilities
4.4. Processing Time Performance
4.5. Performance Comparisons with Efficient Tapering Windows and Recent Evolutionary Optimization Techniques
5. Conclusions
Funding
Acknowledgments
Conflicts of Interest
References
- Hasan, M.Z.; Al-Rizzo, H. Beamforming Optimization in Internet of Things Applications Using Robust Swarm Algorithm in Conjunction with Connectable and Collaborative Sensors. Sensors 2020, 20, 2048. [Google Scholar] [CrossRef]
 - Čolaković, A.; Hadžialić, M. Internet of Things (IoT): A review of enabling technologies, challenges, and open research issues. Comput. Netw. 2018, 144, 17–39. [Google Scholar] [CrossRef]
 - Akyildiz, I.F.; Nie, S.; Lin, S.C.; Chandrasekaran, M. 5G roadmap: 10 key enabling technologies. Comput. Netw. 2016, 106, 17–48. [Google Scholar] [CrossRef]
 - Issa, K.; Fathallah, H.; Ashraf, M.A.; Vettikalladi, H.; Alshebeili, S. Broadband High-Gain Antenna for Millimetre-Wave 60-GHz Band. Electronics 2019, 8, 1246. [Google Scholar] [CrossRef]
 - Khalid, M.; Naqvi, S.I.; Hussain, N.; Rahman, M.; Fawad; Mirjavadi, S.S.; Khan, M.J.; Amin, Y. 4-Port MIMO Antenna with Defected Ground Structure for 5G Millimeter Wave Applications. Electronics 2020, 9, 71. [Google Scholar] [CrossRef]
 - Li, J.; Ma, Z.; Mao, L.; Wang, Z.; Wang, Y.; Cai, H.; Chen, X. Broadband Generalized Sidelobe Canceler Beamforming Applied to Ultrasonic Imaging. Appl. Sci. 2020, 10, 1207. [Google Scholar] [CrossRef]
 - Slomian, I.; Wincza, K.; Gruszczynski, S. Circularly Polarized Switched-Beam Antenna Arrays with Reduced Sidelobe Level. IEEE Antennas Wirel. Propag. Lett. 2016, 15, 1213–1216. [Google Scholar] [CrossRef]
 - Wang, Y.; Yang, W.; Chen, J.; Kuang, H.; Liu, W.; Li, C. Azimuth Sidelobes Suppression Using Multi-Azimuth Angle Synthetic Aperture Radar Images. Sensors 2019, 19, 2764. [Google Scholar] [CrossRef] [PubMed]
 - Bi, X.; Guo, S.; Zhu, Y.; Yuan, T. A Wideband Slotted Spherical Waveguide Antenna Based on Multi-Mode Concept. Electronics 2020, 9, 1656. [Google Scholar] [CrossRef]
 - Nguyen, A.H.; Cho, J.-H.; Bae, H.-J.; Sung, H.-K. Side-lobe Level Reduction of an Optical Phased Array Using Amplitude and Phase Modulation of Array Elements Based on Optically Injection-Locked Semiconductor Lasers. Photonics 2020, 7, 20. [Google Scholar] [CrossRef]
 - Sarker, R.; Islam, M.; Alam, T.; Hossam-E-Haider, M. Side lobe level reduction in antenna array using weighting function. In Proceedings of the 2014 International Conference on Electrical Engineering and Information & Communication Technology, Dhaka, Bangladesh, 10–12 April 2014; pp. 1–5. [Google Scholar]
 - Panduro, M.A.; Reyna, A.; Covarrubias, D.H. Non-uniform concentric rings design for ultra-wideband arrays. Sensors 2019, 19, 2262. [Google Scholar] [CrossRef] [PubMed]
 - Lau, B.K.; Leung, Y.H. A Dolph-Chebyshev approach to the synthesis of array patterns for uniform circular arrays. In Proceedings of the 2000 IEEE International Symposium on Circuits and Systems (ISCAS), Geneva, Switzerland, 28–31 May 2000; Volume 1, pp. 124–127. [Google Scholar]
 - Albagory, Y. An Efficient Conformal Stacked Antenna Array Design and 3D-Beamforming for UAV and Space Vehicle Communications. Sensors 2021, 21, 1362. [Google Scholar] [CrossRef]
 - Prabhu, K.M.M. Window Functions and Their Applications in Signal Processing; Taylor & Francis Group: Abingdon, UK, 2014. [Google Scholar]
 - Nofal, M.; Aljahdali, S.; Albagory, Y. Tapered beamforming for concentric ring arrays. AEU Int. J. Electron. Commun. 2013, 67, 58–63. [Google Scholar] [CrossRef]
 - Singh, B.; Sarwade, N.; Ray, K.P. Antenna Array Performance with Number of Elements for Aperture Distributions. IETE Tech. Rev. 2016, 33, 674–689. [Google Scholar] [CrossRef]
 - De Abreu, G.T.F.; Kohno, R. A modified Dolph-Chebyshev approach for the synthesis of low sidelobe beampatterns with adjustable beamwidth. IEEE Trans. Antennas Propag. 2003, 51, 3014–3017. [Google Scholar] [CrossRef]
