1. Introduction
Coherent power combine is one of the most important directions in the high-power microwave (HPM) field, while the research of ~100 gigawatts HPM sources is gradually an important trend [
1,
2,
3,
4]. Relativistic klystron amplifiers (RKAs) have been considered as an effective method to realize coherent power combine, which can achieve an equivalent radiant power beyond the breakdown limit. So far, L-band, S-band and X-band RKAs have been obtained by GW-level output power and hundred nanosecond output [
5,
6,
7,
8]. As the frequency of HPM sources rises to the Ku-band, the power handling capability decreases with small size of devices [
9]. As a result, problems like RF breakdown and pulse shortening would be produced, which greatly hinders the development of high-power and long-pulse HPM sources.
Triaxial klystron amplifiers (TKAs) with a large radius have power handling capability, which can be a potential Ku-band HPM source to obtain GW-level output power. However, the efficiency of TKAs is still less than 40%, while traditional KW-level klystrons can obtain a more than 80% RF power production efficiency [
10,
11]. The design of traditional KW-level klystrons proposes several methods, such as multiple cascaded bunching cavities, long drift tube length, and a second harmonic cavity, to bunch electrons as soon as possible and achieve high-efficiency as a result. According to the design of traditional KW-level klystrons, it is clear that deep modulation of the electron beam is essential for a high microwave conversion efficiency. Considering the particularity of TKAs, we choose multiple cascaded bunching cavities to interact with the electron beams to obtain deeply clustered electrons.
The design and optimization of a large radius Ku-band TKA, with multiple cascaded bunching cavities, is time-consuming if we just depend on particle-in-cell simulation. The modulation theory of multiple cascaded bunching cavities is an effective method to shorten the optimization process. The modulation model of a single cavity has been analyzed before [
12,
13], and we need to improve the modulation model of multiple cascaded bunching cavities to obtain deeply clustering electrons. In the modulation model of the multiple cascaded bunching cavities, the gap voltage of the bunching cavity is close to the electron beam voltage so that the small signal theory loses its effect. Therefore, we need develop a large signal theory of multiple cascaded bunching cavities to guide the design of high-efficiency Ku-band TKAs.
This paper comprises four parts as follow. In
Section 2, the theoretical analysis of the multiple cascaded bunching cavities’ modulation in TKAs is derived. In
Section 3, the numerical results of the multiple cascaded bunching cavities are given and compared with the simulation results at the same time. Then, a high-efficiency and high-power Ku-band TKA is designed in
Section 4. Finally, we draw a brief conclusion in
Section 5.
2. Model Description
Figure 1 illustrates the schematic of a multiple cascaded cavities Ku-band TKA, which contains a cathode, input cavity, second bunching cavity, third bunching cavity and output cavity. Electrons emit from the cathode, then modulate sequentially by the input cavity, second bunching cavity, third bunching cavity, and eventually extract power at the output cavity. The input cavity introduces weak velocity modulation to electrons by an external RF signal, and the weak velocity modulation is changed into density modulation when they pass gradually through the drift tube between the input and second bunching cavity. Then, weak density modulation strengthens gradually in the second and third bunching cavity. At last, the deeply modulated electron beam interacts with the output cavity and loses energy to the microwaves. In our model, we analyze the modulation of the input cavity, second and third bunching cavity, respectively, in theory, which aims to conclude the relationship between the gap voltage of each cavity and first harmonic current and velocity dispersion. According to the theoretical analysis, we can obtain the optimal gap voltage of each bunching cavity, which can produce a deeply clustering condition of electrons.
To simplify the problem, we assume electrons only move along the axial direction, that is to say, we assume electrons have only axial velocity under a large magnetic field and there is no radial velocity. Following the electron beam “debunching” theory [
12,
13,
14], the displacement of the modulated electron beam can be expressed as follows:
where
is the displacement of modulated electron beam, and
is plasma frequency associated with intense electron beam. Therefore, considering space charge effects and relativistic effect, the initial velocity modulation caused by an external rf signal in input cavity can be described as follows:
where
is initial velocity,
is working frequency of the input cavity,
is
, and
is modulation coefficient, which can be approximated as follows:
where
and
are electron beam voltage and modulation voltage of input cavity, respectively. Then, we can conclude the phase relation between
and
as follows:
where
,
,
is the length between cathode and second bunching cavity. The first harmonic frequency current is given by the following:
where
,
.
