An Adaptive Backstepping Sliding Mode Cascade-Control Method for a DC Microgrid Based on Nonlinear Virtual Inertia
Abstract
:1. Introduction
2. DC Microgrid Structure and Modeling
2.1. System Structure and Working Principle
2.2. Main Circuit Model
3. Nonlinear Virtual Inertial Droop Control
3.1. The Principle of the Droop Control
3.2. Nonlinear Virtual Inertia Control Based on Variable Droop Coefficient
4. Design of Adaptive Backstepping Sliding Mode Controller
4.1. Design of Backstepping Sliding Mode Controller
- Step 1
- Step 2
4.2. Design of Adaptive Backstepping Sliding Mode Controller
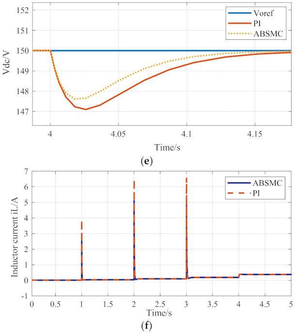
5. System Simulation and Analysis
5.1. Voltage and Current Double Closed-Loop Cascade Control
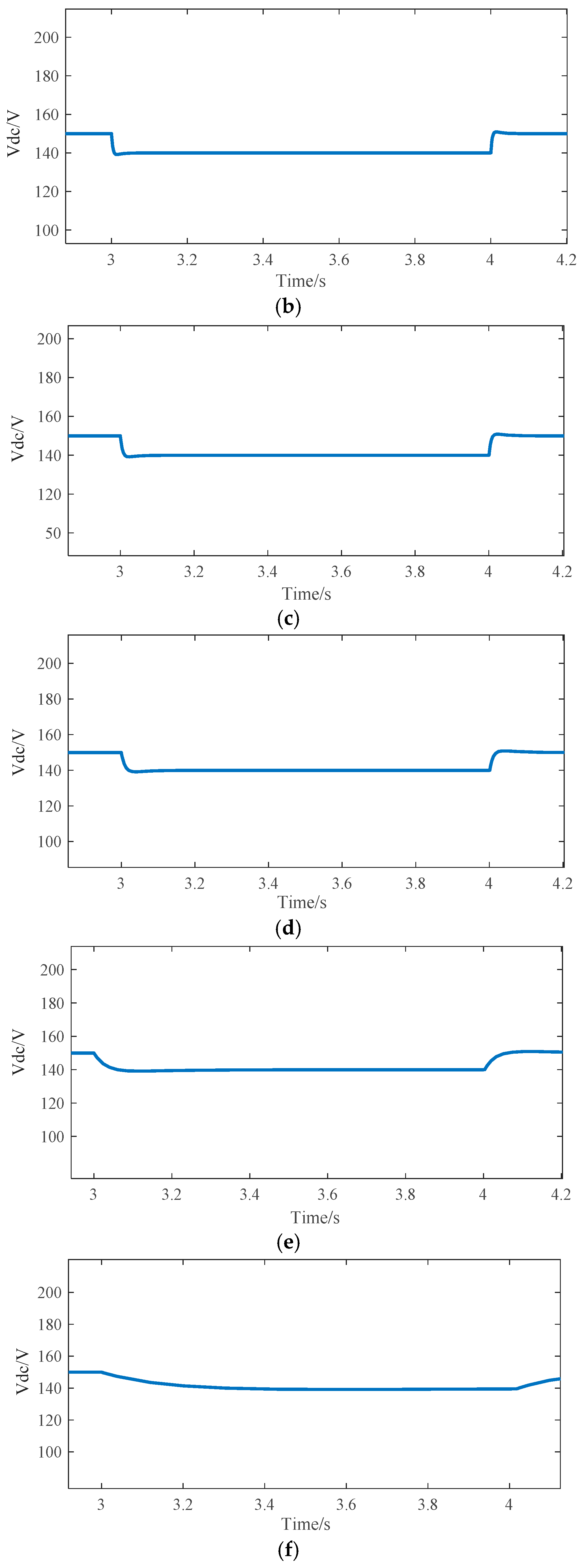
5.2. Three-Level Cascade Control with Virtual Inertia
5.3. Three-Level Cascade Control under Continuous Dynamic Changes
6. Conclusions
Author Contributions
Funding
Data Availability Statement
Conflicts of Interest
Nomenclature
| Vs | Distributed DC power supply | Qmax | Upper limit of the variation range of the droop coefficient |
| Vdc | Converter output voltage | Qmin | Lower limit of the variation range of the droop coefficient |
| dVdc/dt | Converter output voltage variation rate | Variable droop coefficient with finite amplitude | |
| idc | Converter output current | zV | Voltage tracking error |
| iL | Current flowing through inductor L | zi | Current tracking error |
| Vo | DC bus voltage | Voltage tracking error virtual control volume | |
| Vo ref | DC bus voltage reference value | Current tracking error virtual control volume | |
| Vdc ref | Reference voltage for voltage control loop | σV | Voltage Controller sliding surface switching function |
| iLref | Reference currents for current control loop | σi | Current controller sliding surface switching function |
| uc | PWM duty cycle control signal | zV1 | New voltage tracking error |
| mV | Voltage controller control law | zi1 | New current tracking error |
| mi | Current controller control law | Estimation error of | |
| FV | Voltage loop uncertainty disturbance term | Estimation error of | |
| Fi | Current loop uncertainty disturbance term | Estimated value of | |
| Vo max | DC bus voltage upper boundary | Estimated value of | |
| Vo min | DC bus voltage lower boundary | Actual value of | |
| idc, ch_lim | Converter current upper boundary | Actual value of | |
| idc, disch_lim | Converter current lower boundary | mV eq | Equivalent control law of voltage controller |
| Q0 | Original droop coefficient | mV s | Switching control law of voltage controller |
| Q1 | Droop coefficient of the system at steady state | mi eq | Equivalent control law of current controller |
| Q2 | System dynamic adjustment coefficient | mi s | Switching control law of current controller |
| VV1, VV2, VV3 | Voltage controller Lyapunov functions | Vi1, Vi2, Vi3 | Current controller Lyapunov functions |
References
