AlGaN Channel High Electron Mobility Transistors with Regrown Ohmic Contacts
Abstract
1. Introduction
2. Simulation of the 2DEG Density
3. Materials and Methods
- The source/drain ohmic contacts were performed in two ways:
- Ti/Al/Ni/Au metal stack annealed at 875 °C deposited on top of the barrier after etching the 20-nm thick in-situ SiN cap layer using a Fluorine-based etching as well as a large part of the AlN barrier using a Chlorine/Argon plasma in order to leave about 3-nm thin barrier to facilitate the diffusion process (Figure 1a),
- Etching of the SiN cap, the barrier layer, and part of the AlGaN channel (total etching depth of 70 nm) prior to a selective regrowth by ammonia-source molecular beam epitaxy (MBE) below 800 °C with highly doped silicon (>5 × 1019 cm−3) n+ GaN by MBE using a SiO2 mask. A Ti/Au metal stack was then deposited (Figure 1b). The stack was not annealed.
- Device isolation was realized by mesa etching with a depth of 350 nm.
- Ni/Au metals were deposited on top of the in-situ SiN cap layer to obtain metal insulator semiconductor (MIS) gates. The transistor gate length and source–gate distances were 2 µm and 1 μm, respectively, with various gate-drain (GD) distances.
- Finally, Ti/Au pads were evaporated, followed by a plasma enhanced chemical vapor deposition (PECVD) of a SiN passivation film.
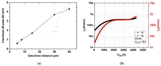
4. Results and Discussions
5. Conclusions
Author Contributions
Funding
Conflicts of Interest
References
- Baliga, B.J. Gallium nitride devices for power electronic applications. Semicond. Sci. Technol. 2013, 28, 074011. [Google Scholar] [CrossRef]
- Chen, K.J.; Haberlen, O.; Lidow, A.; Tsai, C.L.; Ueda, T.; Uemoto, Y.; Wu, Y. GaN-on-Si Power Technology: Devices and Applications. IEEE Trans. Electron Dev. 2017, 64, 779–795. [Google Scholar] [CrossRef]
- Scognamillo, C.; Catalano, A.P.; Lasserre, P.; Duchesne, C.; D’Alessandro, V.; Castellazzi, A. Combined experimental-FEM investigation of electrical ruggedness in double-sided cooled power modules. Microelectron. Reliab. 2020, 114, 113742. [Google Scholar] [CrossRef]
- Morita, T.; Yanagihara, M.; Ishida, H.; Hikita, M.; Kaibara, K.; Matsuo, H.; Uemoto, Y.; Ueda, T.; Ueda, D. 650 V 3.1 mΩ cm2 GaN-based monolithic bidirectional switch using normally-off gate injection transistor. In Proceedings of the 2007 IEEE International Electron Devices Meeting, Washington DC, USA, 10–12 December 2007. [Google Scholar]
- Bahat-Treidel, E.; Hilt, O.; Brunner, F.; Sidorov, V.; Würfl, J.; Tränkle, G. AlGaN/GaN/AlGaN DH-HEMTs Breakdown Voltage Enhancement Using Multiple Grating Field Plates (MGFPs). IEEE Trans. Electron Devices 2010, 57, 1208–1216. [Google Scholar] [CrossRef]
- Arulkumaran, S.; Vicknesh, S.; Ng, G.I.; Liu, Z.H.; Bryan, M.; Lee, C.H. Low Specific On-Resistance AlGaN/AlN/GaN High Electron Mobility Transistors on High Resistivity Silicon Substrate. Electrochem. Solid-State Lett. 2010, 13, H169–H172. [Google Scholar] [CrossRef]
- Kabouche, R.; Abid, I.; Püsche, R.; Derluyn, J.; Degroote, S.; Germain, M.; Tajalli, A.; Meneghini, M.; Meneghesso, G.; Medjdoub, F. Low On-Resistance and Low Trapping Effects in 1200 V Superlattice GaN-on-Silicon Heterostructures. Phys. Status Solidi A 2019, 217, 1900687. [Google Scholar] [CrossRef]
- Huang, X.; Liu, Z.; Li, Q.; Lee, F.C. Evaluation and Application of 600V GaN HEMT in Cascode Structure. In Proceedings of the Twenty-Eighth Annual IEEE Applied Power Electronics Conference and Exposition (APEC), Long Beach, CA, USA, 17–21 March 2013. [Google Scholar]