According to the analysis above, we assume the total velocity modulation is the sum of the initial velocity and second velocity modulation caused by the cathode and second bunching cavity, respectively [
12].
where
,
are the electron beam voltage and modulation voltage of preliminary bunching. Then, we can conclude phase relation between
and
as follows:
where
,
,
,
,
is the length between the cathode and second bunching cavity, while
is the length between the second and third bunching cavity. Sine function can be represented by Bessel function by using the Fourier series as in [
12].
As follows, total velocity modulation can be assumed as the sum of the initial velocity and second velocity modulation caused by the cathode with a preliminary bunching signal, second and third bunching cavity, respectively.
where
,
are electron beam voltage and modulation voltage of second bunching cavity.
In the multiple cavities TKA, the preliminary modulation theory of the electron beam is much smaller than the second and third bunching cavity; therefore, we assume the velocity with the input cavity’s modulation is still close to , that is to say, the modulation process of the second and third bunching cavity is approximately equal to the first and second bunching cavity discussed before. Certainly, this assumption is not completely accurate because it ignores any speed change in the input cavity. The theoretical value may be slightly smaller than the actual value.
3. Model Verification and Optimization
In this part, we verify the accuracy of the deep modulation theory by comparing theoretical results with the simulation results.
Figure 2 shows the modulation model of the input cavity, it is clear that the theoretical results of first harmonic current with different modulation voltages coincide well with the simulation results given by PIC code KARAT in
Figure 3a [
15]. As
Figure 3a shows, the modulation voltage rises from 50 kV to 200 kV, electron clustering gradually accelerates, and the maximum value of first harmonic current increases. The maximum depth of the first harmonic current reaches about 120% when the modulation voltage is 200 kV in the input cavity. If we continue to increase the modulation voltage to 300 kV, there is strong electron overtaking so that the maximum depth of the first harmonic current decreases to only 100%.
The theoretical efficiency of TKA is related to not only the first harmonic current, but also velocity dispersion, which can be defined as follows:
Therefore, it is necessary to calculate velocity dispersion after the input cavity’s modulation.
Figure 3b illustrates velocity dispersion with the input cavity’s modulation versus displacement. When modulated electrons drift about 50 mm in the drift tube, the electron-clustering state is best. Then, the transcendence phenomenon occurs when the drift tube length increases. This theory cannot describe the state of the electrons after the transcendence phenomenon occurs.
Figure 4 shows the modulation model of the input and second bunching cavity. The theoretical results also show good consistency with the simulation results in
Figure 5a,b. That means that the deduced first harmonic current equations have high accuracy and are valid to estimate a real first harmonic current. When the modulation voltage is 80 kV in the input cavity, the maximum depth of the first harmonic current reaches about 140%, which is larger than that in the modulation of the input cavity. That means that two bunching cavities can increase the depth of the first harmonic current to obtain deep modulation electrons. The velocity dispersion of the first and second bunching cavity’s modulation, showed in
Figure 5b, is larger than it is of the input cavity’s modulation in
Figure 3b, which indicates modulation of multiple cavities can increase the velocity dispersion of electrons. We need to consider both factors at the same time in the design of high-efficiency RKAs.
Figure 6 illustrates the modulation model of the first, second and third bunching cavities. When the modulation voltage is 20 kV in the input cavity, the maximum depth of the first harmonic current reaches more than 160% in
Figure 7a, which is larger than that in the modulation of the first and second bunching cavities. That means three bunching cavities can rise the maximum depth of the bunching electrons.
We compare the theoretical results of velocity dispersion with the simulation results when the modulation voltage is 10 kV, which also shows good consistency in
Figure 7b. The velocity dispersion of the first, second and third bunching cavity’s modulation showed in
Figure 7b is similar to the first and second bunching cavity’s modulation in
Figure 5b. As
Figure 7a shows, when the modulation voltage is only 2 kV and 5 kV, the theoretical results of the first harmonic current are less than the simulation results. This is consistent with the analysis of the assumption, and this error needs to be corrected in future work.
4. Design for a High-Efficiency TKA
With the analysis of the multiple bunching cavity’s modulation, we can design a five-cavities Ku-band TKA with a first, second and third bunching cavity. The klystron parameters are summarized in
Table 1.
This device obtains a deep modulation intense electron beam with nearly 150% first harmonic current, as shown in
Figure 8. Therefore, we can design a TKA with nearly 60% efficiency when the electron beam voltage is 400 kV and the beam current is 2.5 kA, as in
Figure 9a,b. The output power is stable and the frequency spectrum is pure, which indicates that there is no pulse shortening and self-oscillation in our device.
