Single-Sensor EMI Source Localization Using Time Reversal: An Experimental Validation
Abstract
:1. Introduction
2. Methodology
2.1. The Geometry of the Problem
2.2. Description of the Experimental Setup
2.3. Numerical Simulation
3. Numerical and Experimental Results
3.1. Numerical Simulations
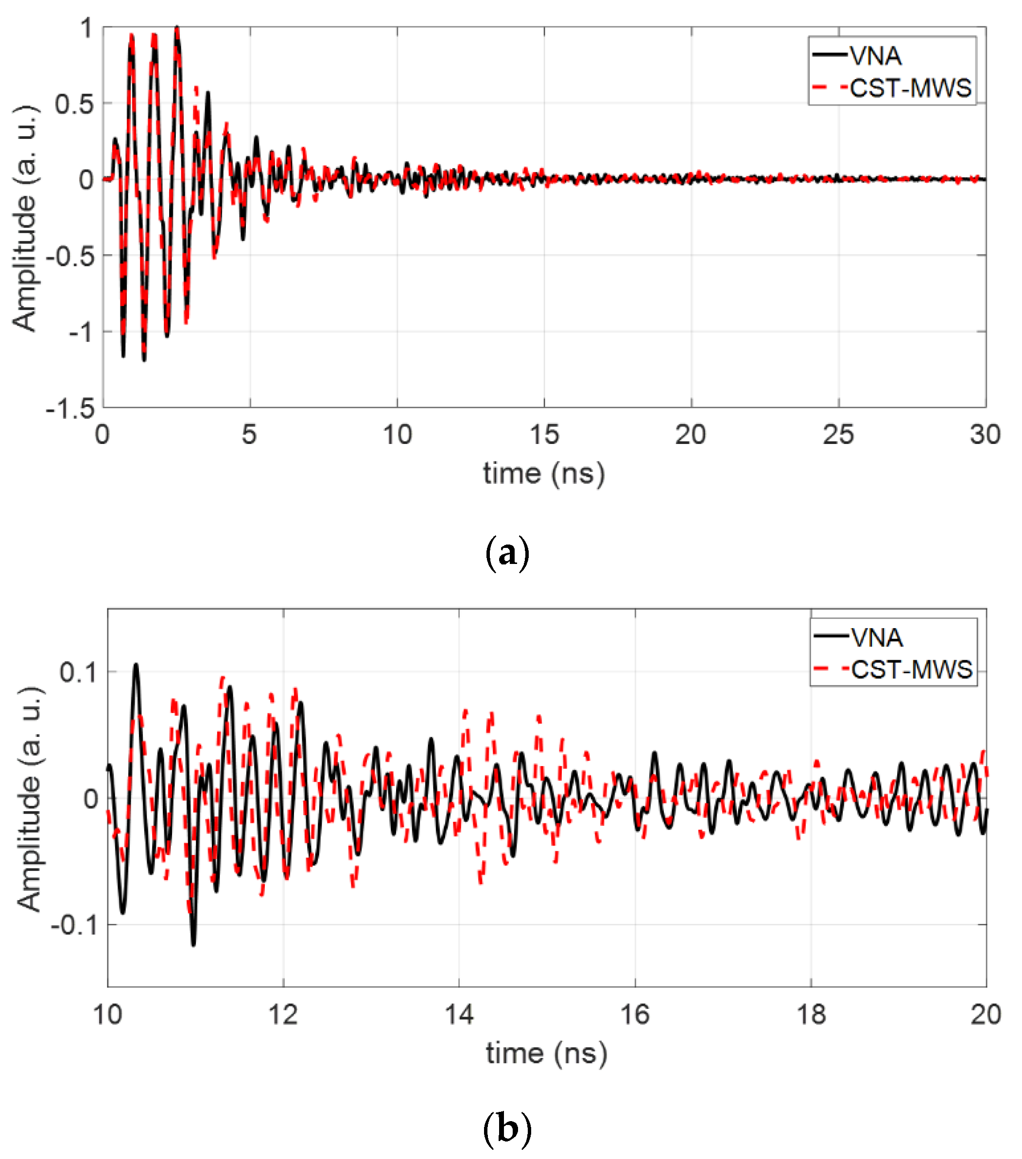
3.2. Model Validation
3.3. Experimental Validation
4. Conclusions
Author Contributions
Funding
Institutional Review Board Statement
Informed Consent Statement
Data Availability Statement
Conflicts of Interest
References
- Zaridze, R.; Tabatadze, V.; Petoev, I.; Kakulia, D.; Tchabukiani, T. Emission source localization using the method of auxiliary sources. In Proceedings of the IEEE International Symposium on Electromagnetic Compatibility, Wroclaw, Poland, 5–9 September 2016; pp. 829–834. [Google Scholar]
- Hao, X.C.; Xie, S.G.; Zeng, X.Y.; Du, X.; Wang, C. A near-field radiation source localization method based on passive synthetic arrays using single channel receiver. In Proceedings of the 2015 IEEE 6th International Symposium on Microwave, Antenna, Propagation, and EMC Technologies (MAPE), Shanghai, China, 28–30 October 2015; pp. 31–35. [Google Scholar]
- Kuznetsov, Y.; Baev, A.; Gorbunova, A.; Konovalyuk, M.; Thomas, D.; Smartt, C.; Baharuddin, M.H.; Russer, J.A.; Russer, P. Localization of the equivalent sources on the PCB surface by using ultra-wideband time domain near-field measurements. In Proceedings of the IEEE International Symposium on Electromagnetic Compatibility, Wroclaw, Poland, 5–9 September 2016; pp. 1–6. [Google Scholar]
- Maheshwari, P.; Kajbaf, H.; Khilkevich, V.V.; Pommerenke, D. Emission Source Microscopy Technique for EMI Source Localization. IEEE Trans. Electromagn. Compat. 2016, 58, 729–737. [Google Scholar] [CrossRef]
- Rachidi, F.; Rubinstein, M.; Paolone, M. Electromagnetic Time Reversal: Application to EMC and Power Systems; Wiley: New York, NY, USA, 2017. [Google Scholar]
- El-Sallabi, H.; Kyritsi, P.; Paulraj, A.; Papanicolaou, G. Experimental Investigation on Time Reversal Precoding for Space–Time Focusing in Wireless Communications. IEEE Trans. Instrum. Meas. 2010, 59, 1537–1543. [Google Scholar] [CrossRef]
- Lerosey, G.; De Rosny, J.; Tourin, A.; Derode, A.; Fink, M. Time reversal of wideband microwaves. Appl. Phys. Lett. 2006, 88, 154101. [Google Scholar] [CrossRef]
