Time Efficient Unmanned Aircraft Systems Deployment in Disaster Scenarios Using Clustering Methods and a Set Cover Approach
Abstract
1. Introduction
2. Related Work
3. Problem Description
4. Proposed Approach
4.1. Set Covering Optimization Problem Formulation
4.2. Generating SCP Instances
| Algorithm 1 Single pass algorithm |
|
5. Redundancy and Connectivity
- perform a first phase of generating good positions of interest for the aircraft around ground targets,
- use an MIP solver to filter out as many positions generated in step 1 as possible and keep the ones that cover more efficiently the targets with the minimum number of aircraft, while at the same time satisfy the redundancy requirement,
- connect (only if necessary) the different components into a single one.
6. Experimental Results and Scalability of the Solution
6.1. Simulation Set-Up
6.2. Simulation Results
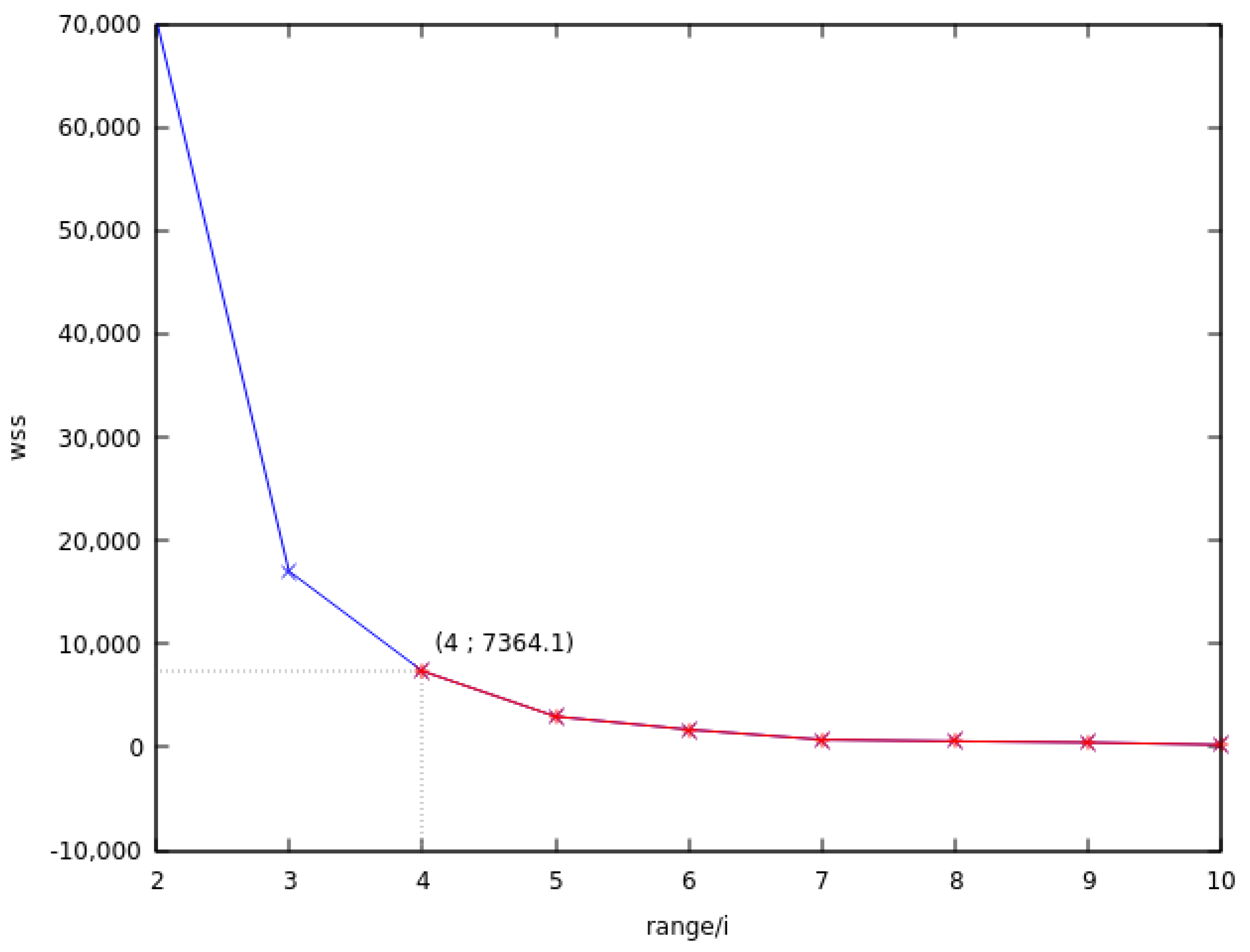
6.2.1. Results of First Series of Experiments
6.2.2. Scalability (Results of Second Series of Experiments)
- the cost of the clustering phase revolves on the number of targets but also on the distance between them, since the generated positions depend on these distances and thus the number of iterations until the stopping criterion is reached. This phase is the one with a relatively more consistent run-time growth that is unlikely to explode.