- Herbecq, N.; Roch-Jeune, I.; Rolland, N.; Visalli, D.; Derluyn, J.; Degroote, S.; Germain, M.; Medjdoub, F. 1900 V, 1.6 mΩ cm2 AlN/GaN-on-Si power devices realized by local substrate removal. Appl. Phys. Express 2014, 7, 034103. [Google Scholar] [CrossRef]
- Strite, S.; Morkoç, H. GaN, AlN, and InN: A review. J. Vac. Sci. Technol. B 1992, 10, 1237–1266. [Google Scholar] [CrossRef]
- Kaplar, R.J.; Allerman, A.A.; Armstrong, A.M.; Crawford, M.H.; Dickerson, J.R.; Fischer, A.J.; Baca, A.G.; Douglas, E.A. Review—Ultra-Wide-Bandgap AlGaN Power Electronic Devices. Ecs J. Solid State Sci. Technol. 2016, 6, Q3061–Q3066. [Google Scholar] [CrossRef]
- Anderson, T.J.; Hite, J.K.; Ren, F. Ultra-Wide Bandgap Materials and Device. Ecs J. Solid State Sci. Technol. 2017, 6, Y1. [Google Scholar] [CrossRef][Green Version]
- Tsao, J.Y.; Chowdhury, S.; Hollis, M.A.; Jena, D.; Johnson, N.M.; Jones, K.A.; Kaplar, R.J.; Rajan, S.; Van De Walle, C.G.; Bellotti, E.; et al. Ultrawide-Bandgap Semiconductors: Research Opportunities and Challenges. Adv. Electron. Mater. 2018, 4. [Google Scholar] [CrossRef]
- Higashiwaki, M.; Sasaki, K.; Kuramata, A.; Masui, T.; Yamakoshi, S. Development of gallium oxide power devices. Phys. Status Solidi 2013, 211, 21–26. [Google Scholar] [CrossRef]
- Pearton, S.J.; Yang, J.; Iv, P.H.C.; Ren, F.; Kim, J.; Tadjer, M.J.; Mastro, M.A. A review of Ga2O3materials, processing, and devices. Appl. Phys. Rev. 2018, 5, 011301. [Google Scholar] [CrossRef]
- Wort, C.J.; Balmer, R.S. Diamond as an electronic material. Mater. Today 2008, 11, 22–28. [Google Scholar] [CrossRef]
- Glass, J.T.; Messier, R.F.; Fujimori, N. Diamond, Silicon Carbide and Related Wide Bandgap Semiconductors. In Proceedings of the Materials Research Society meeting on diamond, silicon carbide and related wide bandgap semiconductors, Boston, MA, USA, 27 November–2 December 1989. [Google Scholar]
- Fu, X. Aluminum Nitride Wide Band-gap Semiconductor and Its Basic Characteristics. In Proceedings of the 6th International Conference on Electronic, Mechanical, Information and Management Society, Shenyang, China, 1–3 April 2016. [Google Scholar]
- Li, J.; Nam, K.B.; Nakarmi, M.L.; Lin, J.Y.; Jiang, H.X.; Carrier, P.; Wei, S.-H. Band structure and fundamental optical transitions in wurtzite AlN. Appl. Phys. Lett. 2003, 83, 5163–5165. [Google Scholar] [CrossRef]
- Shealy, J.R.; Kaper, V.; Tilak, V.; Prunty, T.; Smart, J.A.; Green, B.; Eastman, L.F. An AlGaN/GaN high-electron-mobility transistor with an AlN sub-buffer layer. J. Phys. Condens. Matter 2002, 14, 3499–3509. [Google Scholar] [CrossRef]
- Yafune, N.; Hashimoto, S.; Akita, K.; Yamamoto, Y.; Tokuda, H.; Kuzuhara, M. AlN/AlGaN HEMTs on AlN substrate for stable high-temperature operation. Electron. Lett. 2014, 50, 211–212. [Google Scholar] [CrossRef]
- Abid, I.; Kabouche, R.; Bougerol, C.; Pernot, J.; Masante, C.; Comyn, R.; Cordier, Y.; Medjdoub, F. High Lateral Breakdown Voltage in Thin Channel AlGaN/GaN High Electron Mobility Transistors on AlN/Sapphire Templates. Micromachines 2019, 10, 690. [Google Scholar] [CrossRef]
- Kume, S.; Yamada, I.; Watari, K.; Harada, I.; Mitsuishi, K. High-Thermal-Conductivity AlN Filler for Polymer/Ceramics Composites. J. Am. Ceram. Soc. 2009, 92, S153–S156. [Google Scholar] [CrossRef]
- Nanjo, T.; Takeuchi, M.; Suita, M.; Oishi, T.; Abe, Y.; Tokuda, Y.; Aoyagi, Y. Remarkable breakdown voltage enhancement in AlGaN channel high electron mobility transistors. Appl. Phys. Lett. 2008, 92, 263502. [Google Scholar] [CrossRef]
