Cosmetic Potential of Cajanus cajan (L.) Millsp: Botanical Data, Traditional Uses, Phytochemistry and Biological Activities
Abstract
1. Introduction
2. Botanical Data
3. Traditional Uses
4. Phytochemical Characterization of the Main Phenolics from Pigeon Pea
4.1. Metabolic Origins of the Pigeon Pea Phenolics
4.2. Flavonoids from Pigeon Pea
4.2.1. Chalcones
4.2.2. Flavones
4.2.3. Flavanones
4.2.4. Isoflavonoids
4.2.5. Flavonols
4.2.6. Anthocyanins
4.3. Stilbenoids from Pigeon Pea
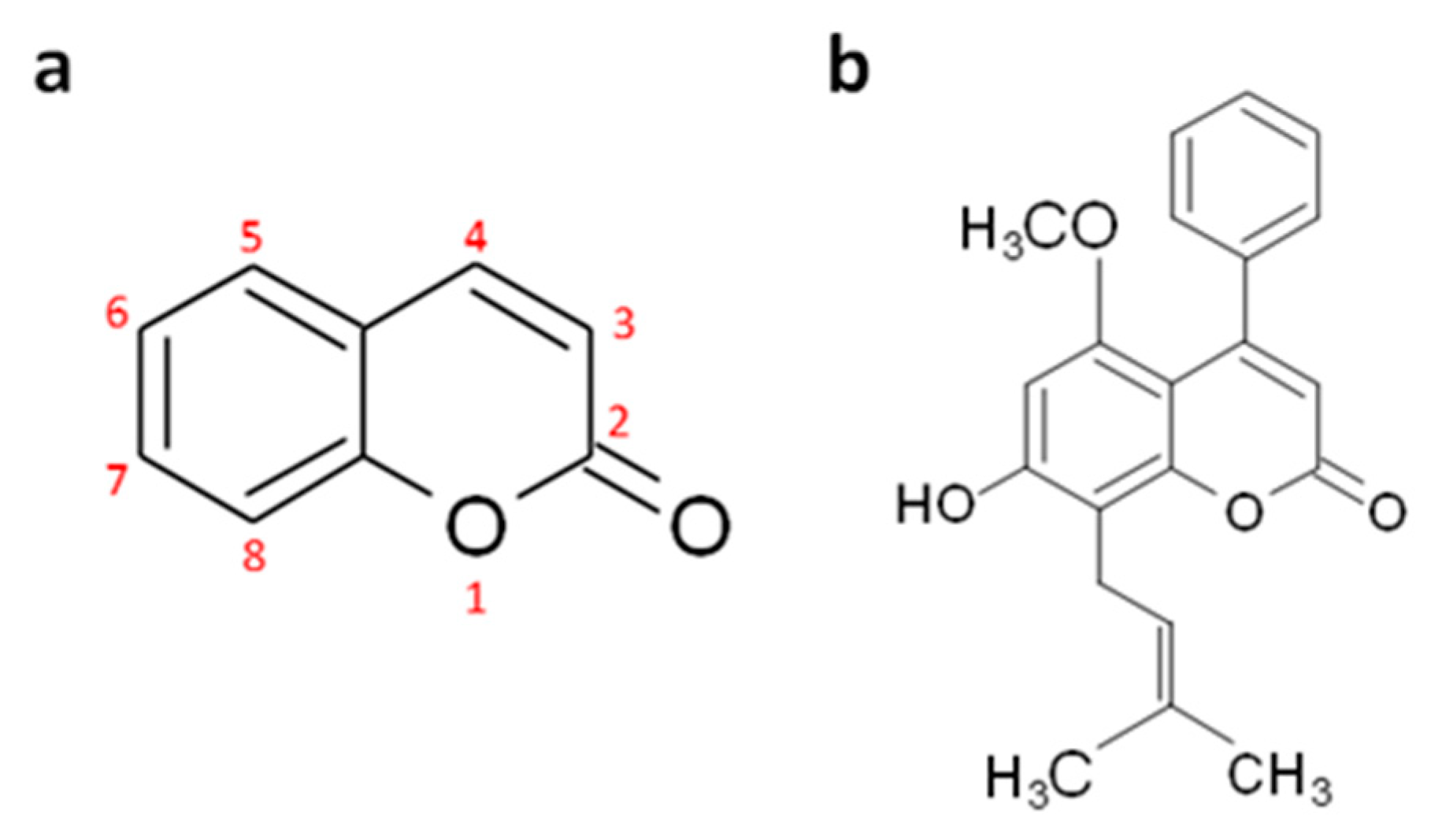
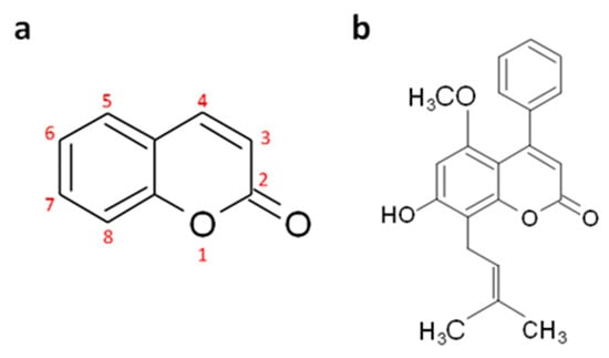
4.4. Coumarins from Pigeon Pea
5. Biological Activities of Flavonoids and Phenolics from Pigeon Pea
5.1. Antioxidant Activity
5.2. Anti-Inflammatory Activity
6. Conclusions and Future Perspectives
- -
- According to continuous reports on new flavonoid and other phenolic compounds from pigeon pea, more biological activities, such as anti-aging, anti-wrinkle and other activities that are valuable to cosmetic developments, should be explored in future research.
- -
- Various flavonoids and other phenolic compounds have been detected in various parts of pigeon pea which may not be equivalent in the consistency and quantity of these phytochemicals, so a preliminary analysis to identify the best part of this plant to be used as a raw material for cosmetic and/or cosmeceutical applications is a necessary and indisputable step.
- -
- The new innovative extraction method to enrich flavonoids and other phenolic phytochemical compounds from different plant material has been developed; these modern extraction methods are interesting to use with pigeon pea to minimize the cost and time of extraction.
- -
- Cosmetic companies based in different countries can consider the local pigeon pea cultivar for research and development of their products.
Author Contributions
Funding
Acknowledgments
Conflicts of Interest
References
- Fuller, D.Q.; Murphy, C.; Kingwell-Banham, E.; Castillo, C.C.; Naik, S. Cajanus cajan (L.) Millsp. origins and domestication: The South and Southeast Asian archaeobotanical evidence. Genet. Resour. Crop. Evol. 2019, 66, 1175–1188. [Google Scholar] [CrossRef]
- Upadhyay, B.; Parveen; Dhaker, A.K.; Kumar, A. Ethnomedicinal and ethnopharmaco-statistical studies of Eastern Rajasthan, India. J. Ethnopharmacol. 2010, 129, 64–86. [Google Scholar] [CrossRef]
- Ambasta, S.P. The Useful Plants of India, 4th ed.; National Institute of Science Communication: New Delhi, India, 2004; pp. 94–95. [Google Scholar]