- the execution cost of the MIP solver depends on the number of targets (the constraints) and the positions generated in the first step (the decision variables), but it most importantly depends on the structure of the problem. Indeed, the branch-and-cut method used by glpk is most sensitive to the steps needed to reach the optimal integer solution than on the size of the problem.
- the time cost of the connectivity step depends on the gaps in the separate connected components.
7. Conclusions
Author Contributions
Funding
Conflicts of Interest
References
- Asimakopoulou, E.; Bessis, N.; Asimakopoulou, E.; Bessis, N. Advanced ICTs for Disaster Management and Threat Detection: Collaborative and Distributed Frameworks; Information Science Reference—Imprint of: IGI Publishing: Hershey, PA, USA, 2010. [Google Scholar]
- Reina, D.; Askalani, M.; Toral, S.; Barrero, F.; Asimakopoulou, E.; Bessis, N. A survey on multihop ad hoc networks for disaster response scenarios. Int. J. Distrib. Sens. Netw. 2015, 11, 647037. [Google Scholar] [CrossRef]
- Hayat, S.; Yanmaz, E.; Muzaffar, R. Survey on Unmanned Aerial Vehicle Networks for Civil Applications: A Communications Viewpoint. IEEE Commun. Surv. Tutorials 2016, 18, 2624–2661. [Google Scholar] [CrossRef]
- Gupta, L.; Jain, R.; Vaszkun, G. Survey of Important Issues in UAV Communication Networks. IEEE Commun. Surv. Tutorials 2016, 18, 1123–1152. [Google Scholar] [CrossRef]
- Sánchez-García, J.; García-Campos, J.; Arzamendia, M.; Reina, D.G.; Toral, S.; Gregor, D. A survey on unmanned aerial and aquatic vehicle multi-hop networks: Wireless communications, evaluation tools and applications. Comput. Commun. 2018, 119, 43–65. [Google Scholar] [CrossRef]
- Reina, D.G.; Toral, S.L.; Tawfik, H. UAVs Deployment in Disaster Scenarios Based on Global and Local Search Optimization Algorithms. In Proceedings of the 2016 9th International Conference on Developments in eSystems Engineering (DeSE), Liverpool, UK, 31 August–2 September 2016; pp. 197–202. [Google Scholar] [CrossRef]
- Galkin, B.; Kibilda, J.; DaSilva, L.A. Deployment of UAV-mounted access points according to spatial user locations in two-tier cellular networks. In Proceedings of the 2016 Wireless Days (WD), Toulouse, France, 23–25 March 2016; pp. 1–6. [Google Scholar] [CrossRef]
- Sánchez-García, J.; García-Campos, J.M.; Toral, S.L.; Reina, D.G.; Barrero, F. An Intelligent Strategy for Tactical Movements of UAVs in Disaster Scenarios. Int. J. Distrib. Sens. Netw. 2016, 12, 8132812. [Google Scholar] [CrossRef]
- Reina, D.G.; Tawfik, H.; Marín, S.L.T. Multi-subpopulation evolutionary algorithms for coverage deployment of UAV-networks. Ad Hoc Netw. 2018, 68, 16–32. [Google Scholar] [CrossRef]
- Gupta, S.K.; Kuila, P.; Jana, P.K. Genetic algorithm approach for k-coverage and m-connected node placement in target based wireless sensor networks. Comput. Electr. Eng. 2016, 56, 544–556. [Google Scholar] [CrossRef]
- Sabino, S.; Horta, N.; Grilo, A. Centralized Unmanned Aerial Vehicle Mesh Network Placement Scheme: A Multi-Objective Evolutionary Algorithm Approach. Sensors 2018, 18, 4387. [Google Scholar] [CrossRef] [PubMed]
