Abstract
This paper reports the permeation-enhancing properties and safety of different chemical permeation enhancers (CPEs) on the topical delivery of vitamin C (VC) and its derivatives. A literature search using search keywords or phrases was done in PubMed®, ScienceDirect, and MEDLINE databases. The calculated Log P (cLog P) values were referenced from PubChem and the dermal LD50 values were referenced from safety data sheets. Thirteen studies described the permeation-enhancing activity of 18 identified CPEs in the topical delivery of VC. Correlation analysis between ER and cLog P values for porcine (r = 0.114) and rabbit (r = 0.471) showed weak and moderate positive correlation, while mouse (r = −0.135), and reconstructed human epidermis (r = −0.438) had a negative correlation. The majority (n = 17) of the CPEs belonged to Category 5 of the Globally Harmonized System of Classification or low toxicity hazard. CPEs alone or in combination enhanced permeation (ER = 0.198–106.57) of VC in topical formulations. The combination of isopropyl myristate, sorbitan monolaurate, and polyoxyethylene 80 as CPEs for VC resulted in the highest permeation enhancement ratio.
1. Introduction
Vitamin C (VC) is an essential micronutrient that is needed for a variety of metabolic responses in humans and other primates. It is a necessary vitamin that can only be obtained from external sources, making its function in human health important [1]. In maintaining skin health, VC is commonly employed. It neutralizes oxidative damage through an electron transfer process and is a prerequisite for collagen biosynthesis by activating transcription factors involved in collagen synthesis [2]. Aside from its antiaging and photoprotective effects, VC is also recognized to be the primary source of vitamin E replenishment, protects cell membranes from oxidative stress, and maintains the skin’s collagen network [3]. VC also serves as an anti-pigmentation agent. It binds to copper ions at tyrosinase-active sites, blocking the enzyme tyrosinase—the main enzyme involved in the conversion of tyrosine to melanin—and so lowering melanin synthesis [4].
The antioxidant properties of VC present to be the most enticing clinical benefit of the substance as it imparts, at physiological concentrations, skin structural characteristic improvements, and photoprotection with minor side effects. As an active ingredient in cosmetic products, topical application of VC is expected to have whitening, anti-aging, and rejuvenating effects on the skin through its antioxidant properties. In a clinical trial, topical application of palmitoyl-KVK-L-ascorbic acid, a VC derivative, resulted in whiter and smoother skin within 8 to 12 weeks [5]. In a separate study conducted by Khemis et al., (2020), L-ascorbic acid serum topical application resulted in pigment reduction on solar lentigines.
The appropriate VC content in cosmetic formulations is greater than 8% for it to be biologically significant [6]. Commonly, VC topical products on the market today have an ascorbic acid content that varies from 10 to 20 percent [7]. A persistent reservoir of VC must be present in the skin for effective photoprotection and skin structural improvement. Current VC preparations present limitations in the therapeutic efficacy of ascorbic acid due to the selective properties of the skin hindering drug deposition. The selection of chemical permeation enhancers (CPEs) should facilitate the improvement of drug penetration and deposition while protecting the drug from photodegradation. CPEs alter the skin barrier by partitioning into the stratum corneum (SC) and interacting with its components to temporarily reduce its occlusive properties and facilitate topical drug transport [8] (Figure 1). CPEs should promote a reversible decrease in skin barrier properties to maintain the skin’s protective properties; however, high permeation-enhancing potency is often associated with high toxicity and irritation potential [9]. The safety of CPEs depends primarily on the reversibility of their barrier-altering action to prevent undesirable compounds from entering the skin and excessive water loss [10]. The proper selection of CPE should take into account both the efficacy and safety of the compound when incorporated into the formulation.
Figure 1.
CPE-mediated Permeation of Vitamin C through Human Skin.
There is an abundance of skin permeation studies involving VC and its derivatives that employed various CPEs to circumvent the aforementioned limitations [11]. These studies utilized topical formulations using non-ionic surfactants (polysorbate 20 and 80), terpene (limonene), glycols (propylene glycol), alcohols, and fatty acids to topically deliver VC derivatives such as ascorbyl-6-palmitate, 3-O-ethyl-l-ascorbic acid, and magnesium ascorbyl phosphate (MAP) [12,13,14]. The studies presented varying data and results regarding the effect of CPEs in facilitating the safe and effective delivery of VC. A multitude of CPEs are available in the industry; however, guidance on suitable enhancers for use in a topical formulation based on flux and safety for VC and its derivatives has not been described yet. The absence of analysis of the existing data on CPEs of VC and its derivatives, despite the abundance of available studies and articles, has strengthened the need for such a review.
This systematic review, with a particular focus on VC, aims to identify the chemicals with permeation enhancing properties when applied to the skin and to assess the relationship between the calculated Log P (cLog P) value and the permeation-enhancing ability of CPEs through the enhancement ratio (ER). Furthermore, this systematic review describes the in vitro mechanism of action of skin penetration enhancement and lists the enhancers with safe and effective properties.
2. Materials and Methods
A qualitative systematic review was employed following the PRISMA guidelines (Figure 2) where all research articles found in PubMed®, ScienceDirect, MEDLINE, and Google Scholar databases were critically reviewed and evaluated in terms of their relevance to the established research topic. The data from the eligible research articles were gathered and evaluated to come up with a conclusion that would answer the research question.
Figure 2.
PRISMA Flow Diagram.
2.1. Data Gathering Procedure
Using the research question, “What are the chemical permeation enhancers in topical formulations that can safely and effectively deliver VC and its derivatives?” relevant keywords and phrases were used in searching for articles in PubMed®, ScienceDirect, MEDLINE, and Google Scholar. The search phrase utilized for the literature search was (((Vitamin C) OR (Ascorbic acid) OR (Vitamin C derivative)) AND ((chemical permeation enhancer) OR (skin permeation enhancer) OR (skin permeation)). The inclusion and exclusion criteria were appropriately applied in the selection of the articles from the literature search and a consensus-based discussion was conducted to resolve disputes that arose in the selection or exclusion of the research articles. Systematic reviews and meta-analyses were excluded from this review. A tabulated list of the articles relevant to the research topic, using Mendeley Reference Manager (v. 2.57.0, Mendeley Ltd., Amsterdam, the Netherlands), tracked the search conducted. In order to detect and remove duplicates of selected research articles, the researchers utilized the “Check for Duplicates” tool available in the Mendeley Reference Manager to identify possible duplicates and chose to merge the duplicate references when deemed identical. The researchers then systematically and qualitatively assessed the different research articles collected. The titles, abstracts, and full-text of the identified articles were independently screened, and data on the flux of the VC reflected in the studies were extracted. The ER values for each CPE were computed from the flux obtained from the studies unless indicated otherwise in the result section of the article. The calculated Log P values for each CPE were obtained from PubChem (https://pubchem.ncbi.nlm.nih.gov (accessed on 22 February 2022)). The values were obtained from the safety data sheets of the respective CPEs identified in the review.
2.2. Selection and Inclusion Criteria
Figure 3 details the inclusion and exclusion criteria used for this review.
Figure 3.
Inclusion and Exclusion Criteria.
2.3. Quality Assessment
The study utilized a Scottish Intercollegiate Guidelines Network (SIGN) modified checklist as a tool for quality assessment for this systematic review in the selection of articles pertinent to the research question. The checklists were modified to fulfill SIGN’s criteria for a balance of methodological quality and practicality of application. The researchers first used the inclusion and exclusion criteria to narrow down the articles. Article titles were evaluated to see whether they met the criteria, and articles that did not meet the criteria were excluded. The researcher then proceeded to use the quality assessment tool to evaluate the content of the articles and the type of journal based on the questions itemized. The quality assessment was done independently by both researchers, and if disagreements arose, the researchers repeated the conduct of the quality assessment in a consensus-based discussion. The researchers examined the full text of relevant articles, excluding any that contained insufficient information or did not contain information relevant to the study. The final number of relevant articles acquired by researchers that are relevant to the research was then assessed.