- Wang, Z.-X.; Du, L.; Liu, J.-W.; Wang, Y.; Jiang, Y.; Ji, S.-W.; Dong, S.-W.; Chen, W.-W.; Tan, X.-H.; Li, J.-L.; et al. Breakdown voltage enhancement in GaN channel and AlGaN channel HEMTs using large gate metal height. Chin. Phys. B 2020, 29, 027301. [Google Scholar] [CrossRef]
- Raman, A.; Dasgupta, S.; Rajan, S.; Speck, J.S.; Mishra, U.K. AlGaN Channel High Electron Mobility Transistors: Device Performance and Power-Switching Figure of Merit. Jpn. J. Appl. Phys. 2008, 47, 3359–3361. [Google Scholar] [CrossRef]
- Birner, S.; Zibold, T.; Andlauer, T.; Kubis, T.; Sabathil, M.; Trellakis, A.; Vogl, P. nextnano: General Purpose 3-D Simulations. IEEE Trans. Electron Devices 2007, 54, 2137–2142. [Google Scholar] [CrossRef]
- Miyake, H.; Lin, C.-H.; Tokoro, K.; Hiramatsu, K. Preparation of high-quality AlN on sapphire by high-temperature face-to-face annealing. J. Cryst. Growth 2016, 456, 155–159. [Google Scholar] [CrossRef]
- Uesugi, K.; Hayashi, Y.; Shojiki, K.; Miyake, H. Reduction of threading dislocation density and suppression of cracking in sputter-deposited AlN templates annealed at high temperatures. Appl. Phys. Express 2019, 12, 065501. [Google Scholar] [CrossRef]
- Hashimoto, S.; Akita, K.; Tanabe, T.; Nakahata, H.; Takeda, K.; Amano, H. Study of two-dimensional electron gas in AlGaN channel HEMTs with high crystalline quality. Phys. Status Solidi 2010, 7, 1938–1940. [Google Scholar] [CrossRef]
- Tokuda, H.; Hatano, M.; Yafune, N.; Hashimoto, S.; Akita, K.; Yamamoto, Y.; Kuzuhara, M. High Al Composition Al-GaN-Channel High-Electron-Mobility Transistor on AlN Substrate. Appl. Phys. Express 2010, 3, 12. [Google Scholar] [CrossRef]
- Yafune, N.; Hashimoto, S.; Akita, K.; Yamamoto, Y.; Kuzuhara, M. Low-Resistive Ohmic Contacts for AlGaN Channel High-Electron-MobilityTransistors Using Zr/Al/Mo/Au Metal Stack. Jpn. J. Appl. Phys. 2011, 50, 100202. [Google Scholar] [CrossRef]
- Baca, A.G.; Armstrong, A.M.; Allerman, A.A.; Douglas, E.A.; Sanchez, C.A.; King, M.P.; Coltrin, M.E.; Fortune, T.R.; Kaplar, R.J. An AlN/Al0.85Ga0.15N high electron mobility transistor. Appl. Phys. Lett. 2016, 109, 033509. [Google Scholar] [CrossRef]
- Baca, A.G.; Armstrong, A.M.; Klein, B.A.; Allerman, A.A.; Douglas, E.A.; Kaplar, R.J. Al-rich AlGaN based transistors. J. Vac. Sci. Technol. A 2020, 38, 020803. [Google Scholar] [CrossRef]
- Razzak, T.; Rajan, S.; Armstrong, A. Ultra-Wide Bandgap AlxGa1-xN Channel Transistors. Int. J. High Speed Electron. Syst. 2019, 28. [Google Scholar] [CrossRef]
- Harrouche, K.; Kabouche, R.; Okada, E.; Medjdoub, F. High Performance and Highly Robust AlN/GaN HEMTs for Millime-ter-Wave Operation. J. Electron Devices Soc. 2019, 7, 1145–1150. [Google Scholar] [CrossRef]
- Huang, T.; Liu, C.; Bergsten, J.; Jiang, H.; Lau, K.M.; Rorsman, N. Fabrication and improved performance of AlGaN/GaN HEMTs with regrown ohmic contacts and passivation-first process. In Proceedings of the 2016 Compound Semiconductor Week (CSW) [Includes 28th International Conference on Indium Phosphide & Related Materials (IPRM) & 43rd International Symposium on Compound Semiconductors (ISCS), Toyama, Japan, 26–30 June 2016. [Google Scholar]
- Pérez-Tomás, A.; Fontserè, A.; Llobet, J.; Placidi, M.; Rennesson, S.; Baron, N.; Chenot, S.; Moreno, J.C.; Cordier, Y. Analysis of the AlGaN/GaN vertical bulk current on Si, sapphire, and free-standing GaN substrates. J. Appl. Phys. 2013, 113, 174501. [Google Scholar] [CrossRef]