- Elavarasan, R.M.; Shafiullah, G.M.; Padmanaban, S.; Kumar, N.M.; Annam, A.; Vetrichelvan, A.M.; Mihet-Popa, L.; Holm-Nielsen, J.B. A Comprehensive Review on Renewable Energy Development, Challenges, and Policies of Leading Indian States with an International Perspective. J. IEEE Access 2020, 8, 74432–74457. [Google Scholar] [CrossRef]
- Nejabatkhah, F.; Li, Y.W.; Tian, H. Power Quality Control of Smart Hybrid AC/DC Microgrids: An Overview. J. IEEE Access 2019, 7, 52295–52318. [Google Scholar] [CrossRef]
- Dragicevic, T.; Lu, X.; Vasquez, J.C.; Guerrero, J. DC Microgrids—Part II: A Review of Power Architectures, Applications, and Standardization Issues. J. IEEE Trans. Power Electron. 2016, 31, 3528–3549. [Google Scholar] [CrossRef] [Green Version]
- Guerrero, J.M.; Vasquez, J.C.; Matas, J.; de Vicuna, L.G.; Castilla, M. Hierarchical control of droop-controlled ac and dc microgrids—A general approach toward standardization. J. Ind. Electron. IEEE Trans. 2011, 58, 158–172. [Google Scholar] [CrossRef]
- Dragicevic, T.; Guerrero, J.; Vasquez, J.C.; Skrlec, D. Supervisory control of an adaptive-droop regulated dc microgrid with battery management capability. J. IEEE Trans. Power Electron. 2014, 29, 695–706. [Google Scholar] [CrossRef] [Green Version]
- Huang, P.-H.; Xiao, W.; El Moursi, M.S. A practical load sharing control strategy for DC microgrids and DC supplied houses. In Proceedings of the IECON 2013-39th Annual Conference of the IEEE Industrial Electronics Societ, Vienna, Austria, 10–13 November 2013; pp. 7124–7128. [Google Scholar]
- Manandhar, U.; Wang, B.; Zhang, X.; Beng, G.H.; Liu, Y.; Ukil, A.; Gooi, H.B. Joint Control of Three-Level DC–DC Converter Interfaced Hybrid Energy Storage System in DC Microgrids. J. IEEE Trans. Energy Convers. 2019, 34, 2248–2257. [Google Scholar] [CrossRef]
- Unamuno, E.; Paniagua, J.; Barrena, J.A. Unified Virtual Inertia for ac and dc Microgrids: And the Role of Interlinking Converters. J. IEEE Electrif. Mag. 2019, 7, 56–68. [Google Scholar] [CrossRef]
- D’Arco, S.; Suul, J.A. Equivalence of Virtual Synchronous Machines and Frequency-Droops for Converter-Based MicroGrids. J. IEEE Trans. Smart Grid 2014, 5, 394–395. [Google Scholar] [CrossRef]
- Zhang, X.; Zhong, Q.C.; Ming, W.L. Stabilization of Cascaded DC/DC Converters via Adaptive Series-Virtual-Impedance Control of the Load Converter. J. IEEE Trans. Power Electron. 2016, 31, 6057–6063. [Google Scholar] [CrossRef]
- Mendez-Diaz, F.; Pico, B.; Vidal-Idiarte, E.; Calvente, J.; Giral, R. HM/PWM Seamless Control of a Bidirectional Buck-Boost Converter for a Photovoltaic Application. J. IEEE Trans. Power Electron. 2019, 34, 2887–2899. [Google Scholar] [CrossRef]
- Liu, S.; Xie, X.; Yang, L. Analysis, Modeling and Implementation of a Switching Bi-Directional Buck-Boost Converter Based on Electric Vehicle Hybrid Energy Storage for V2G System. J. IEEE Access 2020, 8, 65868–65879. [Google Scholar] [CrossRef]
- Restrepo, C.; Konjedic, T.; Flores-Bahamonde, F.; Vidal-Idiarte, E.; Calvente, J.; Giral, R. Multisampled Digital Average Current Controls of the Versatile Buck-Boost Converter. J. IEEE J. Emerg. Sel. Top. Power Electron. 2019, 7, 879–890. [Google Scholar] [CrossRef]