2.4. Data Analysis
The data were analyzed to determine the relationship between cLog P and the permeation enhancing the ability of chemical permeation enhancers through the ER. For each CPE, the ER was plotted against the cLog P. Linear correlation analyses and statistics were performed using Microsoft® Excel Spreadsheet Software (version 16.64, Microsoft Corporation, Redmond, WA, USA) on the ER versus cLog P using the Data Analysis ToolPak. The Pearson correlation coefficient (r) of the correlation analyses were presented.
3. Results
3.1. Study Selection
A total of 17,452 articles were found in the preliminary literature search in the databases using the described search strategy. Seventeen thousand two hundred seventy-seven (17,277) articles were excluded due to duplicate citations and apparent irrelevance to the research question based on preliminary screening of titles and/or abstracts. In the secondary screening of 175 full-text articles, 162 articles were excluded and 13 skin permeation enhancer studies with 18 identified chemical permeation enhancers were considered eligible for this systematic review.
3.2. Study Characteristics
The 13 eligible studies were published within 2006–2019. Three (3) articles utilized vitamin C derivatives, two (2) articles reported using ascorbyl palmitate and l-ascorbic acid 2-glucoside, and eleven (11) articles used vitamin C or L-ascorbic acid. Various artificial and biological membranes were included, namely, porcine skin (n = 6) mouse skin (n = 3), rabbit skin (n = 1), and reconstructed human epithelium and living skin equivalent (RHE, LSE; n = 3) through which VC and its derivatives were expected to permeate (Table 1).
Table 1.
Vitamin C compounds and permeation membranes described in the articles.
3.3. Chemical Permeation Enhancers Utilized for VC
CPEs are used in a variety of transdermal, dermatological, and cosmetic treatments to promote cutaneous absorption of active chemicals, which may either lead to enhanced systemic circulation or to deeper, viable skin layers. From the research articles collected, the use of various neat CPEs or combinations was found to significantly enhance the permeation of VC (Table 2).
Table 2.
Categories of Chemica Permeation Enhancers (CPEs) used for Vitamin C (VC) and its derivatives.
In this review, comparisons were made between test formulations consisting of VC, vehicle, and various CPEs, and the control formulations. Data presented from the results section of the research articles report the fluxes (μg/cm2/h) for both the test and control formulations, and the ER of VC which measures the permeation-enhancing effect of the CPE when incorporated in topical formulations. The ER of VC brought about by various CPEs through porcine, mouse, and rabbit skin, and RHE as membranes are presented in Table 3, Table 4, Table 5 and Table 6, respectively.
Table 3.
Summary of Enhancement Ratios (ER) of Vitamin C by CPEs in Porcine Skin.
Table 4.
Summary of Drug Permeation Enhancement Ratios (ER) of Vitamin C by CPEs in Mouse Skin.
Table 5.
Summary of Drug Permeation Enhancement Ratios (ER) of Vitamin C by CPEs in Rabbit Skin.
Table 6.
Summary of Drug Permeation Enhancement Ratios of Vitamin C by CPEs in RHE/LSE.