- Owens, J.D.; Astuti, M.K. Tempe and related products. In Indigenous Fermented Foods of Southeast Asia; Owens, J.D., Ed.; CRC Press: Boca Raton, FL, USA, 2015. [Google Scholar]
- Ahsan, R.; Islam, M. In vitro antibacterial screening and toxicological study of some useful plants (Cajanus cajan). Eur. J. Sci. Res. 2009, 41, 227–232. [Google Scholar]
- Kiwia, A.; Kimani, D.; Harawa, R.; Jama, B.; Sileshi, G.W. Sustainable Intensification with Cereal-Legume Intercropping in Eastern and Southern Africa. Sustainability 2019, 11, 2891. [Google Scholar] [CrossRef]
- Ganesan, S. Traditional oral care medicinal plants survey of Tamil nadu. Nat. Prod. Rad. 2008, 7, 166–172. [Google Scholar]
- Al-Saeedi, A.H.; Amzad Hossain, M. Total phenols, total flavonoids contents and free radical scavenging activity of seeds crude extracts of pigeonpea traditionally used in Oman for the treatment of several chronic diseases. Asian Pac. J. Trop. Dis. 2015, 5, 316–321. [Google Scholar] [CrossRef]
- Yu, O.; Jez, J.M. Nature’s assembly line: Biosynthesis of simple phenylpropanoids and polyketides. Plant J. 2008, 54, 750–762. [Google Scholar] [CrossRef]
- Weng, J.K.; Noel, J.P. Structure-function analyses of plant type III polyketide synthases. In Methods in Enzymology; Academic Press: Cambridge, MA, USA, 2012; pp. 317–335. [Google Scholar]
- Ferrer, J.-L.; Austin, M.B.; Stewart, C.R.; Noel, J.P. Structure and function of enzymes involved in the biosynthesis of phenylpropanoids. Plant Physiol. Biochem. 2008, 46, 356–370. [Google Scholar] [CrossRef]
- Lanz, T.; Tropf, S.; Marner, F.J.; Schröder, J.; Schröder, G. The role of cysteines in polyketide synthases. Site-directed mutagenesis of resveratrol and chalcone synthases, two key enzymes in different plant-specific pathways. J. Biol. Chem. 1991, 266, 9971–9976. [Google Scholar]
- Stefanachi, A.; Leonetti, F.; Pisani, L.; Catto, M.; Carotti, A. Coumarin: A Natural, Privileged and Versatile Scaffold for Bioactive Compounds. Molecules 2018, 23, 250. [Google Scholar] [CrossRef]
- Wei, Z.-F.; Luo, M.; Zhao, C.; Li, C.; Gu, C.; Wang, W.; Zu, Y.-G.; Efferth, T.; Fu, Y.-J. UV-Induced Changes of Active Components and Antioxidant Activity in Postharvest Pigeon Pea [Cajanus cajan (L.) Millsp.] Leaves. J. Agric. Food Chem. 2013, 61, 1165–1171. [Google Scholar] [CrossRef]
- Cooksey, C.J.; Dahiya, J.S.; Garratt, P.J.; Strange, R.N. Two novel stilbene-2-carboxylic acid phytoalexins from Cajanus cajan. Phytochemistry 1980, 21, 2935–2938. [Google Scholar] [CrossRef]
- Fu, Y.; Zu, Y.; Liu, W.; Hou, C.; Chen, L.; Li, S.; Shi, X.; Tong, M. Preparative separation of vitexin and isovitexin from pigeonpea extracts with macroporous resins. J. Chromatogr. A 2007, 1139, 206–213. [Google Scholar] [CrossRef]