- Caillouet, C.; Razafindralambo, T. Efficient Deployment of Connected Unmanned Aerial Vehicles for Optimal Target Coverage. In Proceedings of the IEEE GIIS 2017—Global Information Infrastructure and Networking Symposium, St. Pierre, France, 25–27 October 2017. [Google Scholar] [CrossRef]
- Yoon, Y.; Kim, Y. An Efficient Genetic Algorithm for Maximum Coverage Deployment in Wireless Sensor Networks. IEEE Trans. Cybern. 2013, 43, 1473–1483. [Google Scholar] [CrossRef] [PubMed]
- Konstantinidis, A.; Yang, K. Multi-objective K-connected Deployment and Power Assignment in WSNs using a problem-specific constrained evolutionary algorithm based on decomposition. Comput. Commun. 2011, 34, 83–98. [Google Scholar] [CrossRef]
- Gentili, M.; Raiconi, A. α-Coverage to extend network lifetime on wireless sensor networks. Optim. Lett. 2013, 7, 157–172. [Google Scholar] [CrossRef]
- Castaño, F.; Bourreau, E.; Velasco, N.; Rossi, A.; Sevaux, M. Exact approaches for lifetime maximization in connectivity constrained wireless multi-role sensor networks. Eur. J. Oper. Res. 2015, 241, 28–38. [Google Scholar] [CrossRef]
- Sánchez-García, J.; Reina, D.; Toral, S. A distributed PSO-based exploration algorithm for a UAV network assisting a disaster scenario. Future Gener. Comput. Syst. 2019, 90, 129–148. [Google Scholar] [CrossRef]
- Huang, C.F.; Tseng, Y.C. The Coverage Problem in a Wireless Sensor Network. Mob. Netw. Appl. 2005, 10, 519–528. [Google Scholar] [CrossRef]
- Karp, R.M. Reducibility among Combinatorial Problems. In Complexity of Computer Computations; Springer: Boston, MA, USA, 1972; pp. 85–103. [Google Scholar]
- Bradley, S.; Hax, A.; Magnanti, T. Applied Mathematical Programming; Addison-Wesley Publishing Company: Boston, MA, USA, 1977; pp. 272–319. [Google Scholar]
- Schweikardt, N. One-Pass Algorithm. In Encyclopedia of Database Systems; Springer: Boston, MA, USA, 2009; pp. 1948–1949. [Google Scholar] [CrossRef]
- Amini, M.R.; Gaussier, É.; Robertson, S.P. Recherche D’Information—Applications, Modèles et Algorithmes—Fouille de données, déCisionnel et Big Data; Eyrolles: Paris, France, 2013; Chapter 6; p. 165. [Google Scholar]
- Almeida, R.J.; Sousa, J.M.C. Comparison of fuzzy clustering algorithms for classification. In Proceedings of the 2006 International Symposium on Evolving Fuzzy Systems, Ambelside, UK, 7–9 September 2006; pp. 112–117. [Google Scholar] [CrossRef]
- Yu, J.; Qi, Y.; Wang, G.; Gu, X. A cluster-based routing protocol for wireless sensor networks with nonuniform node distribution. AEU Int. J. Electron. Commun. 2012, 66, 54–61. [Google Scholar] [CrossRef]
- Soro, S.; Heinzelman, W.B. Cluster head election techniques for coverage preservation in wireless sensor networks. Ad Hoc Netw. 2009, 7, 955–972. [Google Scholar] [CrossRef]
- Gearhart, J.L.; Adair, K.L.; Durfee, J.D.; Jones, K.A.; Martin, N.; Detry, R.J. Comparison of Open-Source Linear Programming Solvers; Technical Report; University of North Texas Libraries, Digital Library: Denton, TX, USA, 2013. [Google Scholar]
- Mackenzie, D.H. GNU Linear Programming Kit FAQ. 2004. Available online: https://www.cs.unb.ca/~bremner/docs/glpk/glpk_faq.txt (accessed on 9 January 2019).