Based on the calculated and retrieved ERs, CPEs in formulations that enhance the permeation of VC into the skin are indicated by ERs greater than 1. The CPEs that exhibited the highest permeation enhancement ratio in porcine skin, mouse skin, rabbit skin, and RHE skin were the combination of decyl glucoside and sorbitan monolaurate (ER = 6.222), the combination of isopropyl myristate (40%), Span® 20 (24%), and Tween® 80 (36%) (ER = 106.57), POE-20 (5%) (ER = 5.08) and sodium lauramide glutamine (ER = 69.24), respectively. Carbomer, Tween® 40, and isopropyl myristate exhibited the lowest ER followed by POE-40 (13.29%), isopropyl myristate (22.15%), and colloidal silica (10%) as CPEs on porcine and RHE skin. Among the CPEs, non-ionic surfactants were the most extensively utilized permeation enhancer in the topical formulations for VC.
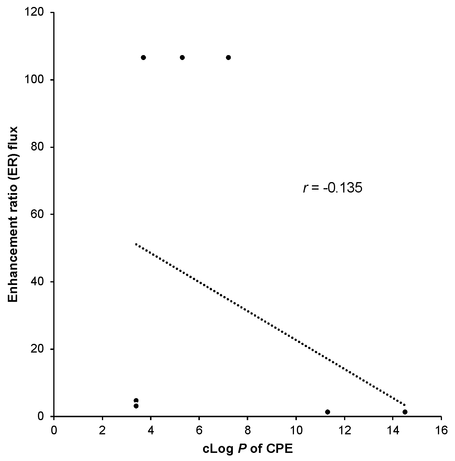
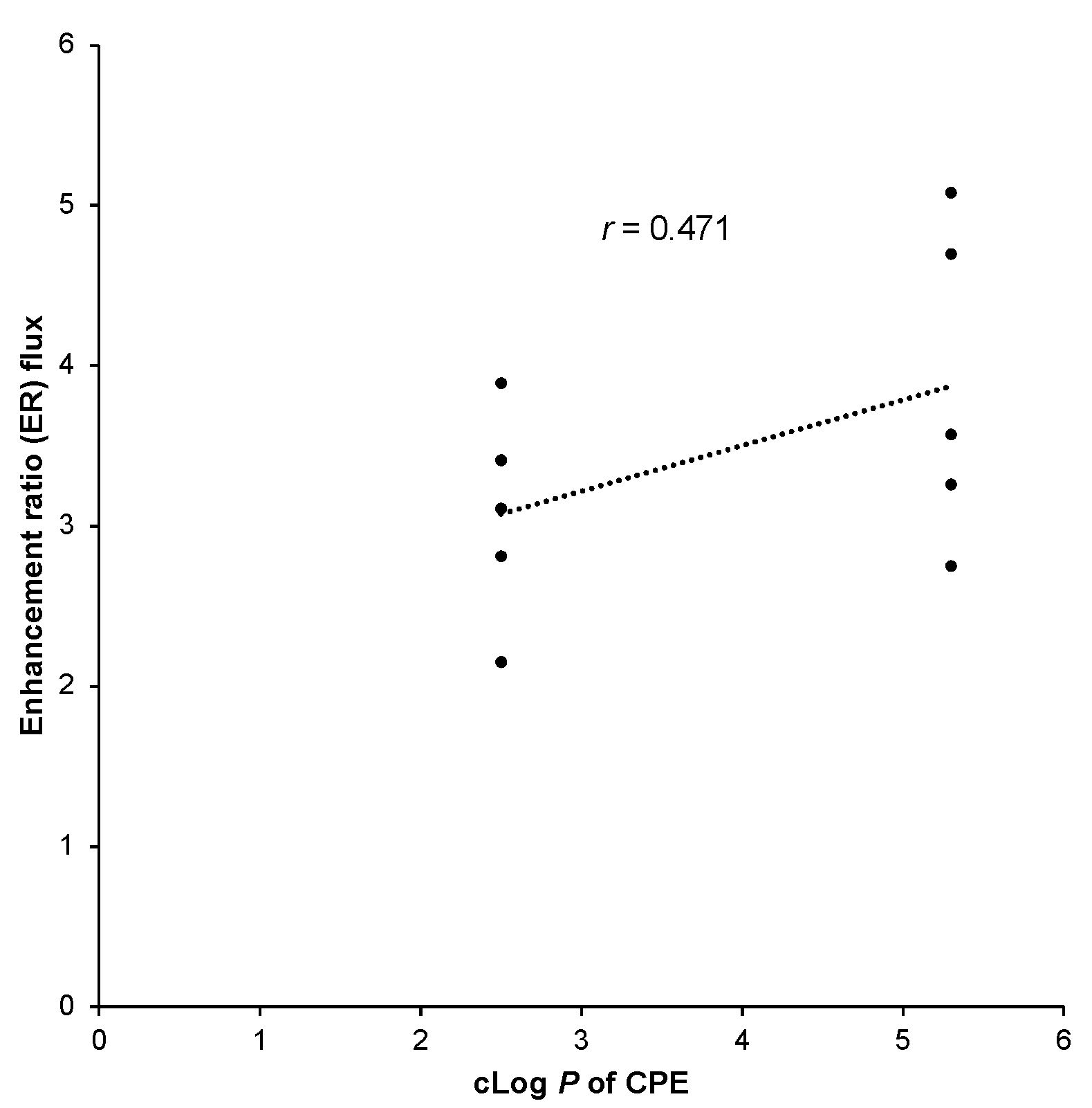
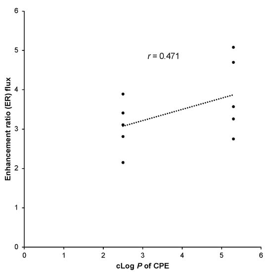
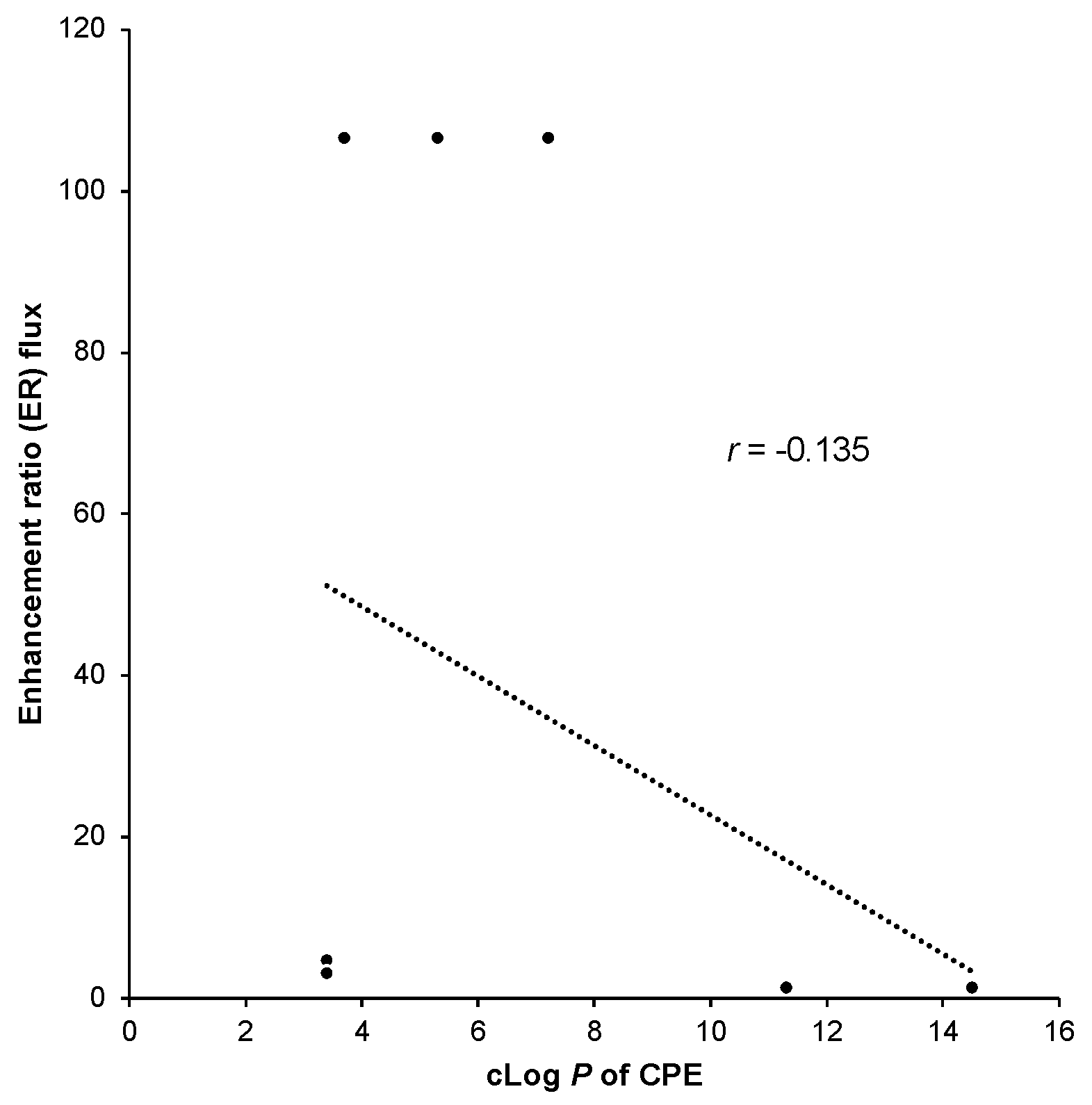
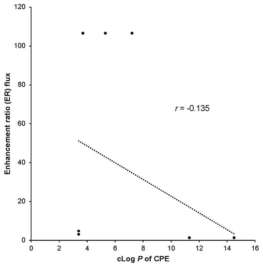
The calculated Log P (cLog P) values of the CPEs cited in PubChem were compiled and plotted against the ERs from in vitro drug permeation studies of VC. Figure 4, Figure 5, Figure 6 and Figure 7 show the association between cLog P and ERs for VC through pig skin, mouse skin, rabbit skin, and RHE skin as membranes, respectively. The Pearson correlation coefficient was used by the researchers to assess the strength of the relationship between the variables. The scatterplots for pig skin (r = 0.114) and rabbit skin (r = 0.471) showed weak and moderate positive correlations, respectively. Mouse skin (r = −0.135) and RHE skin (r= −0.438) had negative correlation.
Figure 4.
The correlation between the calculated Log P of the CPEs (A), lipophilic CPEs (B), and hydrophilic CPEs (C) in formulation and the ER of VC in Porcine skin.
Figure 5.
The correlation between the calculated Log P of the CPEs in formulation and the ER of VC in Mouse skin.
Figure 6.
The correlation between the calculated Log P of the CPEs in formulation and the ER of VC in Rabbit skin.
Figure 7.
The correlation between the calculated Log P of the CPEs (A), lipophilic CPEs (B), hydrophilic CPEs (C) in formulation and the ER of VC in RHE.
Acute toxicity describes the adverse effects of a substance occurring from oral or dermal administration that results either from a single exposure to a substance or from multiple doses given in a short period of time. Based on the dermal LD50 values referenced from safety data sheets, most of the CPEs identified were found to have minimal toxicity and were safe for use in dermal preparations. The criteria given by the Globally Harmonized System (GHS) classification for acute dermal toxicity were used to categorize the CPE based on their dermal LD50 values. Category 5 chemicals pose the least risk/potential for acute dermal toxicity whereas, Category 1 indicates that they are unsafe and harmful for human use (Table 7).
Table 7.
Acute Dermal Toxicity (LD50) and GHS Classification of Chemical Permeation Enhancers for VC.
4. Discussion
The use of vitamin C is an effective way to increase collagen production and improve the collagen fibers’ ability to contract and maintain natural resilience. Several derivatives of VC that are more compatible with the skin have been developed to improve the skin absorption of VC. The ideal VC derivative should be able to easily penetrate the outer layers of the skin and release sufficient amounts of L-ascorbic acid to promote collagen formation. They should also be less irritating and more stable than pure VC. The VC derivatives often described in experiments are ascorbyl palmitate and L-ascorbic acid 2-glucoside. L-ascorbic acid 2-glucoside offers high resistance to oxidation and reduction.
