Biological Activities of the Extract and Hitorins A and B from Chloranthus quadrifolius in Human Adipose-Derived Mesenchymal Stem Cells
Abstract
1. Introduction
2. Materials and Methods
2.1. Crude Extracts and Hitorins A and B from Chloranthus quadrifolius
2.2. Cell Culture and Sample Preparation
2.3. Cell-Proliferation Assay
2.4. Quantitative Polymerase Chain Reaction (qPCR) Assay
2.5. Lipid Droplet Staining with Oil Red O and Triglyceride Content Quantification
2.6. Adipogenesis-Related Gene Expression Analysis
2.7. Analysis of Stemness-Related Gene Expression
2.8. Anti-Aging Effects
2.9. Analysis of Intracellular Antioxidant Activity and Inflammation-Related Gene Expression
2.10. 1,1-Diphenyl-2-Picrylhydrazyl (DPPH) Radical Scavenging Assay
2.11. Statistical Analysis
3. Results and Discussion
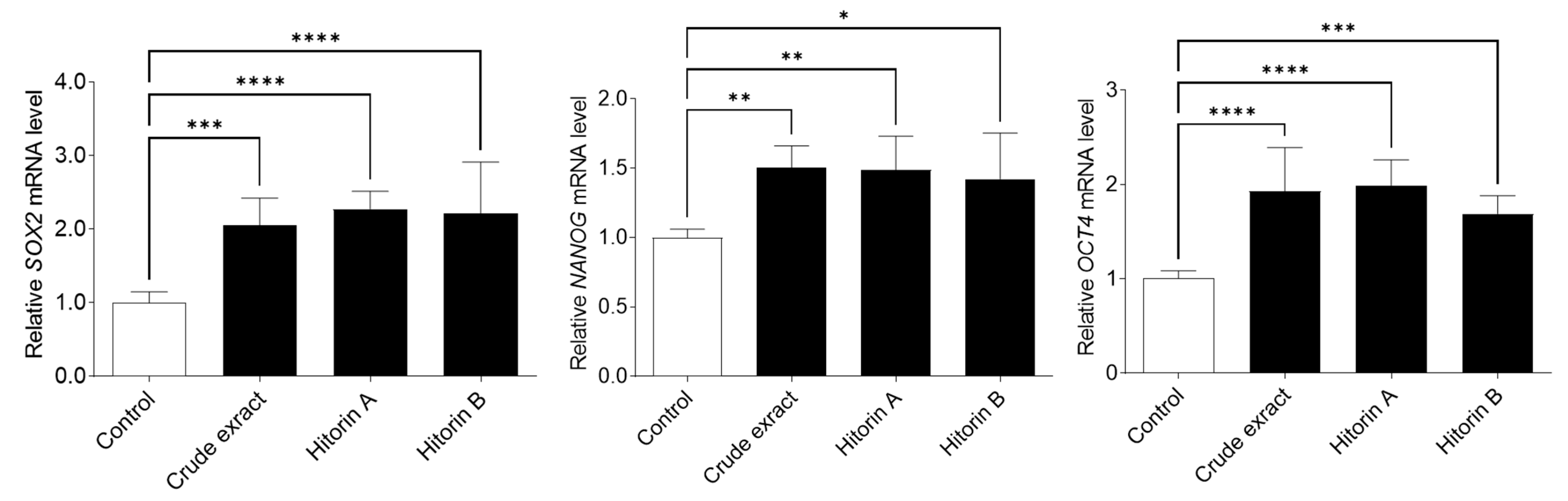
3.1. Crude Extract and Hitorins A and B from C. quadrifolius Inhibit Excessive Adipocyte Differentiation and Promote AD-MSCs Proliferation
3.2. Crude Extract and Hitorins A and B from C. quadrifolius Inhibit Cellular Senescence in AD-MSCs Through Antioxidative and Anti-Inflammatory Activities
4. Conclusions
Author Contributions
Funding
Institutional Review Board Statement
Informed Consent Statement
Data Availability Statement
Acknowledgments
Conflicts of Interest
Abbreviations
| AD-MSCs | Adipose-derived Mesenchymal Stem Cells |
| C/EBPα | CCAAT/Enhancer-Binding Protein Alpha |
| DCFH-DA | 2′,7′-dichlorofluorescein diacetate |
| GAPDH | Glyceraldehyde-3-Phosphate Dehydrogenase |
| GLB1 | Galactosidase Beta 1 |
| H2O2 | Hydrogen Peroxide |
| IL-6 | Interleukin-6 |
| IL-8 | Interleukin-8 |
| NANOG | Homeobox Protein NANOG |
| Nrf2 | Nuclear Factor Erythroid 2-Related Factor 2 |
| OCT4 | Octamer-Binding Transcription Factor 4 |
| PCR | Polymerase Chain Reaction |
| PPARγ | Peroxisome Proliferator-Activated Receptor γ |
| ROS | Reactive Oxygen Species |
| SA-β-galactosidase | Senescence-Associated β-galactosidase |
| SOX2 | SRY-Box Transcription Factor 2 |
References
- Harris-Tryon, T.A.; Grice, E.A. Microbiota and maintenance of skin barrier function. Science 2022, 376, 940–945. [Google Scholar] [CrossRef] [PubMed]
- Oh, J.; Lee, Y.D.; Wagers, A.J. Stem cell aging: Mechanisms, regulators and therapeutic opportunities. Nat. Med. 2014, 20, 870–880. [Google Scholar] [CrossRef] [PubMed]
- Zouboulis, C.C.; Adjaye, J.; Akamatsu, H.; Moe-Behrens, G.; Niemann, C. Human skin stem cells and the ageing process. Exp. Gerontol. 2008, 43, 986–997. [Google Scholar] [CrossRef] [PubMed]
- Si, Z.; Wang, X.; Sun, C.; Kang, Y.; Xu, J.; Wang, X.; Hui, Y. Adipose-derived stem cells: Sources, potency, and implications for regenerative therapies. Biomed. Pharmacother. 2019, 114, 108765. [Google Scholar] [CrossRef]