 - Dakulagi, V.; Alagirisamy, M. Kaiser window based blind beamformers for radar application. IETE J. Res. 2019, 65, 1–7. [Google Scholar] [CrossRef]
 - Juárez, E.; Panduro, M.A.; Reyna, A.; Covarrubias, D.H.; Mendez, A.; Murillo, E. Design of Concentric Ring Antenna Arrays Based on Subarrays to Simplify the Feeding System. Symmetry 2020, 12, 970. [Google Scholar] [CrossRef]
 - Singh, U.; Salgotra, R. Synthesis of linear antenna array using flower pollination algorithm. Neural Comput. Appl. 2018, 29, 435–445. [Google Scholar] [CrossRef]
 - Chakravarthy, V.; Rao, P.M. Circular array antenna optimization with scanned and unscanned beams using novel particle swarm optimization. Indian J. Appl. Res. 2015, 5, 764–767. [Google Scholar]
 - Mehrabian, A.R.; Lucas, C. A novel numerical optimization algorithm inspired from weed colonization. Ecol. Inform. 2006, 1, 355–366. [Google Scholar] [CrossRef]
 - Sharaqa, A.; Dib, N. Circular antenna array synthesis using firefly algorithm. Int. J. RF Microw. Comput. Aided Eng. 2014, 24, 139–146. [Google Scholar] [CrossRef]
 - Sun, G.; Liu, Y.; Chen, Z.; Zhang, Y.; Wang, A.; Liang, S. Thinning of Concentric Circular Antenna Arrays Using Improved Discrete Cuckoo Search Algorithm. In Proceedings of the 2017 IEEE Wireless Communications and Networking Conference (WCNC), San Francisco, CA, USA, 19–22 March 2017; pp. 1–6. [Google Scholar]
 - Li, H.; Liu, Y.; Sun, G.; Wang, A.; Liang, S. Beam pattern synthesis based on improved biogeography-based optimization for reducing sidelobe level. Comput. Electr. Eng. 2017, 60, 161–174. [Google Scholar] [CrossRef]
 - Van Luyen, T.; Giang, T.V.B. Interference suppression of ULA antennas by phase-only control using bat algorithm. IEEE Antennas Wirel. Propag. Lett. 2017, 16, 3038–3042. [Google Scholar] [CrossRef]
 - Mirjalili, S.; Lewis, A. The Whale Optimization Algorithm. Adv. Eng. Softw. 2016, 95, 51–67. [Google Scholar] [CrossRef]
 - Almagboul, M.A.; Shu, F.; Qian, Y.; Zhou, X.; Wang, J.; Hu, J. Atom search optimization algorithm based hybrid antenna array receive beamforming to control sidelobe level and steering the null. AEU Int. J. Electron. Commun. 2019, 111, 152854. [Google Scholar] [CrossRef]
 - Liang, S.; Fang, Z.; Sun, G.; Liu, Y.; Qu, G.; Zhang, Y. Sidelobe Reductions of Antenna Arrays via an Improved Chicken Swarm Optimization Approach. IEEE Access 2020, 8, 37664–37683. [Google Scholar] [CrossRef]
 - Sun, G.; Liu, Y.; Li, H.; Liang, S.; Wang, A.; Li, B. An Antenna Array Sidelobe Level Reduction Approach through Invasive Weed Optimization. Int. J. Antennas Propag. 2018, 2018, 4867851. [Google Scholar] [CrossRef]
 - Balanis, C.A. Antenna Theory: Analysis and Design, 4th ed.; Wiley: Hoboken, NJ, USA, 2016; ISBN 978-1-118-64206-1. [Google Scholar]
 - Meng, X.; Liu, Y.; Gao, X.; Zhang, H. A New Bio-inspired Algorithm: Chicken Swarm Optimization. In Advances in Swarm Intelligence; Lecture Notes in Computer Science; Springer: Cham, Switzerland, 2014; Volume 8794. [Google Scholar]
 - Saxena, P.; Kothari, A. Optimal pattern synthesis of linear antenna array using grey wolf optimization algorithm. Int. J. Antennas Propag. 2016, 2016, 8–19. [Google Scholar] [CrossRef]
 - Guney, K.; Durmus, A.; Basbug, S. Antenna array synthesis and failure correction using differential search algorithm. Int. J. Antennas Propag. 2014, 2014, 276754. [Google Scholar] [CrossRef]
 - Weng, W.-C.; Yang, F.; Elsherbeni, A.Z. Linear antenna array synthesis using Taguchi’s method: A novel optimization technique in electromagnetics. IEEE Trans. Antennas Propag. 2007, 55, 723–730. [Google Scholar] [CrossRef]
 - Guney, K.; Durmus, A. Pattern nulling of linear antenna arrays using backtracking search optimization algorithm. Int. J. Antennas Propag. 2015, 2015, 713080. [Google Scholar] [CrossRef]
 - Fan, Q.; Chen, Z.; Li, Z.; Xia, Z.; Yu, J.; Wang, D. A new improved whale optimization algorithm with joint search mechanisms for high-dimensional global optimization problems. Eng. Comput. 2020, 36, 1–28. [Google Scholar] [CrossRef]