Generally, VC is molecularly small but despite its small molecular size, the hydrophilic characteristic of AA2G does not penetrate the skin easily as AA2G from the control formulation is nearly undetectable in both buffers in the medium and skin [17]. Ascorbyl palmitate, on the other hand, is the most common fat-soluble VC derivative used in skin care. It is more stable and less irritating than VC. VC has been formulated in several formats including liposomes, emulsions, and cream; however, it remains challenging to encapsulate VC with high efficiency in carrier systems due to its hydrophilic nature. As a consequence, ascorbyl palmitate, a prodrug of ascorbic acid, was created as an anti-aging and skin whitening alternative to VC [16]. Ascorbyl palmitate’s hydrophobic property enables it to be readily encapsulated into drug delivery systems with excellent yields, eliminating VC’s key limitations of light, oxygen, and instability with heavy metals. Despite the improved characteristics of a few VC derivatives, the use of CPEs remains a requirement since VC in its original form is highly unstable, easily decomposes under ordinary conditions, and is cosmeceutically unfavorable due to its hydrophilic characteristics.
4.1. cLog P and Enhancement Ratio of CPEs
Topical drug formulations deliver active components into the viable layer of the epidermis by facilitating the flow (i.e., flux) of the drug through the stratum corneum (SC). The SC is the primary key rate-limiting barrier to all permeant drugs. The unique amount and composition of the lipids found in the SC, the tortuous structural arrangement of the intercellular lipid matrix, and the lipid envelope that surrounds the corneocytes, are what give the skin its outstanding barrier properties. Whether they enter the cell extracellularly or via the mitochondria, xenobiotics that penetrate the SC must demonstrate some kind of interaction with the lipid phase since it is continuous throughout the SC. This led to the notion that the lipophilicity of CPE had a considerable influence on the ability of the absorption promoters to facilitate drug absorption through the skin via a reversible reduction in barrier resistance. This is consistent with Lipinski’s rule of 5 for drugs to have a cLog P value of greater than 5 to achieve optimal permeation. The ER and cLog P, as presented in Table 3, Table 4, Table 5 and Table 6 were analyzed through a linear correlation analysis to determine the strength of the relationship between these two variables and validate the assumption. The analyses, however, have shown, through the r-values, that cLog P is a poor indicator of the permeation enhancing the ability of CPEs (Figure 4, Figure 5, Figure 6 and Figure 7). cLog P or lipophilicity as an indication of permeation enhancing capacity of CPEs should not be used as the only deciding factor for CPE selection, but rather as a measure in combination with other chemical properties. The contradictory findings of the correlation study indicate that variables other than lipophilicity influence the effectiveness of CPE in topical preparations (Figure 5 and Figure 7).
The analyses performed for CPEs in the skin permeation studies, which used porcine skin (r = 0.114) and rabbit skin (r = 0.471) show that there is a low positive correlation between the variables. In porcine (r = −0.797) and RHE (r = −0.952) membrane experiments, an inverse relationship between cLog P and ER in hydrophilic CPEs were found (Figure 4C and Figure 7C). Moreover, lipophilic CPEs in porcine skin (r= 0.031) and RHE ((r= 0.825) exhibited low and strong positive correlation, respectively (Figure 4B and Figure 7B). This is relevant as porcine skin is considered to be a surrogate for human skin in dermal permeation experiments [27].
Meanwhile, a negligible and low negative correlation between ER and cLog P values was found on CPEs tested on mouse and rabbit skin. The differences in the results of the correlation analyses are also attributed to the differences in the characteristics of the membranes used in the study as they possess innate properties that result in differences in the interaction with CPE and the permeant. This is acknowledged by the researchers based on their findings in the literature, which indicated that correlations depended on the membrane group. The low values and inconsistent results of the correlation analyses of the CPEs in various skin membranes suggest that the extent of penetration enhancement is dictated by other factors aside from lipophilicity. Based on the included studies, the factors identified include the interaction of the CPE with the SC, variation in the structure of VC and its derivatives, and chemical properties of the CPEs.
4.2. Factors Affecting the Permeation Enhancing Capacity of CPEs for VC
As CPEs enhance transdermal drug delivery by disrupting the SC or other components of the skin, chemical enhancers are often selected based on their ability to raise the diffusion coefficient of the drug into the SC (i.e., break the barrier). The partitioning between the formulation and the SC is also determined by the lipophilicity of the drug and the enhancer, presumably by modifying the skin membrane’s solvent nature.
The interaction between CPEs and the active ingredients in topical formulations plays an important role in enhancing skin permeability. CPEs impart permeation-enhancing properties either by acting directly through the skin or by affecting the drug formulation itself to indirectly enhance drug permeation through the skin. VC and its derivatives are characterized by high hydrophilicity that limits their penetration through the highly lipophilic SC. Hence, these water-soluble compounds should be incorporated in formulations that are capable of holding them temporarily prior to skin penetration. This review has identified solubility as a factor that affects the permeation-enhancing ability of the various types of CPE identified.
4.2.1. Solubility
Solubility is an important parameter affecting transdermal drug permeation. To a large extent, the solubility of a chemical is determined not only by the temperature and pressure but also by the solvent that is utilized. Fick’s law states that a drug’s flux is proportional to its concentration in the vehicle: increased solubility allows for a higher drug concentration in the donor phase, which boosts permeation flow [28]. However, a high solubility typically allows for a reduction in the partition coefficient (i.e., decrease in the drug’s thermodynamic activity) with SC because when the vehicle or complex solubilizes the drug, the drug itself is ‘sequestered’ in the vehicle. Conversely, drugs that have a low solubility in the formulation often exhibit strong partition characteristics and good transdermal transport [27,29].
Various types of CPEs possess different solubility properties which affect the solubilization of VC and its derivatives in topical formulations. The review has identified nine different types of CPEs, each with varying solubility. Non-ionic surfactants, amino acids, polyols, and polymers are classified as water-soluble (Log P < 0.5), while phospholipids, terpenes, fatty acids, and colloids are insoluble in water (Log P > 0.5) [27]. VC derivatives may present with varying solubility depending on their structure. It is important to note that the composition of the formulation determines the quantity of CPEs as well as other excipients that constitute the product. The impact of CPE on the solubility of the formulation primarily depends on the ratio of CPE to other excipients and the amount of the permeant—VC. Based on the composition of the formulations used in the skin permeation studies covered in this review, the CPEs that have exhibited enhanced permeation of VC are those that decrease its solubility in the formulation by either having a low (for water-soluble CPEs) or high (for water-insoluble CPEs) concentration in the formulation. This is apparent in the studies which exhibited the highest ER values (Table 3, Table 4, Table 5 and Table 6). Pakpayat et al., (2009) utilized a water-in-oil microemulsion as a vehicle for VC wherein sorbitan monolaurate and decyl glucoside, water-soluble non-ionic surfactants, were used as CPEs. The ER values of the formulation with the least concentration of these surfactants accounting for only 6% and 14%, respectively, of the composition, had the highest ERs compared to other formulations (e.g., 13.5% and 31.5%; 11.4% and 45.6%). This is also evident in studies conducted by Ahktar et al., (2011), and Hikima et al., (2013) in which water-soluble CPEs do not go beyond 30% of the formulation. The composition of the topical formulation enables VC and its derivatives to be transported into the viable epidermis by penetrating the SC instead of being retained in the vehicle. In addition, the interaction of the CPE and the SC aided in the partitioning of the active ingredients by disrupting the occlusive properties of the SC. Hence, the amount of CPEs for topical formulations of VC and its derivatives should be appropriate to attain the desired solubility for the active ingredient and improve cutaneous absorption.