- Hong, S.J.; Jia, S.-X.; Xie, P.; Xu, W.; Leung, K.P.; Mustoe, T.A.; Galiano, R.D. Topically delivered adipose derived stem cells show an activated-fibroblast phenotype and enhance granulation tissue formation in skin wounds. PLoS ONE 2013, 8, e55640. [Google Scholar] [CrossRef]
- Bunnell, B.A. Adipose tissue-derived mesenchymal stem cells. Cells 2021, 10, 3433. [Google Scholar] [CrossRef]
- Chavez-Munoz, C.; Nguyen, K.T.; Xu, W.; Hong, S.-J.; Mustoe, T.A.; Galiano, R.D. Transdifferentiation of Adipose-Derived Stem Cells into Keratinocyte-Like Cells: Engineering a Stratified Epidermis. PLoS ONE 2013, 8, e80587. [Google Scholar] [CrossRef]
- Mazini, L.; Rochette, L.; Admou, B.; Amal, S.; Malka, G. Hopes and limits of adipose-derived stem cells (ADSCs) and mesenchymal stem cells (MSCs) in wound healing. Int. J. Mol. Sci. 2020, 21, 1306. [Google Scholar] [CrossRef]
- Lee, S.H.; Jin, S.Y.; Song, J.S.; Seo, K.K.; Cho, K.H. Paracrine effects of adipose-derived stem cells on keratinocytes and dermal fibroblasts. Ann. Dermatol. 2012, 24, 136–143. [Google Scholar] [CrossRef]
- Cho, B.S.; Lee, J.; Won, Y.; Duncan, D.I.; Jin, R.C.; Lee, J.; Kwon, H.H.; Park, G.-H.; Yang, S.H.; Park, B.C.; et al. Skin brightening efficacy of exosomes derived from human adipose tissue-derived stem/stromal cells: A prospective, split-face, randomized placebo-controlled study. Cosmetics 2020, 7, 90. [Google Scholar] [CrossRef]
- Kim, W.-S.; Park, B.-S.; Sung, J.-H. The wound-healing and antioxidant effects of adipose-derived stem cells. Expert. Opin. Biol. Ther. 2009, 9, 879–887. [Google Scholar] [CrossRef] [PubMed]
- Sahin, E.; DePinho, R.A. Linking functional decline of telomeres, mitochondria and stem cells during ageing. Nature 2010, 464, 520–528. [Google Scholar] [CrossRef] [PubMed]
- Dos Santos, G.A.; Magdaleno, G.D.V.; De Magalhães, J.P. Evidence of a pan-tissue decline in stemness during human aging. Aging 2024, 16, 5796–5810. [Google Scholar] [CrossRef] [PubMed]
- Ohba, H.; Akiyama, S. The identity of Chloranthus japonicus Siebold (Chloranthaceae). J. Jpn. Bot. 2014, 89, 236–242. [Google Scholar]
- An, C.; Ma, S.; Shi, X.; Xue, W.; Liu, C.; Ding, H. Diversity and antimicrobial activity of endophytic fungi isolated from Chloranthus japonicus Sieb in Qinling Mountains, China. Int. J. Mol. Sci. 2020, 21, 5958. [Google Scholar] [CrossRef]
- Jiang, C.-S.; Guo, Y.-Q.; Yin, S.; Zhang, H.; Tang, G.-H. A new lindenane-type sesquiterpenoid lactone from Chloranthus japonicus. J. Asian Nat. Prod. Res. 2019, 21, 377–383. [Google Scholar] [CrossRef]
- Lin, R.; Sun, R.; Xiao, T.; Pei, S.; Zhang, Q.; Cheng, Y.; Guo, X.; Yang, Z.; Gu, X.; Zhang, F.; et al. Phenylpropenol ester and sesquiterpenoids with antimetastatic activities from the whole plants of Chloranthus japonicus. Arab. J. Chem. 2022, 15, 104100. [Google Scholar] [CrossRef]