- Fu, Y.J.; Liu, W.; Zu, Y.G.; Tong, M.H.; Li, S.M.; Yan, M.M.; Efferth, T.; Luo, H. Enzyme assisted extraction of luteolin and apigenin from pigeonpea [Cajanus cajan (L.) Millsp.] leaves. Food Chem. 2008, 111, 508–512. [Google Scholar] [CrossRef] [PubMed]
- Zu, Y.-G.; Fu, Y.-J.; Liu, W.; Hou, C.-L.; Kong, Y. Simultaneous Determination of Four Flavonoids in Pigeonpea [Cajanus cajan (L.) Millsp.] Leaves Using RP-LC-DAD. Chromatographia 2006, 63, 499–505. [Google Scholar] [CrossRef]
- Wei, Z.; Zu, Y.-G.; Fu, Y.; Wang, W.; Luo, M.; Zhao, C.; Pan, Y. Ionic liquids-based microwave-assisted extraction of active components from pigeon pea leaves for quantitative analysis. Sep. Purif. Technol. 2013, 102, 75–81. [Google Scholar] [CrossRef]
- Wu, N.; Fu, K.; Fu, Y.-J.; Zu, Y.-G.; Chang, F.-R.; Chen, Y.-H.; Liu, X.-L.; Kong, Y.; Liu, W.; Gu, C.-B. Antioxidant Activities of Extracts and Main Components of Pigeonpea [Cajanus cajan (L.) Millsp.] Leaves. Molecules 2009, 14, 1032–1043. [Google Scholar] [CrossRef]
- Ashidi, J.S.; Houghton, P.J.; Hylands, P.J.; Efferth, T. Ethnobotanical survey and cytotoxicity testing of plants of South-western Nigeria used to treat cancer, with isolation of cytotoxic constituents from Cajanus cajan Millsp. leaves. J. Ethnopharmacol. 2010, 128, 501–512. [Google Scholar] [CrossRef]
- Duker-Eshun, G.; Jaroszewski, J.W.; Asomaning, W.A.; Oppong-Boachie, F.; Christensen, S.B. Antiplasmodial constituents of Cajanus cajan. Phytother. Res. 2004, 18, 128–130. [Google Scholar] [CrossRef]
- Kong, Y.; Zu, Y.-G.; Fu, Y.-J.; Liu, W.; Chang, F.-R.; Li, J.; Chen, Y.-H.; Zhang, S.; Gu, C.-B. Optimization of microwave-assisted extraction of cajaninstilbene acid and pinostrobin from pigeonpea leaves followed by RP-HPLC-DAD determination. J. Food Compos. Anal. 2010, 23, 382–388. [Google Scholar] [CrossRef]
- Nicholson, R.A.; David, L.S.; Le Pan, R.; Liu, X.M. Pinostrobin from Cajanus cajan (L.) Millsp. inhibits sodium channel-activated depolarization of mouse brain synaptoneurosomes. Fitoterapia 2010, 81, 826–829. [Google Scholar] [CrossRef]
- Bhanumati, S.; Chhabra, S.C.; Gupta, S.R.; Krishnamoorthy, V. Cajaflavanone: A new flavanone from Cajanus cajan. Phytochemistry 1978, 17, 2045. [Google Scholar] [CrossRef]
- Dahiya, J.S. Reversed-phase high-performance liquid chromatography of Cajanus cajan phytoalexins. J. Chromatogr. A 1987, 409, 355–359. [Google Scholar] [CrossRef]