- D’Andreagiovanni, F. On Improving the Capacity of Solving Large-scale Wireless Network Design Problems by Genetic Algorithms. Applications of Evolutionary Computation; Springer: Berlin/Heidelberg, Germany, 2011; pp. 11–20. [Google Scholar]












| Simulations Parameters | Simulation 1 | Simulation 2 |
|---|---|---|
| Area dimensions | 1000 m × 1000 m | (see Table 2) |
| Number of instances | 5 | 6 sets of 20 instances each |
| Number of targets per instances | [50, 75, 100, 125, 50] | (see Table 2) |
| Mobility of grounds nodes | static | static |
| Range of aircraft | 125 m | 125 m |
| 2nd Simulation Parameters | Number of Instances (Number of Targets per Instance) | Average Area Dimensions | Quartiles of Standard Deviations of Targets in Instances (1st Quartile, 2nd, and 3rd) |
|---|---|---|---|
| set 1 | 20 ) | 871.6 m × 866.9 m | 178.11, 230.34, 284.21 |
| set 2 | 20 ) | 1210.5 m × 1212.1 m | 271.88, 331.50, 382.89 |
| set 3 | 20 ) | 1564.6 m × 1568.2 m | 375.19, 434.08, 508.99 |
| set 4 | 20 ) | 1915.6 m × 1912.1 m | 489.15, 534.49, 603.94 |
| set 5 | 20 ) | 2265.9 m × 2263.5 m | 612.87, 660.76, 697.05 |
| set 6 | 20 ) | 2609.3 m × 2609.9 m | 705.20, 747.64, 809.67 |
| Instances | p of (6) | Number of Active Locations | , of (3) | CPU Time (in secs) | ||
|---|---|---|---|---|---|---|
| 1st Phase | 2nd (SCP Results) | Final Graph | ||||
| 1 (Figure 6a) | 1 | 36 | 2 | 5 | 81 | 0.005642 |
| 1 (Figure 6a) | 2 | 36 | 4 | 7 | 131 | 0.007040 |
| 2 (Figure 6b) | 1 | 64 | 17 | 35 | 216 | 0.012458 |
| 2 (Figure 6b) | 2 | 64 | 35 | 48 | 267 | 0.015921 |
| 3 (Figure 6c) | 1 | 83 | 17 | 33 | 281 | 0.016422 |
| 3 (Figure 6c) | 2 | 83 | 36 | 49 | 376 | 0.019009 |
| 4 (Figure 6d) | 1 | 105 | 19 | 39 | 351 | 0.018976 |
| 4 (Figure 6d) | 2 | 105 | 42 | 56 | 472 | 0.022005 |
| 5 (Figure 6e) | 1 | 50 | 50 | 97 | 158 | 0.015618 |
| 5 (Figure 6e) | 2 | 50 | 100 | 147 | 208 | 0.044414 |
Publisher’s Note: MDPI stays neutral with regard to jurisdictional claims in published maps and institutional affiliations. |
© 2021 by the authors. Licensee MDPI, Basel, Switzerland. This article is an open access article distributed under the terms and conditions of the Creative Commons Attribution (CC BY) license (http://creativecommons.org/licenses/by/4.0/).
Share and Cite
Mahoro Ntwari, D.; Gutierrez-Reina, D.; Toral Marín, S.L.; Tawfik, H. Time Efficient Unmanned Aircraft Systems Deployment in Disaster Scenarios Using Clustering Methods and a Set Cover Approach. Electronics 2021, 10, 422. https://doi.org/10.3390/electronics10040422
Mahoro Ntwari D, Gutierrez-Reina D, Toral Marín SL, Tawfik H. Time Efficient Unmanned Aircraft Systems Deployment in Disaster Scenarios Using Clustering Methods and a Set Cover Approach. Electronics. 2021; 10(4):422. https://doi.org/10.3390/electronics10040422
Chicago/Turabian StyleMahoro Ntwari, Donald, Daniel Gutierrez-Reina, Sergio Luis Toral Marín, and Hissam Tawfik. 2021. "Time Efficient Unmanned Aircraft Systems Deployment in Disaster Scenarios Using Clustering Methods and a Set Cover Approach" Electronics 10, no. 4: 422. https://doi.org/10.3390/electronics10040422
APA StyleMahoro Ntwari, D., Gutierrez-Reina, D., Toral Marín, S. L., & Tawfik, H. (2021). Time Efficient Unmanned Aircraft Systems Deployment in Disaster Scenarios Using Clustering Methods and a Set Cover Approach. Electronics, 10(4), 422. https://doi.org/10.3390/electronics10040422