- Fang, P.-L.; Cao, Y.-L.; Yan, H.; Pan, L.-L.; Liu, S.-C.; Gong, N.-B.; Lü, Y.; Chen, C.-X.; Zhong, H.-M.; Guo, Y.; et al. Lindenane disesquiterpenoids with anti-HIV-1 activity from Chloranthus japonicus. J. Nat. Prod. 2011, 74, 1408–1413. [Google Scholar] [CrossRef]
- Thi Thoa, N.; Hop, N.Q.; Son, N.T.; Sieb, C.J. Chloranthus japonicus Sieb. (Chloranthaceae): A review of metabolite structural diversity and pharmacology. Biochem. Syst. Ecol. 2024, 117, 104911. [Google Scholar] [CrossRef]
- Kang, T.H.; Lee, Y.M.; Lee, W.J.; Hwang, E.I.; Park, K.D.; Choi, G.J.; Moon, J.S.; Park, H.-Y.; Kim, S.U. Antifungal activities of dimeric Sesquiterpenes, Shizukaols C and F, isolated from Chloranthus japonicus Sieb. J. Microbiol. Biotechnol. 2017, 27, 1272–1275. [Google Scholar] [CrossRef]
- Guo, Y.-Q.; Zhao, J.-J.; Li, Z.-Z.; Tang, G.-H.; Zhao, Z.-M.; Yin, S. Natural nitric oxide (NO) inhibitors from Chloranthus japonicus. Bioorg. Med. Chem. Lett. 2016, 26, 3163–3166. [Google Scholar] [CrossRef] [PubMed]
- Kim, S.-Y.; Nagashima, H.; Tanaka, N.; Kashiwada, Y.; Kobayashi, J.; Kojoma, M. Hitorins A and B, hexacyclic C25 terpenoids from Chloranthus japonicus. Org. Lett. 2016, 18, 5420–5423. [Google Scholar] [CrossRef] [PubMed]
- Kunihiro, K.; Sano, K. Supersulfides regulate cell migration in human skin keratinocytes. Cell Struct. Funct. 2025, 50, 169–182. [Google Scholar] [CrossRef] [PubMed]
- Ralf Paus, L.; Klein, J.; Permana, P.A.; Owecki, M.; Chaldakov, G.N.; Böhm, M.; Hausman, G.; Lapière, C.M.; Atanassova, P.; Sowiński, J.; et al. What are subcutaneous adipocytes really good for…? Exp. Dermatol 2007, 16, 45–70. [Google Scholar] [CrossRef]
- Wollina, U.; Wetzker, R.; Abdel-Naser, M.B.; Kruglikov, I.L. Role of adipose tissue in facial aging. CIA 2017, 12, 2069–2076. [Google Scholar] [CrossRef]
- Ezure, T.; Amano, S. Influence of subcutaneous adipose tissue mass on dermal elasticity and sagging severity in lower cheek. Skin. Res. Technol. 2010, 16, 332–338. [Google Scholar] [CrossRef]
- Ezure, T.; Amano, S. Increment of subcutaneous adipose tissue is associated with decrease of elastic fibres in the dermal layer. Exp. Dermatol. 2015, 24, 924–929. [Google Scholar] [CrossRef]
- Ezure, T.; Amano, S. Negative regulation of dermal fibroblasts by enlarged adipocytes through release of free fatty acids. J. Investig. Dermatol. 2011, 131, 2004–2009. [Google Scholar] [CrossRef]
- Lao, W.; Zhao, Y.; Tan, Y.; Johnson, M.; Li, Y.; Xiao, L.; Cheng, J.; Lin, Y.; Qu, X. Regulatory effects and mechanism of action of green tea polyphenols on osteogenesis and adipogenesis in human adipose tissue-derived stem cells. Curr. Issues Mol. Biol. 2022, 44, 6046–6058. [Google Scholar] [CrossRef]