- Chandrasekar, B.; Nallaperumal, C.; Padmanaban, S.; Bhaskar, M.S.; Holm-Nielsen, J.B.; Leonowicz, Z.; Masebinu, S.O. Non-Isolated High-Gain Triple Port DC–DC Buck-Boost Converter with Positive Output Voltage for Photovoltaic Applications. J. IEEE Access 2020, 8, 113649–113666. [Google Scholar] [CrossRef]
- Rana, N.; Banerjee, S. Development of an Improved Input-Parallel Output-Series Buck-Boost Converter and Its Closed-Loop Control. J. IEEE Trans. Ind. Electron. 2019, 67, 6428–6438. [Google Scholar] [CrossRef]
- Weng, X.; Zhao, Z.; Chen, K.; Yuan, L.; Jiang, Y. A Nonlinear Control Method for Bumpless Mode Transition in Noninverting Buck-Boost Converter. J. IEEE Trans. Power Electron. 2021, 36, 2166–2178. [Google Scholar] [CrossRef]
- Biricik, S.; Komurcugil, H.; Ahmed, H.; Babaei, E. Super Twisting Sliding-Mode Control of DVR with Frequency-Adaptive Brockett Oscillator. J. IEEE Trans. Ind. Electron. 2021, 68, 10730–10739. [Google Scholar] [CrossRef]
- Sami, I.; Abid, A.; Khan, N.; Zaid, M.M.; Ahmad, H.; Ali, H. Supertwisting Sliding Mode Control of Multi-converter MVDC power systems under constant power loads. In Proceedings of the 2021 IEEE 4th International Conference on Computing, Power and Communication Technologies (GUCON), Kuala Lumpur, Malaysia, 24–29 September 2021; pp. 1–5. [Google Scholar]
- Wang, Y.; Ruan, X.; Leng, Y.; Li, Y. Hysteresis Current Control for Multilevel Converter in Parallel-Form Switch-Linear Hybrid Envelope Tracking Power Supply. J. IEEE Trans. Power Electron. 2019, 34, 1950–1959. [Google Scholar] [CrossRef]
- Bellinaso, L.V.; Figueira, H.H.; Basquera, M.F.; Vieira, R.P.; Gründling, H.A.; Michels, L. Cascade Control with Adaptive Voltage Controller applied to Photovoltaic Boost Converters. J. IEEE Trans. Ind. Appl. 2019, 55, 1903–1912. [Google Scholar] [CrossRef]
- Restrepo, C.; Konjedic, T.; Calvente, J.; Milanovic, M.; Giral, R. Fast Transitions Between Current Control Loops of the Coupled-Inductor Buck–Boost DC–DC Switching Converter. J. IEEE Trans. Power Electron. 2013, 28, 3648–3652. [Google Scholar] [CrossRef]
- Feng, Y.; Yu, X.; Han, F. On nonsingular terminal sliding-mode control of nonlinear systems. J. Autom. 2013, 49, 1715–1722. [Google Scholar] [CrossRef]
- Baharizadeh, M.; Golsorkhi, M.S.; Shahparasti, M.; Savaghebi, M. A Two-layer Control Scheme Based on P-V Droop Characteristic for Accurate Power Sharing and Voltage Regulation in DC Microgrids. J. IEEE Trans. Smart Grid 2021, 12, 2776–2787. [Google Scholar] [CrossRef]
- Samanta, S.; Mishra, J.P.; Roy, B.K. Implementation of a virtual inertia control for inertia enhancement of a DC microgrid under both grid connected and isolated operation. J. Comput. Electr. Eng. 2019, 76, 283–298. [Google Scholar] [CrossRef]
- Srinivasan, M.; Kwasinski. A. Control analysis of parallel DC-DC converters in a DC microgrid with constant power loads. J. Int. J. Electr. Power Energy Syst. 2020, 122, 106207. [Google Scholar] [CrossRef]
- Song, S.; Zhang, B.; Xia, J.; Zhang, Z. Adaptive Backstepping Hybrid Fuzzy Sliding Mode Control for Uncertain Fractional-Order Nonlinear Systems Based on Finite-Time Scheme. IEEE Trans. Syst. Man Cybern. Syst. 2020, 50, 1559–1569. [Google Scholar] [CrossRef]