 - Albagory, Y.; Alraddady, F. An Efficient Approach for Sidelobe Level Reduction Based on Recursive Sequential Damping. Symmetry 2021, 13, 480. [Google Scholar] [CrossRef]
 














| Step | Operation | 
|---|---|
| 1: | Initialize the array parameters (number of elements, mainlobe direction, , number of SLL reduction cycles, , convergence factor, ). | 
| 2: | Initialize the starting weight vector as | 
| 3: | Calculate the array initial response, using Equation (4) | 
| 4: | for c = 1:C | 
| 5: | Find the radiation maxima directions and array responses using Equations (5) and (6). | 
| 6: | Arrange the array responses of the maxima obtained in the previous step. | 
| 7: | Exclude the highest maximum obtained from the previous step which corresponds to the mainlobe. The remaining maxima correspond to the sidelobes. | 
| 8: | Determine the number of sidelobes to be reduced, P | 
| 9: | Calculate the sub-beams weighting vector ,using Equation (7) | 
| 10: | Calculate the array response of the sub-beams using Equation (8) | 
| 11: | Calculate the main array response after subtracting the sub-beams patterns, , using Equation (9). | 
| 12: | Calculate the overall main array weight vector, , using Equation (10) | 
| 13: | Set as | 
| 14: | Set as | 
| 15: | end | 
| Step | Operation | 
|---|---|
| 1: | Initialize the array parameters (number of elements, , mainlobe direction, , convergence factor, , and the required spatial filtered angular range, , and the corresponding maximum SLL, . | 
| 2: | Initialize the starting weight vector as | 
| 3: | Calculate the array initial response, using Equation (4) | 
| 4: | while | 
| 5: | Find the radiation maxima directions and array responses using Equation (5) and (6). | 
| 6: | Arrange the array responses of the maxima obtained in previous step. | 
| 7: | Exclude the highest maximum obtained from the previous step which corresponds to the mainlobe. The remaining maxima correspond to the sidelobes. | 
| 8: | Determine the sidelobes’ directions that fall into . | 
| 9: | Determine the sidelobes’ indices vector, from step 8. | 
| 10: | Calculate the sub-beams’ weighting vector, , using Equation (7) | 
| 11: | Calculate the array response of the sub-beams using Equation (8) | 
| 12: | Calculate the main array response after subtracting the sub-beams’ patterns, , using Equation (9). | 
| 13: | Calculate the overall main array weight vector, , using Equation (10) | 
| 14: | Set as | 
| 15: | Set as | 
| 16: | end | 
| SL index | 1 | 2 | 3 | 4 | 5 | 6 | 7 | 
| SL direction | |||||||
| SL index | 8 | 9 | 10 | 11 | 12 | 13 | 14 | 
| SL direction | 
Publisher’s Note: MDPI stays neutral with regard to jurisdictional claims in published maps and institutional affiliations.  | 
© 2021 by the author. Licensee MDPI, Basel, Switzerland. This article is an open access article distributed under the terms and conditions of the Creative Commons Attribution (CC BY) license (https://creativecommons.org/licenses/by/4.0/).
Share and Cite
Albagory, Y. An Efficient Fast and Convergence-Controlled Algorithm for Sidelobes Simultaneous Reduction (SSR) and Spatial Filtering. Electronics 2021, 10, 1071. https://doi.org/10.3390/electronics10091071
Albagory Y. An Efficient Fast and Convergence-Controlled Algorithm for Sidelobes Simultaneous Reduction (SSR) and Spatial Filtering. Electronics. 2021; 10(9):1071. https://doi.org/10.3390/electronics10091071
Chicago/Turabian StyleAlbagory, Yasser. 2021. "An Efficient Fast and Convergence-Controlled Algorithm for Sidelobes Simultaneous Reduction (SSR) and Spatial Filtering" Electronics 10, no. 9: 1071. https://doi.org/10.3390/electronics10091071
APA StyleAlbagory, Y. (2021). An Efficient Fast and Convergence-Controlled Algorithm for Sidelobes Simultaneous Reduction (SSR) and Spatial Filtering. Electronics, 10(9), 1071. https://doi.org/10.3390/electronics10091071
        
                                                