- Yagi, M.; Suzuki, N.; Takayama, T.; Arisue, M.; Kodama, T.; Yoda, Y.; Numasaki, H.; Otsuka, K.; Ito, K. Lactoferrin suppress the adipogenic differentiation of MC3T3-G2/PA6 Cells. J. Oral. Sci. 2008, 50, 419–425. [Google Scholar] [CrossRef]
- Cruciani, S.; Garroni, G.; Balzano, F.; Pala, R.; Bellu, E.; Cossu, M.L.; Ginesu, G.C.; Ventura, C.; Maioli, M. Tuning adipogenic differentiation in ADSCs by metformin and vitamin D: Involvement of miRNAs. Int. J. Mol. Sci. 2020, 21, 6181. [Google Scholar] [CrossRef] [PubMed]
- Lee, J.-E.; Kim, J.-M.; Jang, H.-J.; Lim, S.-Y.; Choi, S.-J.; Lee, N.-H.; Suh, P.-G.; Choi, U.-K. Propyl gallate inhibits adipogenesis by stimulating extracellular signal-related kinases in human adipose tissue-derived mesenchymal stem cells. Mol. Cells 2015, 38, 336–342. [Google Scholar] [CrossRef] [PubMed]
- Basoli, V.; Santaniello, S.; Cruciani, S.; Ginesu, G.C.; Cossu, M.L.; Delitala, A.P.; Serra, P.A.; Ventura, C.; Maioli, M. Melatonin and vitamin D interfere with the adipogenic fate of adipose-derived stem cells. Int. J. Mol. Sci. 2017, 18, 981. [Google Scholar] [CrossRef] [PubMed]
- Carrasco-Garcia, E.; Moreno-Cugnon, L.; Garcia, I.; Borras, C.; Revuelta, M.; Izeta, A.; Lopez-Lluch, G.; De Pancorbo, M.M.; Vergara, I.; Vina, J.; et al. SOX2 expression diminishes with ageing in several tissues in mice and humans. Mech. Ageing Dev. 2019, 177, 30–36. [Google Scholar] [CrossRef]
- Facchin, F.; Bianconi, E.; Romano, M.; Impellizzeri, A.; Alviano, F.; Maioli, M.; Canaider, S.; Ventura, C. Comparison of oxidative stress effects on senescence patterning of human adult and perinatal tissue-derived stem cells in short and long-term cultures. Int. J. Med. Sci. 2018, 15, 1486–1501. [Google Scholar] [CrossRef]
- Choudhery, M.S.; Badowski, M.; Muise, A.; Pierce, J.; Harris, D.T. Donor age negatively impacts adipose tissue-derived mesenchymal stem cell expansion and differentiation. J. Transl. Med. 2014, 12, 8. [Google Scholar] [CrossRef]
- Waheed, T.O.; Hahn, O.; Sridharan, K.; Mörke, C.; Kamp, G.; Peters, K. Oxidative stress response in adipose tissue-derived mesenchymal stem/stromal cells. Int. J. Mol. Sci. 2022, 23, 13435. [Google Scholar] [CrossRef]
- Liao, N.; Shi, Y.; Zhang, C.; Zheng, Y.; Wang, Y.; Zhao, B.; Zeng, Y.; Liu, X.; Liu, J. Antioxidants inhibit cell senescence and preserve stemness of adipose tissue-derived stem cells by reducing ROS generation during long-term in vitro expansion. Stem Cell Res. Ther. 2019, 10, 306. [Google Scholar] [CrossRef]
- Foti, R.; Storti, G.; Palmesano, M.; Scioli, M.G.; Fiorelli, E.; Terriaca, S.; Cervelli, G.; Kim, B.S.; Orlandi, A.; Cervelli, V. Senescence in adipose-derived stem cells: Biological mechanisms and therapeutic challenges. Int. J. Mol. Sci. 2024, 25, 8390. [Google Scholar] [CrossRef]