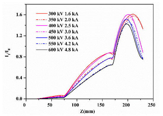
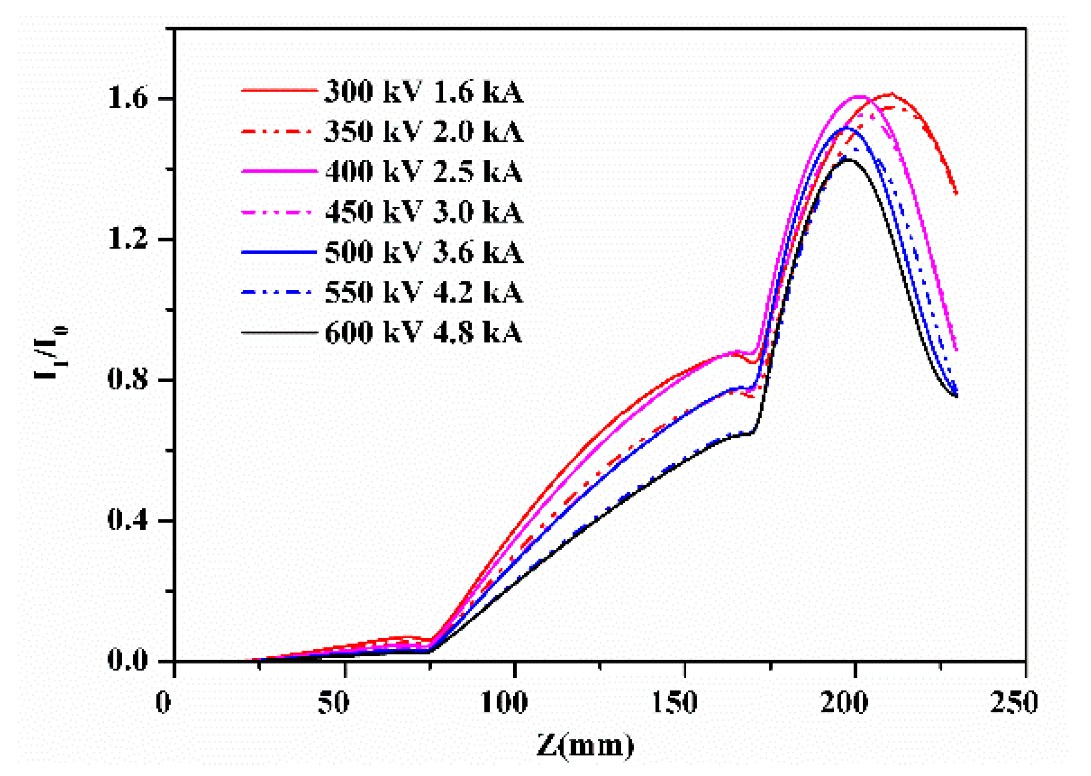
Additionally, when the electron beam voltage varies from 300 kV to 600 kV and the relativistic perveance stays constant, the first harmonic current has the same trend shown in
Figure 10. It means that the device can operate with the electron beam, no matter how the electron beam voltage changes, as long as the perveance remains unchanged. This device is insensitive to voltage, which is different from other high-power microwave generators [
16]. The maximum depth of the first harmonic current reaches about 145% when the electron beam voltage and current are 600 kV and 4.8 kA, respectively.
Besides, as
Figure 11 shows, the gain of device increases as the electron beam voltage increases. This device can obtain more than 50% efficiency and 40 dB gain. At a result, the TKA can achieve about 1.5 GW high output power at 14.25 GHz, with nearly 52% efficiency and 46 dB gain.
Figure 12a,b show the phase-locking characteristics of that device. When the input frequency increases from 14.22 GHz to14.28 GHz, or the beam voltage rises from 300 kV to 500 kV, the output microwave phase can be locked well. This device has a steady working condition.
5. Conclusions
This paper describes a large signal theory for the design of high-efficiency TKA. With the electron kinematics equation and “debunching” theory, we analyzed the modulation of first, second and third bunching cavities, respectively. The comparisons of the theoretical and simulation results show excellent agreement and justify a high degree of confidence in the validity of this theory. By using multiple cascaded bunching cavities, intense relativistic electron beams can cluster very closely, and the depth of the first harmonic current is nearly 150%. With the guidance of the deep modulation theory, we can obtain the optimal gap voltage of each bunching cavity and design a TKA with about 60% output efficiency as a result. Additionally, this device can operate stably when the electron beam voltage increases from 300 kV to 600 kV, and we obtain a TKA with an average output power of about 1.5 GW at 14.25 GHz, with nearly 52% efficiency and 46 dB gain.