- Gaevski, M.; Mollah, S.; Hussain, K.; Letton, J.; Mamun, A.; Jewel, M.U.; Chandrashekhar, M.; Simin, G.; Khan, A. Ul-trawide bandgap AlxGa1–xN channel heterostructure field transistors with drain currents exceeding 1.3 A mm−1. Appl. Phys. Express 2020, 13, 094002. [Google Scholar] [CrossRef]
- Zhang, Y.; Li, Y.; Wang, J.; Shen, Y.; Du, L.; Li, Y.; Wang, Z.; Xu, S.; Zhang, J.; Hao, Y. High-Performance AlGaN Double Channel HEMTs with Improved Drain Current Density and High Breakdown Voltage. Nanoscale Res. Lett. 2020, 15, 1–7. [Google Scholar] [CrossRef]
- Xue, H.; Hwang, S.; Razzak, T.; Lee, C.; Ortiz, G.C.; Xia, Z.; Sohel, S.H.; Hwang, J.; Rajan, S.; Khan, A.; et al. All MOCVD grown Al0.7Ga0.3N/Al0.5Ga0.5N HFET: An approach to make ohmic contacts to Al-rich AlGaN channel transistors. Solid State Electron. 2020, 164, 107696. [Google Scholar] [CrossRef]
- Razzak, T.; Hwang, S.; Coleman, A.; Xue, H.; Sohel, S.H.; Bajaj, S.; Zhang, Y.; Lu, W.; Khan, A.; Rajan, S. Design of compo-sitionally graded contact layers for MOCVD grown high Al-content AlGaN transistors. Appl. Phys. Lett 2019, 115, 043502. [Google Scholar] [CrossRef]
- Bajaj, S.; Allerman, A.; Armstrong, A.; Razzak, T.; Talesara, V.; Sun, W.; Sohel, S.H.; Zhang, Y.; Lu, W.; Arehart, A.R.; et al. High Al-Content AlGaN Transistor With 0.5 A/mm Current Density and Lateral Breakdown Field Ex-ceeding 3.6 MV/cm. IEEE Electron Device Lett. 2018, 39, 2. [Google Scholar] [CrossRef]
- Li, Z.; Du, L.; Lou, J.; Jiang, Y.; Wang, K.; Wen, W.; Wang, Z.; Zhao, S.; Zhang, J.; Hao, Y. High-Breakdown-Voltage AlGaN Channel High-Electron-Mobility Transistors with Reduced Surface Field Technique. Phys. Stat. Solid. 2020, 217, 1900793. [Google Scholar] [CrossRef]
- Freedsman, J.J.; Hamada, T.; Miyoshi, M.; Egawa, T. Al2O3/AlGaN Channel Normally-Off MOSFET on Silicon with High Breakdown Voltage. IEEE Electron Device Lett. 2017, 38, 4. [Google Scholar] [CrossRef]
- Nanjo, T.; Imai, A.; Suzuki, Y.; Abe, Y.; Oishi, T.; Suita, M.; Yagyu, E.; Tokuda, Y. AlGaN Channel HEMT With Extremely High Breakdown Voltage. IEEE Trans. Electron Devices 2013, 60, 1046–1053. [Google Scholar] [CrossRef]






Publisher’s Note: MDPI stays neutral with regard to jurisdictional claims in published maps and institutional affiliations. |
© 2021 by the authors. Licensee MDPI, Basel, Switzerland. This article is an open access article distributed under the terms and conditions of the Creative Commons Attribution (CC BY) license (http://creativecommons.org/licenses/by/4.0/).
Share and Cite
Abid, I.; Mehta, J.; Cordier, Y.; Derluyn, J.; Degroote, S.; Miyake, H.; Medjdoub, F. AlGaN Channel High Electron Mobility Transistors with Regrown Ohmic Contacts. Electronics 2021, 10, 635. https://doi.org/10.3390/electronics10060635
Abid I, Mehta J, Cordier Y, Derluyn J, Degroote S, Miyake H, Medjdoub F. AlGaN Channel High Electron Mobility Transistors with Regrown Ohmic Contacts. Electronics. 2021; 10(6):635. https://doi.org/10.3390/electronics10060635
Chicago/Turabian StyleAbid, Idriss, Jash Mehta, Yvon Cordier, Joff Derluyn, Stefan Degroote, Hideto Miyake, and Farid Medjdoub. 2021. "AlGaN Channel High Electron Mobility Transistors with Regrown Ohmic Contacts" Electronics 10, no. 6: 635. https://doi.org/10.3390/electronics10060635
APA StyleAbid, I., Mehta, J., Cordier, Y., Derluyn, J., Degroote, S., Miyake, H., & Medjdoub, F. (2021). AlGaN Channel High Electron Mobility Transistors with Regrown Ohmic Contacts. Electronics, 10(6), 635. https://doi.org/10.3390/electronics10060635