- Wu, J.; Lu, Y. Adaptive Backstepping Sliding Mode Control for Boost Converter with Constant Power Load. J. IEEE Access 2019, 7, 50797–50807. [Google Scholar] [CrossRef]
- Liu, S.Q.; Whidborne, J.F.; He, L. Backstepping sliding-mode control of stratospheric airships using disturbance-observer–ScienceDirect. J. Adv. Space Res. 2020, 67, 1174–1187. [Google Scholar] [CrossRef]
- Liu, S.Q. Adaptive sliding-mode-backstepping trajectory tracking control of underactuated airships. J. Aerosp. Sci. Technol. 2020, 97, 1–13. [Google Scholar] [CrossRef]













| Parameter Name | Numerical Value |
|---|---|
| DC power supply Vs | 100 V |
| Inductance L | 5 mH |
| Resistance R | 0.1 Ω |
| Capacitance C | 4700 μF |
| Load RL | 200 Ω |
| PWM switching frequency fsw | 10 kHz |
| Voltage and current sampling frequency fsm | 10 kHz |
| Current Control | Parameter Value | Voltage Control | Parameter Value |
|---|---|---|---|
| c1 | 20 | c2 | 0.2 |
| h1 | 7.5 | h2 | 15.5 |
| γ1 | 0.1 | γ2 | 50 |
| β1 | 1 | β2 | 10 |
| k1 | 10 | k2 | 0.1 |
| Current Control | Parameter Value | Voltage Control | Parameter Value |
|---|---|---|---|
| kpi | 1.2 | kpv | 0.45 |
| kii | 0.6 | kiv | 4.5 |
| Parameter Name | Parameter Value | Parameter Name | Parameter Value |
|---|---|---|---|
| Q1 | 7.5 | Qmax | 30 |
| Q2 | 25 | Qmin | 15 |
| RL Change to 100 Ω | RL Change to 200 Ω | |||||
|---|---|---|---|---|---|---|
| Control Strategy | Overshoot | Transition Time /ms | IAE | Overshoot | Transition Time /ms | IAE |
| PIdroop | 3% | 70 | 0.154 | 3.13% | 70 | 0.168 |
| PIVIC | 2.13% | 65 | 0.1295 | 2.13% | 64 | 0.129 |
| ABSMCdroop | 2.47% | 65 | 0.11 | 2.6% | 64 | 0.1125 |
| ABSMCVIC | 1.47% | 60 | 0.063 | 1.53% | 60 | 0.0615 |
Publisher’s Note: MDPI stays neutral with regard to jurisdictional claims in published maps and institutional affiliations. |
© 2021 by the authors. Licensee MDPI, Basel, Switzerland. This article is an open access article distributed under the terms and conditions of the Creative Commons Attribution (CC BY) license (https://creativecommons.org/licenses/by/4.0/).
Share and Cite
Mao, J.; Zhang, X.; Dai, T.; Wu, A.; Yin, C. An Adaptive Backstepping Sliding Mode Cascade-Control Method for a DC Microgrid Based on Nonlinear Virtual Inertia. Electronics 2021, 10, 3100. https://doi.org/10.3390/electronics10243100
Mao J, Zhang X, Dai T, Wu A, Yin C. An Adaptive Backstepping Sliding Mode Cascade-Control Method for a DC Microgrid Based on Nonlinear Virtual Inertia. Electronics. 2021; 10(24):3100. https://doi.org/10.3390/electronics10243100
Chicago/Turabian StyleMao, Jingfeng, Xiaotong Zhang, Tengfei Dai, Aihua Wu, and Chunyun Yin. 2021. "An Adaptive Backstepping Sliding Mode Cascade-Control Method for a DC Microgrid Based on Nonlinear Virtual Inertia" Electronics 10, no. 24: 3100. https://doi.org/10.3390/electronics10243100
APA StyleMao, J., Zhang, X., Dai, T., Wu, A., & Yin, C. (2021). An Adaptive Backstepping Sliding Mode Cascade-Control Method for a DC Microgrid Based on Nonlinear Virtual Inertia. Electronics, 10(24), 3100. https://doi.org/10.3390/electronics10243100