- Grun, L.K.; Maurmann, R.M.; Scholl, J.N.; Fogaça, M.E.; Schmitz, C.R.R.; Dias, C.K.; Gasparotto, J.; Padoin, A.V.; Mottin, C.C.; Klamt, F.; et al. Obesity drives adipose-derived stem cells into a senescent and dysfunctional phenotype associated with p38MAPK/NF-kB Axis. Immun. Ageing 2023, 20, 51. [Google Scholar] [CrossRef]
- Cần, N.M.; Trinh, N.T.M. Nghiên Cứu Một Số Hoạt Tính Sinh Học Của Cao Chiết Ethanol Từ Lá Cây Sói Nhật (Chloranthus japonicus Sieb.). HCMCOUJS KỸ THUẬT và CÔNG NGHỆ 2024, 19, 13–24. [Google Scholar] [CrossRef]
- Zhao, J.J.; Guo, Y.Q.; Yang, D.P.; Xue, X.; Liu, Q.; Zhu, L.P.; Yin, S.; Zhao, Z.M. Chlojaponilactone B from Chloranthus japonicus: Suppression of inflammatory responses via inhibition of the NF-κB signaling pathway. J. Nat. Prod. 2016, 79, 2257–2263. [Google Scholar] [CrossRef]









| Sample | DPPH Radical Scavenging Activity (SC50; μg/mL) |
|---|---|
| Crude extract | 808.0 ± 9.2 |
| Hitorin A | >5000 |
| Hitorin B | >5000 |
| Ascorbic acid | 10.1 ± 0.2 |
Disclaimer/Publisher’s Note: The statements, opinions and data contained in all publications are solely those of the individual author(s) and contributor(s) and not of MDPI and/or the editor(s). MDPI and/or the editor(s) disclaim responsibility for any injury to people or property resulting from any ideas, methods, instructions or products referred to in the content. |
© 2026 by the authors. Licensee MDPI, Basel, Switzerland. This article is an open access article distributed under the terms and conditions of the Creative Commons Attribution (CC BY) license.
Share and Cite
Kunihiro, K.; Kim, S.-Y.; Sano, K.; Kojoma, M. Biological Activities of the Extract and Hitorins A and B from Chloranthus quadrifolius in Human Adipose-Derived Mesenchymal Stem Cells. Cosmetics 2026, 13, 9. https://doi.org/10.3390/cosmetics13010009
Kunihiro K, Kim S-Y, Sano K, Kojoma M. Biological Activities of the Extract and Hitorins A and B from Chloranthus quadrifolius in Human Adipose-Derived Mesenchymal Stem Cells. Cosmetics. 2026; 13(1):9. https://doi.org/10.3390/cosmetics13010009
Chicago/Turabian StyleKunihiro, Kento, Sang-Yong Kim, Katsura Sano, and Mareshige Kojoma. 2026. "Biological Activities of the Extract and Hitorins A and B from Chloranthus quadrifolius in Human Adipose-Derived Mesenchymal Stem Cells" Cosmetics 13, no. 1: 9. https://doi.org/10.3390/cosmetics13010009
APA StyleKunihiro, K., Kim, S.-Y., Sano, K., & Kojoma, M. (2026). Biological Activities of the Extract and Hitorins A and B from Chloranthus quadrifolius in Human Adipose-Derived Mesenchymal Stem Cells. Cosmetics, 13(1), 9. https://doi.org/10.3390/cosmetics13010009