- Marley, P.; Hillocks, R.J. Induction of phytoalexins in pigeonpea (Cajanus cajan) in response to inoculation withFusarium udum and other treatments. Pest. Manag. Sci. 2002, 58, 1068–1072. [Google Scholar] [CrossRef]
- Ingham, J.L. Induced isoflavonoids from fungus-infected stems of pigeon pea (Cajanus cajan). Z. Naturforsch. C 1976, 31, 504–508. [Google Scholar] [CrossRef] [PubMed]
- Ingham, J.L. A revised structure for the phytoalexin cajanol. Z. Naturforsch. C 1979, 34, 159–161. [Google Scholar] [CrossRef]
- Preston, N.W. Cajanone: An antifungal isoflavanone from Cajanus cajan. Phytochemistry 1977, 16, 143–144. [Google Scholar] [CrossRef]
- Cui, Q.; Peng, X.; Yao, X.-H.; Wei, Z.-F.; Luo, M.; Wang, W.; Zhao, C.; Fu, Y.; Zu, Y. Deep eutectic solvent-based microwave-assisted extraction of genistin, genistein and apigenin from pigeon pea roots. Sep. Purif. Technol. 2015, 150, 63–72. [Google Scholar] [CrossRef]
- Liu, X.-L.; Zhang, X.-J.; Fu, Y.-J.; Zu, Y.-G.; Wu, N.; Liang, L.; Efferth, T. Cajanol Inhibits the Growth of Escherichia coli and Staphylococcus aureus by Acting on Membrane and DNA Damage. Planta Med. 2010, 77, 158–163. [Google Scholar] [CrossRef]
- Liu, W.; Kong, Y.; Zu, Y.-G.; Fu, Y.-J.; Luo, M.; Zhang, L.; Li, J. Determination and quantification of active phenolic compounds in pigeon pea leaves and its medicinal product using liquid chromatography–tandem mass spectrometry. J. Chromatogr. A 2010, 1217, 4723–4731. [Google Scholar] [CrossRef]
- Dahiya, J.S. Cajaflavanone and cajanone released from Cajanus cajan (L. Millsp.) roots induce nod genes of Bradyrhizobium sp. Plant Soil 1991, 134, 297–304. [Google Scholar] [CrossRef]
- Dahiya, J.S.; Strange, R.N.; Bilyard, K.G.; Cooksey, C.J.; Garratt, P.J. Two isoprenylated isoflavone phytoalexins from Cajanus cajan. Phytochemistry 1984, 23, 871–873. [Google Scholar] [CrossRef]
- Bhanumanti, S.; Chhabra, S.; Gupta, S.; Krishnamoorthy, V. 2′-O-methylcajanone: A new isoflavanone from Cajanus cajan. Phytochemistry 1979, 18, 693. [Google Scholar] [CrossRef]
- Bhanumati, S.; Chhabra, S.; Gupta, S. Cajaisoflavone, a new prenylated isoflavone from Cajanus cajan. Phytochemistry 1979, 18, 1254. [Google Scholar] [CrossRef]
- Bhanumati, S.; Chhabra, S.C.; Gupta, S.R.; Krishnamoorthy, V. New isoflavone glucoside from Cajanus cajan. Phytochemistry 1979, 18, 365–366. [Google Scholar] [CrossRef]
- Green, P.W.C.; Stevenson, P.C.; Simmonds, M.S.J.; Sharma, H.C. Phenolic Compounds on the Pod-Surface of Pigeonpea, Cajanus cajan, Mediate Feeding Behavior of Helicoverpa armigera Larvae. J. Chem. Ecol. 2003, 29, 811–821. [Google Scholar] [CrossRef] [PubMed]