4.2.2. Interaction with Stratum Corneum of Different Types of CPE
The direct effect of CPE as an excipient in the enhancement of cutaneous absorption is primarily due to the reversible modification of the skin barrier properties. The SC presents as the occlusive layer of the skin responsible for preventing the entry of substances including hydrophilic drugs such as VC and its derivatives. Hence, the extent of the permeation enhancing ability of CPEs in topical formulations containing VC depends heavily on the interaction between them that facilitates drug transport into the viable layer of the epidermis. The CPE should facilitate the penetration and partitioning of the active ingredient into the SC via interaction with its components to temporarily reduce the permeability barrier without causing significant damage to cells. Based on the results obtained, this has been identified as a major factor that affected the ER values of the CPEs.
Non-Ionic Surfactants
Non-ionic surfactants are a type of surface-active agent that possesses an uncharged polar head group that does not undergo ionization when dissolved in water. It enhances drug penetration through two possible mechanisms which involve direct bonding with proteins and/or lipids of the skin. Surfactants have the potential to first penetrate the intercellular portions of SC, hence enhancing fluidity. Subsequently, they may dissolve and remove lipid components. Second, the penetration of the surfactant into the intercellular matrix, which is then followed by contact and binding with the keratin filaments, may result in the disruption of the corneocytes, which then leads to an increased rate of drug transport. This systematic review has identified five non-ionic surfactants employed as CPE namely, polyoxyethylene 20 (POE-20), polyoxyethylene 80 (POE-80), decylglucoside, sorbitan monolaurate (Span® 20), and polyoxyethylene 40 (POE-40). In this study, formulations containing non-ionic surfactants in combination with other CPEs evaluated through the porcine, mouse, and rabbit skin showed the highest ER values among the skin permeation studies [13,15,17]. The combination of decylglucoside (6%) and Span® 20 (14%) in the topical microemulsion formulation showed the highest ER value among the studies using porcine skin was attributed to the interaction of the CPE and the SC [17].
The enhancement of cutaneous absorption, however, is linked strongly with the high solubility of VC in the formulation allowing for a high recovery rate and a larger surface area which enables the SC interaction of the non-ionic surfactants with the membrane. According to Akhtar et al., (2011), POE-20 and POE-80 containing topical formulations were able to alter the lipid structure of the SC by seeping into the intercellular regions of the lipid bilayer thereby decreasing the crystallinity and membrane integrity of the lipids causing an increase in membrane fluidity and intercellular space which reduces the barrier resistance of the skin. The addition of these CPEs resulted in an improved flux of VC into rabbit skin which increased with higher concentrations of the non-ionic surfactant in the formulation, reaching a peak ER of 5.08 with POE-20 at 5% concentration (Table 5). Meanwhile, POE-40 combined with an ester and a polymer or colloid in a topical formulation did not enhance the permeability of VC through porcine and RHE membranes. This was attributed to the increased viscosity caused by the addition of a polymer or colloid which reduced the permeation of VC.
Phospholipids
Phospholipids are incorporated in liposomes which operate as carriers for drugs, allowing for greater penetration of hydrophilic drugs and deposition of lipophilic drugs at the site of action. In the context of this systematic review, phospholipid-based liposomes were utilized in enhancing the absorption of VC and its derivatives. Drug partitioning was improved through the lipophilic character of the CPE by occluding the SC which promotes its hydration and enables hydrophilic pathways to emerge along the SC. In the study conducted by Lee et al., (2007) and Maione-Silva et al., (2019), the phospholipids dimyristoylphosphatydilcholine (DMPC) and dicetylphosphate (DCP) interacted with the SC through modulation of the lipid structure resulting in improved permeation of VC and ascorbyl palmitate. The permeation-enhancing effect observed with liposomes containing DMPC and DCP was produced by the action of these phospholipids ingressing into the lipid domain of the SC, which led to the enhanced fluidity and, as a result, reduced barrier property of the SC. This action was comparable to the action of non-ionic surfactants [17]. The improved flux is also attributed to ascorbyl palmitate being more stable and less hydrophilic than VC which allows better encapsulation and stability in the liposome formulation. The organization of cutaneous lipids was altered in a manner that was comparable to that of cholesterol. It is important to note that the liposome formulations containing these phospholipids were able to increase the solubility and diffusion coefficient of VC in the SC and also maintain drug stability playing a critical role in the cutaneous absorption of the permeant. Hence, the incorporation of phospholipids as CPEs is recommended in the topical formulations containing VC and its derivatives employing liposomes as carriers. There are no studies in the systematic review that support its use in an aqueous formulation.
Amino Acids
In CPEs, hydrophobic chains are connected to an amino acid headgroup through a biodegradable ester bond in the amino acid. These compounds can penetrate the SC lipid barrier and dramatically disorganize skin membrane lipids due to their amphiphilic properties. When a CPE penetrates the enzymatically active epidermis, the labile bond in the CPE is hydrolyzed decreasing the potential for irritation to develop [30]. The amino acid CPEs identified in this review exhibited a 13 to 69-fold improvement in the topical delivery of l-ascorbic acid 2-glucoside (AAG) in RHE membrane compared to control formulations [20]. Topical formulation containing sodium lauramide glutamine (LG) acted similarly to non-ionic surfactants through modifications of the lipid structure of the SC in enhancing the permeation of the VC derivative. However, lauramide glutamine lysine (DLGL) enhances flux of AAG through lipid modification and hydration of the SC, explaining the disparity between the ER values of the two and making DLGL the better CPE in RHE experiments. DLGL was found to delay the transepidermal water loss (TEWL) and increase the water content on the skin surface allowing AAG to accumulate in the SC. The resulting relative increase in concentration gradient promotes the passive penetration of AAG into the skin. Amino acid-based CPEs prove to be effective sorption promoters in the topical delivery of VC and its derivatives when incorporated into dermal preparations [20].
Terpenes
Terpenes, which are obtained from the essential oils of plants and flowers, are also known as terpenoids and isoprenoids because they are made up of repeating isoprene units. Terpenes are theorized to destabilize the skin lipid bilayer by forming competing hydrogen bonds with skin ceramides, causing SC lipid packing to be disrupted. As a result, the drug diffusion coefficient is enhanced. The studies included in this systematic review support these claims, wherein limonene, a well-known terpene penetration enhancer, and lemon essential oil, a terpene-rich essential oil, were shown to improve the permeation of VC through the skin. According to Lee et al., (2006), the skin permeation enhancing mechanism of limonene on hydrophilic drugs was found to be through its disrupting effect on the intercellular lipid order of skin, increasing the opening of polar pathways in the SC, extraction of the SC lipids and increased drug diffusivity. These findings are based on data from differential scanning calorimetry and Fourier transform infrared spectroscopy (FTIR), which show a drop in the transition temperature associated with stratum corneum lipids, as well as a decrease in peak heights and areas for both asymmetric and symmetric C-H stretching absorbance. The essential oil of lemon improved the penetration of small VC molecules. This was attributed to a combination of reversible modifications linked with the essential oil’s fats breakdown into the epidermal lipid and phospholipid domains [21]. It involves the possibility of a decrease in the freezing point of the SC intercellular lipids as well as phase shifts in the phospholipid bilayers. These effects are transient as a result of terpene evaporation.