- Lerosey, G.; De Rosny, J.; Tourin, A.; Derode, A.; Montaldo, G.; Fink, M. Time Reversal of Electromagnetic Waves. Phys. Rev. Lett. 2004, 92, 193904. [Google Scholar] [CrossRef]
- Wu, B.; Gao, Y.; Laviada, J.; Ghasr, M.T.; Zoughi, R. Time-Reversal SAR Imaging for Nondestructive Testing of Circular and Cylindrical Multilayered Dielectric Structures. IEEE Trans. Instrum. Meas. 2019, 69, 2057–2066. [Google Scholar] [CrossRef] [Green Version]
- Wang, Q.; Xu, Y.; Su, Z.; Cao, M.; Yue, N. An Enhanced Time-Reversal Imaging Algorithm-Driven Sparse Linear Array for Progressive and Quantitative Monitoring of Cracks. IEEE Trans. Instrum. Meas. 2018, 68, 3433–3445. [Google Scholar] [CrossRef]
- Liu, D.; Vasudevan, S.; Krolik, J.; Bal, G.; Carin, L. Electromagnetic Time-Reversal Source Localization in Changing Media: Experiment and Analysis. IEEE Trans. Antennas Propag. 2007, 55, 344–354. [Google Scholar] [CrossRef] [Green Version]
- Mora, N.; Rachidi, F.; Rubinstein, M. Application of the time reversal of electromagnetic fields to locate lightning discharges. Atmos. Res. 2012, 117, 78–85. [Google Scholar] [CrossRef]
- Karami, H.; Azadifar, M.; Mostajabi, A.; Rubinstein, M.; Rachidi, F. Numerical and Experimental Validation of Electromagnetic Time Reversal for Geolocation of Lightning Strikes. IEEE Trans. Electromagn. Compat. 2020, 62, 2156–2163. [Google Scholar] [CrossRef]
- Karami, H.; Azadifar, M.; Mostajabi, A.; Favrat, P.; Rubinstein, M.; Rachidi, F. Localization of Electromagnetic Interference Sources Using a Time-Reversal Cavity. IEEE Trans. Ind. Electron. 2021, 68, 654–662. [Google Scholar] [CrossRef]
- Wang, Z.; Rachidi, F.; Paolone, M.; Rubinstein, M.; Razzaghi, R. A Closed Time-Reversal Cavity for Electromagnetic Waves in Transmission Line Networks. IEEE Trans. Antennas Propag. 2021, 69, 1621–1630. [Google Scholar] [CrossRef]
- Lugrin, G.; Parra, N.M.; Rachidi, F.; Rubinstein, M.; Diendorfer, G. On the Location of Lightning Discharges Using Time Reversal of Electromagnetic Fields. IEEE Trans. Electromagn. Compat. 2014, 56, 149–158. [Google Scholar] [CrossRef]
- Nobrega, L.A.M.M.; Costa, E.G.; Serres, A.J.R.; Xavier, G.V.R.; Aquino, M.V.D. UHF Partial Discharge Location in Power Transformers via Solution of the Maxwell Equations in a Computational Environment. Sensors 2019, 19, 3435. [Google Scholar] [CrossRef] [PubMed] [Green Version]