- Xu, X.-Y.; Fan, Q.-F.; Zhan, R.; Li, A.-P.; Kang, Z.-M.; Song, Q.; Zheng, K.-B. Four Flavonols with Antioxidant Activity from the Bark of Cajanus cajan. Chem. Nat. Compd. 2017, 53, 956–957. [Google Scholar] [CrossRef]
- Lai, Y.-S.; Hsu, W.-H.; Huang, J.-J.; Wu, S.-C. Antioxidant and anti-inflammatory effects of pigeon pea (Cajanus cajan L.) extracts on hydrogen peroxide- and lipopolysaccharide-treated RAW264.7 macrophages. Food Funct. 2012, 3, 1294–1301. [Google Scholar] [CrossRef] [PubMed]
- Zhang, N.-L.; Shen, X.; Jiang, X.; Cai, J.; Shen, X.; Hu, Y.; Qiu, S.X. Two new cytotoxic stilbenoid dimers isolated from Cajanus cajan. J. Nat. Med. 2017, 72, 304–309. [Google Scholar] [CrossRef]
- Wu, G.-Y.; Zhang, X.; Guo, X.-Y.; Huo, L.-Q.; Liu, H.-X.; Shen, X.-L.; Qiu, S.-X.; Hu, Y.-J.; Tan, H.-B. Prenylated stilbenes and flavonoids from the leaves of Cajanus cajan. Chin. J. Nat. Med. 2019, 17, 381–386. [Google Scholar] [CrossRef]
- Del Río, J.A.; Díaz, L.; García-Bernal, D.; Blanquer, M.; Ortuno, A.; Correal, E.; Moraleda, J.M. Furanocoumarins: Biomolecules of therapeutic interest. In Studies in Natural Products Chemistry; Elsevier: Amsterdam, The Netherlands, 2014; pp. 145–195. [Google Scholar]
- Kong, Y.; Fu, Y.-J.; Zu, Y.-G.; Chang, F.-R.; Chen, Y.-H.; Liu, X.-L.; Stelten, J.; Schiebel, H.-M. Cajanuslactone, a new coumarin with anti-bacterial activity from pigeon pea [Cajanus cajan (L.) Millsp.] leaves. Food Chem. 2010, 121, 1150–1155. [Google Scholar] [CrossRef]
- Chambers, C.; Dubakiene, R.; Grimalt, R.; Jazwiec-Kanyion, B.; Kapoulas, V.; Krutmann, J.; Lidén, C.; Marty, J.-P.; Rastogi, S.C.; Revuz, J.; et al. Scientific committee on consumer products. In Proceedings of the Opinion on Furocoumarins in Cosmetic Products, Brussels, Belgium, 13 December 2005; pp. 1–9. [Google Scholar]
- Tungmunnithum, D.; Thongboonyou, A.; Pholboon, A.; Yangsabai, A. Flavonoids and Other Phenolic Compounds from Medicinal Plants for Pharmaceutical and Medical Aspects: An Overview. Medicines 2018, 5, 93. [Google Scholar] [CrossRef] [PubMed]
- Hano, C.; Tungmunnithum, D. Plant Polyphenols, More than Just Simple Natural Antioxidants: Oxidative Stress, Aging and Age-Related Diseases. Medicines 2020, 7, 26. [Google Scholar] [CrossRef]
- Sarkar, R.; Mandal, N. Hydroalcoholic extracts of Indian medicinal plants can help in amelioration from oxidative stress through antioxidant properties. J. Complement. Integr. Med. 2012, 9, 1553–1583. [Google Scholar] [CrossRef]