Polyols
Polyols exert potent water retention action in SC promoting skin hydration, barrier function, and mechanical properties. Polyols prevent SC lipids from transitioning from a liquid to a solid crystalline form and reduce the average aqueous pore radius in the SC, thereby reducing water loss. Based on the ER values of the topical formulations containing propylene glycol and polyglycerol polyricinoleate (PGPR) as CPEs, polyols provide appreciable enhancement (ER 2.43–2.74) in the cutaneous absorption of VC in porcine skin [22,23]. It was found that propylene glycol may break down the SC and intercalate the lipids, making the skin structure more fluid, increasing the permeant coefficient (Wathoni et al., 2012). PGPR, in combination with oleic acid and Tween® 80, was used as an enhancer to distort the structure of the SC or alter the tight junctions to facilitate drug partitioning into the skin [22]. However, it is important to note that PGPR was in a hydrogel formulation compared with propylene glycol which was in a form of an emulsion. The difference between the ER values can be attributed to the increase in contact time and skin hydration afforded by the hydrogel, resulting in higher drug permeation across the SC. Nevertheless, the addition of polyols is a suitable CPE in the development of cosmetic products containing VC and its derivatives in appropriate vehicles.
Esters
The use of esters as CPE has been a common strategy for topical formulation. Esters are often expected to partition into the SC’s organized lipid domains. Isopropyl myristate (IPM), a fatty acid ester, possesses a very small polar component, despite the fact that it is lipophilic. IPM is able to fluidize SC lipids, and X-ray diffraction investigations have shown that IPM ester groups interact with the polar membrane domain of SC [31]. This property is concentration-dependent and is reduced when combined with other surfactants or incorporated in oil in water microemulsion based on the results of studies included in this review [24,25,26]. As studied by Rozman et al., (2010), the decrease in the flux of VC in IPM-based formulation can be traced to VC being unsuitable for oil in water (o/w) microemulsions wherein the hydrophilic VC is trapped in the continuous phase which prevents its permeation across the lipophilic SC. On the other hand, water in oil (w/o) microemulsion containing IPM was able to enhance permeation properties by reducing the state of order of the lamellae and phase characteristics of the SC through interaction with its lipid head groups.
Fatty Acids
Fatty acids have been shown to interact with SC lipids, and several of them have been identified as skin permeation enhancers. Long-chain fatty acids have been shown to promote percutaneous drug absorption. Generally, the effects of fatty acids as permeation enhancers are determined by their structure, alkyl chain length, and saturation level [32]. As a CPE, oleic acid (OA) has been extensively studied. The disorganizing impact of oleic acid in the SC superficial layers is thought to improve drug diffusion through the skin. In vitro experiments clarified the mechanism of action of OA and have identified two plausible mechanisms of action: (1) lipid phase separation and (2) lipid fluidization. In this review, oleic acid exhibited sorption-promoting properties for VC through topical formulations containing PGPR and Tween® 80 [22]. The type of the cosolvent employed (i.e., PGPR) has been shown to have a significant impact on fatty acid permeation enhancement. Fatty acids often have synergistic enhancing effects with cosolvents used in transdermal formulations. The permeation enhancement activities of neat fatty acids for VC are unknown.
Colloids and Polymers
Colloids and polymers are commonly employed in transdermal drug delivery systems as vehicles that facilitate the formation of nanoparticles and the coating of active ingredients. These are also utilized in the physical means of permeation enhancement by incorporating them in transdermal patches and microneedles which are beyond the scope of this systematic review. Colloidal silica was employed as a CPE in the studies conducted by Rozman et al., (2009b) and Rozman et al., (2010), and did not enhance VC skin concentration and skin permeation. The colloidal silica was incorporated in an o/w microemulsion along with other CPEs. The lack of permeation enhancement was attributed to the type of microemulsion which was deemed unsuitable given the hydrophilic nature of VC and to an increase in the viscosity of the gel matrix which reduced the drug release rate and permeation of VC. When incorporated in w/o microemulsion, colloidal silica was able to increase the permeation of VC by creating a less rigid external phase that allowed faster drug diffusion. Meanwhile, the carbomer featured no permeation enhancement in o/w microemulsion, which was attributed to its thickening effect similar to colloidal silica [25]. The study did not analyze other types of microemulsion that would establish the carbomer’s compatibility with the vehicle.
4.2.3. Permeation Characteristics of Topically Applied VC and VC Derivatives
Vitamin C or ascorbic acid that is utilized in topical cosmetic products exists in the form of L-ascorbic acid. It is a dibasic acid and has a C2, C3-enediol moiety that is constructed into a five-membered heterocyclic lactone ring. The pharmacological action of VC is directly influenced by the hydroxyl group located on carbon 2 of the molecule. This functional group is accountable for its chemical instability and is prone to oxidation [33] L-ascorbic acid is very hydrophilic but is insoluble in organic solvents because it contains four hydroxyl functional groups [34]. The high hydrophilicity of the compound presents a major limitation in its skin permeation, with SC being lipophilic.
Generally, because of their poor affinity for the lipophilic outer layer of the skin (i.e., SC), hydrophilic drugs have less effective skin penetration characteristics than hydrophobic drugs. Since VC stimulates and regulates collagen biosynthesis through 4-hydroxylation of proline and lysine residues in the viable skin layers, both skin penetration and localization enhancement strategies are necessary to improve the delivery efficacy of hydrophilic VC. Lee and Tojo (1998) have reported the enhanced skin permeation results of VC by the hydration of the SC. When VC is paired with CPEs that act by lipid partitioning and hydration of the SC, this results in high permeation enhancing effects. Moreover, this is evident in the study conducted by Hikima et al., (2013) using amino acid CPEs. The hydrophilic nature of VC was addressed through the use of various drug delivery vehicles which included liposomes, microemulsions, and gels to which CPEs were added to impart a permeation enhancing effect. Since the scope of this systematic review focuses on CPEs alone, the efficacy of vehicles was not assessed but was considered a contributing factor. According to Pakpayat et al., (2009), the non-ionic surfactants decyl glucoside and sorbitan monolaurate, utilized in water in oil emulsions, were able to enhance the cutaneous absorption of VC by threefold compared to oil in water emulsions. This is also apparent in similar studies using eutectic mixtures by Rozman et al., (2009a), Rozman et al., (2009b), Rozman et al., (2010), Valgimigli et al., (2012), and Wathoni et al., (2012). The use of liposomes enabled VC to be encapsulated into a lipophilic vehicle and penetrate through the SC. The addition of phospholipids increased the lipophilic property of the topical formulation to promote the permeation of the highly hydrophobic VC.
Hydrogel was employed by Wang et al., (2018) containing oleic acid (a fatty acid), polyglycerol polyricinoleate (a polyol), and Tween® 80 (a non-ionic surfactant) which enhanced the permeation of VC through porcine skin. On the other hand, the topical delivery of VC was also enhanced through the use of an aqueous solution with non-ionic surfactants such as CPEs, POE-20, and POE-80.
Ascorbic acid 2-glucoside (AA2G) is a derivative of l-ascorbic acid shown to be more physicochemically stable, in addition to having a skin lightening and anti-oxidant action. The improved stability of the molecule is attributed to the conjugation of glucose with the carbon-2 hydroxyl of the AA2G [33]. Despite the increased stability, the use of AA2G in cosmetics remains hydrophilic, hindering its ability to cross the SC of the skin [17]. In the earlier literature, a wide variety of complex formulations, including liposomes, nanoparticles, and microemulsions were employed to allow easier passage of AA2G to penetrate through the skin [35]. In order to screen the formulation, the skin penetration effect of microemulsions was tested using mouse skin set on Franz diffusion apparatus. AA2G microemulsion had an impressive penetration capacity. Meanwhile, the study by Hikima et al., (2013) showed that the cutaneous absorption of AA2G in a topical formulation containing amino acid CPEs was significantly enhanced without using eutectic mixtures. Sodium dilauramidoglutamide lysine (DLGL) produces hydrophilic pathways throughout the SC that enable AA2G to penetrate by increasing SC hydration and the concentration gradient.