- Karami, H.; Rachidi, F.; Rubinstein, M. On Practical Implementation of Electromagnetic Time Reversal to Locate Lightning. In Proceedings of the 23rd International Lightning Detection Conference (ILDC), Tucson, AZ, USA, 18–21 March 2014. [Google Scholar]
- Karami, H.; Rachidi, F.; Rubinstein, M. On the use of Electromagnetic Time Reversal for lightning location. In Proceedings of the 2015 1st URSI Atlantic Radio Science Conference (URSI AT-RASC), Gran Canaria, Spain, 16–24 May 2015. [Google Scholar]
- Wang, T.; Qiu, S.; Shi, L.-H.; Li, Y. Broadband VHF Localization of Lightning Radiation Sources by EMTR. IEEE Trans. Electromagn. Compat. 2017, 59, 1949–1957. [Google Scholar] [CrossRef]
- Wang, T.; Shi, L.-H.; Qiu, S.; Sun, Z.; Zhang, Q.; Duan, Y.-T.; Liu, B. Multiple-Antennae Observation and EMTR Processing of Lightning VHF Radiations. IEEE Access 2018, 6, 26558–26566. [Google Scholar] [CrossRef]
- Liu, B.; Shi, L.-H.; Qiu, S.; Liu, H.-Y.; Sun, Z.; Guo, Y.-F. Three-Dimensional Lightning Positioning in Low-Frequency Band Using Time Reversal in Frequency Domain. IEEE Trans. Electromagn. Compat. 2019, 62, 774–784. [Google Scholar] [CrossRef]
- Karami, H.; Mostajabi, A.; Azadifar, M.; Wang, Z.; Rubinstein, M.; Rachidi, F. Locating Lightning Using Electromagnetic Time Reversal: Application of the Minimum Entropy Criterion. In Proceedings of the International Symposium on Lightning Protection (XV SIPDA), Sao Paulo, Brazil, 30 September–4 October 2019. [Google Scholar]
- Karami, H.; Azadifar, M.; Rubinstein, M.; Karami, H.; Gharehpetian, G.B.; Rachidi, F. Partial Discharge Localization Using Time Reversal: Application to Power Transformers. Sensors 2020, 20, 1419. [Google Scholar] [CrossRef] [PubMed] [Green Version]
- Azadifar, M.; Karami, H.; Wang, Z.; Rubinstein, M.; Rachidi, F.; Karami, H.; Ghasemi, A.; Gharehpetian, G.B. Partial Discharge Localization Using Electromagnetic Time Reversal: A Performance Analysis. IEEE Access 2020, 8, 147507–147515. [Google Scholar] [CrossRef]
- Karami, H.; Azadifar, M.; Rubinstein, M.; Rachidi, F. An experimental validation of partial discharge localization using electromagnetic time reversal. Sci. Rep. 2021, 11, 1–12. [Google Scholar] [CrossRef] [PubMed]