- Wei, Z.-F.; Jin, S.; Luo, M.; Pan, Y.-Z.; Li, T.-T.; Qi, X.-L.; Efferth, T.; Fu, Y.-J.; Zu, Y.-G. Variation in Contents of Main Active Components and Antioxidant Activity in Leaves of Different Pigeon Pea Cultivars during Growth. J. Agric. Food Chem. 2013, 61, 10002–10009. [Google Scholar] [CrossRef]
- Mahitha, B.; Archana, P.; Ebrahimzadeh, M.H.; Srikanth, K.; Rajinikanth, M.; Ramaswamy, N. In vitro Antioxidant and Pharmacognostic Studies of Leaf Extracts of Cajanus cajan (L.) Millsp. Indian J. Pharm. Sci. 2015, 77, 170. [Google Scholar]
- Hassan, E.M.; Matloub, A.; Aboutabl, M.E.; Ibrahim, N.A.; Mohamed, S. Assessment of anti-inflammatory, antinociceptive, immunomodulatory, and antioxidant activities of Cajanus cajan L. seeds cultivated in Egypt and its phytochemical composition. Pharm. Biol. 2015, 54, 1380–1391. [Google Scholar] [CrossRef]
- Uchegbu, N.N.; Ishiwu, C.N. Germinated Pigeon Pea (Cajanus cajan): A novel diet for lowering oxidative stress and hyperglycemia. Food Sci. Nutr. 2016, 4, 772–777. [Google Scholar] [CrossRef] [PubMed]
- Vo, T.-L.T.; Yang, N.-C.; Yang, S.-E.; Chen, C.-L.; Wu, C.-H.; Song, T.-Y. Effects of Cajanus cajan (L.) millsp. roots extracts on the antioxidant and anti-inflammatory activities. Chin. J. Physiol. 2020, 63, 137. [Google Scholar] [CrossRef]






Publisher’s Note: MDPI stays neutral with regard to jurisdictional claims in published maps and institutional affiliations. |
© 2020 by the authors. Licensee MDPI, Basel, Switzerland. This article is an open access article distributed under the terms and conditions of the Creative Commons Attribution (CC BY) license (http://creativecommons.org/licenses/by/4.0/).
Share and Cite
Tungmunnithum, D.; Hano, C. Cosmetic Potential of Cajanus cajan (L.) Millsp: Botanical Data, Traditional Uses, Phytochemistry and Biological Activities. Cosmetics 2020, 7, 84. https://doi.org/10.3390/cosmetics7040084
Tungmunnithum D, Hano C. Cosmetic Potential of Cajanus cajan (L.) Millsp: Botanical Data, Traditional Uses, Phytochemistry and Biological Activities. Cosmetics. 2020; 7(4):84. https://doi.org/10.3390/cosmetics7040084
Chicago/Turabian StyleTungmunnithum, Duangjai, and Christophe Hano. 2020. "Cosmetic Potential of Cajanus cajan (L.) Millsp: Botanical Data, Traditional Uses, Phytochemistry and Biological Activities" Cosmetics 7, no. 4: 84. https://doi.org/10.3390/cosmetics7040084
APA StyleTungmunnithum, D., & Hano, C. (2020). Cosmetic Potential of Cajanus cajan (L.) Millsp: Botanical Data, Traditional Uses, Phytochemistry and Biological Activities. Cosmetics, 7(4), 84. https://doi.org/10.3390/cosmetics7040084