Ascorbyl palmitate is an excellent anti-aging agent since it smoothens out wrinkles and fine lines, evens out skin tone, and protects the skin from free radical damage. Moreover, it enhances collagen production. Structurally, ascorbyl palmitate is an amphipathic molecule; as a result, it may exist in both lipophilic and hydrophilic phases simultaneously. In the study conducted by Lee et al., (2007), skin permeation of ascorbyl palmitate was enhanced by encapsulating it in liposomes containing dimyristoylphosphatydilcholine (DMPC) and dicetylphosphate (DCP). The study showed one aspect of skin permeation selectivity, the so-called ‘Donnan exclusion effect’, which explains charged molecules’ skin permeation characteristics. The incorporation of phospholipid CPEs in liposomes improved the skin permeation of ascorbyl palmitate. The skin permeability of ascorbyl palmitate increased by modification of the lipid domain of the SC, leading to the increased fluidity of the SC. Hence, the combination of phospholipid CPEs were found to enhance the penetration of ascorbyl palmitate and allow for better encapsulation and stability in the liposome formulation.
4.3. Safety of CPEs
The Globally Harmonized System of Classification and Labeling of Chemicals (GHS) establishes a framework for chemical hazard communication by labeling and safety data sheets. By conveying the risks and promoting safety measures, the GHS is designed to reduce the number of untoward chemical incidents. GHS divides hazards into three categories: health hazards, physical hazards, and environmental hazards. However, our study focuses on the safety of CPEs which belong to health hazards which present dangers to human health specifically in the hazard class of acute toxicity. The majority of the CPEs (17 out of 18) found fall into category 5 based on dermal LD50 value obtained from safety data sheets, with one CPE classified as category 4. The GHS classification criteria for acute dermal toxicity were utilized to classify the CPE based on their dermal LD50 values. The chemicals in category 4 are slightly toxic and pose a risk to vulnerable populations with an LD50 value of >1000. On the other hand, chemicals in category 5 have a low acute toxicity but may be practically non-toxic, posing a small risk. Oral or dermal LD50 values in the range of 2000–5000 mg/kg, or equivalent doses for other routes of exposure, are expected for these chemicals. In this study, most of the CPEs identified are chemicals with the least risk/potential for acute dermal toxicity.
5. Conclusions
CPEs alone or in combination significantly increase the permeation of VC and its derivatives in topical formulations. Phospholipids, amino acids, terpenes, and fatty acids exhibit permeation-enhancing activity (ER = 0.198–106.57) when used alone or in combination with other CPEs. Non-ionic surfactants work more effectively as CPE when used alone. The combination of isopropyl myristate, sorbitan monolaurate, and polyoxyethylene 80 as CPEs for VC resulted in the highest permeation enhancement ratio.
The enhancement ratios had a low and inconsistent correlation with the calculated Log P of the CPEs reported in porcine (r = 0.114), mouse (r = −0.135), rabbit (r = 0.471), and RHE (r = −0.438) membranes suggesting that lipophilicity alone would not accurately determine the permeation-enhancing ability of CPEs. The factors that affect the ER include the interaction of CPEs with the SC, modifications in the structure of VC, and the chemical properties of the CPE. The CPEs were classified to be safe for use in topical formulations where the majority belonged to Category 5 of the GHS classification system.
The conduct of harmonized skin permeation experiments employing the identified CPEs using porcine skin, the membrane of choice for cosmetics permeation studies, under finite dose conditions is suggested. These conditions should produce data applicable to the development of topical VC formulations, particularly in the selection of the ideal CPE to improve skin deposition.
Author Contributions
Conceptualization, F.A.J., L.S.L., P.L.R., P.S. and G.L.S.; methodology, F.A.J., P.S. and G.L.S.; supervision, F.A.J. and G.L.S.; project administration, F.A.J., P.S. and G.L.S.; data curation, F.A.J., L.S.L. and P.L.R.; formal analysis, F.A.J., L.S.L., P.L.R., P.S. and G.L.S.; writing—original draft, F.A.J., L.S.L., P.L.R., P.S. and G.L.S. All authors have read and agreed to the published version of the manuscript.
Funding
This research received no external funding.
Institutional Review Board Statement
Not applicable.
Informed Consent Statement
Not applicable.
Data Availability Statement
Not applicable.
Acknowledgments
The authors acknowledge the scientific review contributions of Gea Abigail Ecoy and Kathrine Anne M. Flores.
Conflicts of Interest
The authors declare no conflict of interest.
References
- Oguntibeju, O.O. The biochemical, physiological and therapeutic roles of ascorbic acid. Afr. J. Biotechnol. 2021, 269, 13685–13688. [Google Scholar]
- Farris, P.K. Cosmetical vitamins: Vitamin C. In Cosmeceuticals. Procedures in Cosmetic Dermatology, 2nd ed.; Draelos, Z.D., Dover, J.S., Alam, M., Eds.; Saunders Elsevier: New York, NY, USA, 2009; pp. 51–56. [Google Scholar]
- Chen, L.; Hu, J.Y.; Wang, S.Q. The role of antioxidants in photoprotection: A critical review. J. Am. Acad. Dermatol. 2012, 67, 1013–1024. [Google Scholar] [CrossRef] [PubMed]
- Ando, H.; Kondoh, H.; Ichihashi, M.; Hearing, V.J. Approaches to identify inhibitors of melanin biosynthesis via the quality control of tyrosinase. J. Investig. Dermatol. 2007, 67, 751–761. [Google Scholar] [CrossRef] [PubMed]
- Khemis, A.; Cabou, J.; Dubois, J.; Ortonne, J.P. A randomized controlled study to evaluate the depigmenting activity of l-ascorbic acid plus phytic acid–serum vs. placebo on solar lentigines. J. Cosmet. Dermatol. 2011, 10, 266–272. [Google Scholar] [CrossRef] [PubMed]
- Kim, H.M.; An, H.S.; Bae, J.S.; Kim, J.Y.; Choi, C.H.; Kim, J.Y.; Choi, S.Y. Effects of palmitoyl-KVK-L-ascorbic acid on skin wrinkles and pigmentation. Arch. Dermatol. Res. 2017, 309, 397–402. [Google Scholar] [CrossRef] [PubMed]
- Telang, P.S. VC in dermatology. Indian Dermatol. Online J. 2013, 4, 143–146. [Google Scholar] [CrossRef] [PubMed]
- Kováčik, A.; Kopečná, M.; Vávrová, K. Permeation enhancers in transdermal drug delivery: Benefits and limitations. Expert Opin. Drug Discov. 2020, 17, 145–155. [Google Scholar] [CrossRef] [PubMed]
- Dragicevic, N.; Atkinson, J.P.; Maibach, H.I. Chemical penetration enhancers: Classification and mode of action. In Percutaneous Penetration Enhancers Chemical Methods in Penetration Enhancement, 2nd ed.; Springer: Berlin/Heidelberg, Germany, 2015; pp. 11–27. [Google Scholar]