- Karami, H.; Azadifar, M.; Mostajabi, A.; Rubinstein, M.; Rachidi, F. Localization of Electromagnetic Interference Source Using a Time Reversal Cavity: Application of the Maximum Power Criterion. In Proceedings of the IEEE International Symposium on Electromagnetic Compatibility, Signal Integrity and Power Integrity, Reno, NV, USA, 28 July–28 August 2020. [Google Scholar]
- Paul, C.R. Introduction to Electromagnetic Compatibility, 2nd ed.; Wiley: New York, NY, USA, 2006. [Google Scholar]
- Bal, G.; Ram, R.; Ver´astegui, R.; Ver´astegui, V. Time Reversal In Changing Environments. Soc. Ind. Appl. Math. 2004, 2, 639–661. [Google Scholar] [CrossRef]
- Wang, Z.; Hamidreza, K.; Parisa, D.; Seyed, S.; Hesmedin, H.; Reza, R.; Mario, P.; Marcos, R.; Farhad, R. An Experimental Study on Electromagnetic Time Reversal Focusing Property in Mismatched Media. In Proceedings of the URSI GASS, Sapienza Faculty of Engineering, Rome, Italy, 28 August–4 September 2021. [Google Scholar]











Publisher’s Note: MDPI stays neutral with regard to jurisdictional claims in published maps and institutional affiliations. |
© 2021 by the authors. Licensee MDPI, Basel, Switzerland. This article is an open access article distributed under the terms and conditions of the Creative Commons Attribution (CC BY) license (https://creativecommons.org/licenses/by/4.0/).
Share and Cite
Karami, H.; Azadifar, M.; Wang, Z.; Rubinstein, M.; Rachidi, F. Single-Sensor EMI Source Localization Using Time Reversal: An Experimental Validation. Electronics 2021, 10, 2448. https://doi.org/10.3390/electronics10192448
Karami H, Azadifar M, Wang Z, Rubinstein M, Rachidi F. Single-Sensor EMI Source Localization Using Time Reversal: An Experimental Validation. Electronics. 2021; 10(19):2448. https://doi.org/10.3390/electronics10192448
Chicago/Turabian StyleKarami, Hamidreza, Mohammad Azadifar, Zhaoyang Wang, Marcos Rubinstein, and Farhad Rachidi. 2021. "Single-Sensor EMI Source Localization Using Time Reversal: An Experimental Validation" Electronics 10, no. 19: 2448. https://doi.org/10.3390/electronics10192448
APA StyleKarami, H., Azadifar, M., Wang, Z., Rubinstein, M., & Rachidi, F. (2021). Single-Sensor EMI Source Localization Using Time Reversal: An Experimental Validation. Electronics, 10(19), 2448. https://doi.org/10.3390/electronics10192448