- Kopečná, M.; Macháček, M.; Nováčková, A.; Paraskevopoulos, G.; Roh, J.; Vávrová, K. Esters of terpene alcohols as highly potent, reversible, and low toxic skin penetration enhancers. Sci. Rep. 2019, 9, 14617. [Google Scholar] [CrossRef]
- Iliopoulos, F.; Sil, B.C.; Moore, D.J.; Lucas, R.A.; Lane, M.E. 3-O-ethyl-l-ascorbic acid: Characterisation and investigation of single solvent systems for delivery to the skin. Int. J. Pharm. 2019, 1, 100025. [Google Scholar] [CrossRef]
- Iliopoulos, F.; Hossain, A.S.M.; Sil, B.C.; Moore, D.J.; Lucas, R.A.; Lane, M.E. Topical delivery of 3-O-ethyl l-ascorbic acid from complex solvent systems. Sci. Pharm. 2020, 88, 19. [Google Scholar] [CrossRef]
- Akhtar, N.; Rehman, M.U.; Khan, H.M.S.; Rasool, F.; Saeed, T.; Murtaz, G. Penetration enhancing effect of polysorbate 20 and 80 on the in vitro percutaneous absorption of lascorbic acid. Trop. J. Pharm. Res. 2011, 10, 281–288. [Google Scholar] [CrossRef]
- Davaran, S.; Hanaee, J.; Rashidi, M.R.; Valiolah, F.; Hashemi, M. Influence of poly (ethylene glycol)-α-cyclodextrin complexes on stabilization and transdermal permeation of ascorbic acid. J. Biomed. Mater. Res. 2006, 3, 590–594. [Google Scholar] [CrossRef]
- Lin, C.C.; Lin, Y.C.; Gao, M.Y.; Fang, Y.P. In vitro evaluation of permeation ability and in vivo whitening of ascorbic acid 2-glucoside in microemulsion. Int. J. Pharm. Sci. 2016, 3, 114–118. [Google Scholar]
- Lee, S.K.; Woo, R.S.; Choi, S.U.; Lee, J.H.; Choi, Y.W. The Effect of Limonene on Skin Permeation and Localization of Ascorbic Acid. J. Pharm. Investig. 2006, 36, 305–308. [Google Scholar]
- Pakpayat, N.; Nielloud, F.; Fortuné, R.; Tourne-Peteilh, C.; Villarreal, A.; Grillo, I.; Bataille, B. Formulation of ascorbic acid microemulsions with alkyl polyglycosides. Eur. J. Pharm. Biopharm. 2009, 72, 444–452. [Google Scholar] [CrossRef]
- Lee, S.; Lee, J.; Choi, Y.W. Skin permeation enhancement of ascorbyl palmitate by liposomal hydrogel (lipogel) formulation and electrical assistance. Biol. Pharm. Bull. 2007, 30, 393–396. [Google Scholar] [CrossRef]
- Maione-Silva, L.; de Castro, E.G.; Nascimento, T.L.; Cintra, E.R.; Moreira, L.C.; Cintra, B.A.S.; Lima, E.M. Ascorbic acid encapsulated into negatively charged liposomes exhibits increased skin permeation, retention and enhances collagen synthesis by fibroblasts. Sci. Rep. 2019, 9, 522. [Google Scholar] [CrossRef]
- Hikima, T.; Tamura, Y.; Yamawaki, Y.; Yamamoto, M.; Tojo, K. Skin accumulation and penetration of a hydrophilic compound by a novel gemini surfactant, sodium dilauramidoglutamide lysine. Int. J. Pharm. 2013, 443, 288–292. [Google Scholar] [CrossRef]
- Valgimigli, L.; Gabbanini, S.; Berlini, E.; Lucchi, E.; Beltramini, C.; Bertarelli, Y.L. Lemon (Citrus limon, Burm. f.) essential oil enhances the trans-epidermal release of lipid-(A, E) and water-(B6, C) soluble vitamins from topical emulsions in reconstructed human epidermis. Int. J. Cosmet. Sci. 2012, 34, 347–356. [Google Scholar] [CrossRef]
- Wang, Q.; Zhang, H.; Huang, J.; Xia, N.; Li, T.; Xia, Q. Self-double-emulsifying drug delivery system incorporated in natural hydrogels: A new way for topical application of vitamin C. J. Microencapsul. 2018, 35, 90–101. [Google Scholar] [CrossRef]
- Wathoni, N.; Panji Luhur, M. Effect of iontophoresis and propylene glycol on the in vitro diffusion of ethyl vitamin c cream. Int. Res. J. Pharm. Appl. Sci. 2012, 2, 31–34. [Google Scholar]
- Rozman, B.; Gosenca, M.; Gasperlin, M.; Padois, K.; Falson, F. Dual influence of colloidal silica on skin deposition of vitamins C and E simultaneously incorporated in topical microemulsions. Eur. J. Pharm. Biopharm. 2010, 36, 852–860. [Google Scholar] [CrossRef] [PubMed]
- Rozman, B.; Gasperlin, M.; Tinois-Tessoneaud, E.; Pirot, F.; Falson, F. Simultaneous absorption of vitamins C and E from topical microemulsions using reconstructed human epidermis as a skin model. Eur. J. Pharm. Biopharm. 2009, 72, 69–75. [Google Scholar] [CrossRef]
- Rozman, B.; Zvonar, A.; Falson, F.; Gasperlin, M. Temperature-sensitive microemulsion gel: An effective topical delivery system for simultaneous delivery of vitamins C and E. AAPS PharmSciTech 2009, 10, 54–61. [Google Scholar] [CrossRef]
- Arce, F.V., Jr.; Asano, N.; Yamashita, K.; Oda, A.; Uchida, T.; Sano, T.; Todo, H.; Sugibayashi, K. Effect of layered application on the skin permeation of a cosmetic active component, rhododendrol. J. Toxicol. Sci. 2019, 44, 1–11. [Google Scholar] [CrossRef]
- Savjani, K.T.; Gajjar, A.K.; Savjani, J.K. Drug Solubility: Importance and Enhancement Techniques. ISRN Pharm. 2012, 2012, 195727. [Google Scholar] [CrossRef]
- Ceschel, G.C.; Bergamante, V.; Maffei, P.; Borgia, S.L.; Calabrese, V. Biserni, S.; Ronchi, C. Solubility and Transdermal Permeation Properties of a Dehydroepiandrosterone Cyclodextrin Complex from Hydrophilic and Lipophilic Vehicles. Drug Deliv. 2008, 12, 275–280. [Google Scholar] [CrossRef]
- Pereira, R.; Silva, S.G.; Pinheiro, M.; Reis, S.; Vale, M. Current Status of Amino Acid-Based Permeation Enhancers in Transdermal Drug Delivery. Membr. J. 2021, 11, 343. [Google Scholar] [CrossRef]
- Ita, K. Chemical permeation enhancers. In Transdermal Drug Delivery; Elsevier Science: Amsterdam, The Netherlands, 2020; pp. 63–96. [Google Scholar]
- Ibrahim, S.A.; Li, S.K. Efficiency of fatty acids as chemical penetration enhancers: Mechanisms and structure enhancement relationship. Pharm. Res. 2010, 27, 115–125. [Google Scholar] [CrossRef]
- Caritá, A.C.; Fonseca-Santos, B.; Shultz, J.D.; Michniak-Kohn, B.; Chorilli, M.; Leonardi, G.R. Vitamin C: One compound, several uses. Advances for delivery, efficiency and stability. Nanomedicine 2020, 24, 102117. [Google Scholar] [CrossRef] [PubMed]
- Olabisi, A.O. The Chemistry of L-Ascorbic acid Derivatives in the Asymmetric Synthesis of C2-and C3-Substituted Aldono-γ-Lactones; Wichita State University: Wichita, KS, USA, 2005. [Google Scholar]
- Moribe, K.; Limwikrant, W.; Higashi, K.; Yamamoto, K. Drug Nanoparticle Formulation Using Ascorbic Acid Derivatives. J. Drug Deliv. 2011, 2011, 138929. [Google Scholar] [CrossRef]
Publisher’s Note: MDPI stays neutral with regard to jurisdictional claims in published maps and institutional affiliations. |
© 2022 by the authors. Licensee MDPI, Basel, Switzerland. This article is an open access article distributed under the terms and conditions of the Creative Commons Attribution (CC BY) license (https://creativecommons.org/licenses/by/4.0/).






