Abstract
Emollients are multifunctional, water-insoluble ingredients used in cosmetic products. This study aims to define the chemical and physical characteristics and test the activities of a new ester-based emollient, Sharofeel DS (DS), in comparison with other commonly used emollients (fatty alcohols, esters, and silicone emollients). The new entity was synthesized from naturally derived reactants and designed to be utilized in different cosmetic applications, such as skin care, hair care, and makeup. Methods: The emollient was characterized on the basis of its physical properties (Ultraviolet/Infrared (UV/IR) analysis, density, dynamic viscosity, refractive index, surface tension, and contact angle), calorimetric properties by thermogravimetric analysis (TGA) and differential scanning calorimetry analysis (DSC), viscoelastic properties as is and in emulsion, and toxicity tests. According to the results obtained, DS demonstrated density (0.881 g/mL) and viscosity (86 cPs) values comparable to fatty alcohol emollients, with a refractive index (1.457) comparable to fatty alcohol and ester-based emollients and a surface tension (22.53 mN/m ± 0.11 mN/m) similar to the ester-based ones. It proved stable below 308 °C and capable of reducing the loss of internal water from hair strands (−7.5% w/w). Lastly, the toxicity tests proved that DS is safe for topical skincare, haircare, and makeup applications.
1. Introduction
Emollients are multifunctional, water-insoluble raw materials used in cosmetology, dermo-cosmetology, and dermatology [1,2], definable as cosmetic ingredients which help to maintain the soft, smooth, and pliable appearance of the skin. Emollients function by their ability to remain on the skin surface or in the stratum corneum, according to the Cosmetic, Toiletry, and Fragrance Association (CTFA) dictionary [3,4]. They are widely used in cosmetic formulations with different applications, such as skin care, hair care, toiletries, and makeup.
Emollients can be divided into four main groups depending on their chemical structure: hydrocarbons, fatty alcohols, esters, and silicone derivatives [5]. Hydrocarbon-based emollients (e.g., mineral oil and alkanes) can come either from animal, vegetable, or mineral sources. Fatty alcohols (e.g., octyldodecanol and cetearyl alcohol) can also be derived from vegetable or synthetic sources. Ester-based emollients (e.g., isononyl isononanoate and diisostearyl malate) can either be synthesized from alcohols and fatty acids or be naturally derived. When synthesized, simple or complex esters can be obtained. For monoesters, fatty acids can either be vegetable-derived, animal-derived, or synthetic. Naturally occurring esters refer to triglycerides (e.g., triglycerides contained in vegetable oils). Finally, there are silicone-derivative emollients, which are synthesized from silicon [6], oxygen, and alkyl groups.
Emollients influence the performance of a formulation in several ways: by modulating the consistency of the formulation, skin feel, its moisturization efficacy, lubricity, the delivery of actives, spreadability, absorption, playtime on the skin surface, and lastly, the marketability of the product. These factors are closely linked to the molecular structure of the emollients [2,7]; thus, the right emollient should be chosen on the basis of properties for its intended use.
Also, the selection of the proper emollient in a formulation can be driven by the skin’s condition, age, user preferences, and the expected skin effects.
As a result of using emollients with different chemical and physical properties, the final preparation could be able to act as a moisturizer by forming an occlusive layer that does not allow the dispersion of the internal water, as well as serving as a vehicle of lipophilic substances that replenish epidermal lipids [8].
Considering the remarkable and increasing market size (USD 2.66 billion, 2023-Precedent Research, Report code 4151, April 2024) and focusing on the sustainability of cosmetic raw materials, the aim of our study was to develop and test the properties of a new ester-based emollient, Dioctyldodecyl Succinate, named Sharofeel DS (Figure 1) (Cosmos and Nature certified, Natural Origin Index of 1), synthesized from naturally derived reactants, and designed to be utilized in different cosmetic applications, such as skin care, hair care, and makeup [9,10].
Figure 1.
Molecular structure of Sharofeel DS.
2. Materials and Methods
2.1. Chemicals
Sharofeel DS 100% (DS, dioctyldodecyl succinate), Caprylic/capric triglycerides 100% (TGCC), Octyldodecanol 100% (OD), Isononyl Isononanoate 100% (INI), Sweet Almond Oil 100% (SAO), Dimethicone 100% (SIL), and Diisostearyl malate 100% (DISM) were used and analyzed as emollients.
Emulpharma HP® (Glyceryl Stearate 25–47%, Cetearyl Alcohol 25–47%, Stearic Acid 10–26%, Sodium Lauroyl Glutamate 5–10%), Glyceryl Stearate Citrate 100%, Behentrimonium Chloride 80%, and Emulpharma 165 (PEG-100 Stearate 40–50%, Glyceryl Stearate 40–50%) were used as emulsifiers.
Sharomix 713® (Sodium Benzoate 20–30%, Potassium Sorbate 10–20%, Aqua 50–65%), 5-Chloro-2-methyl-4-isothiazolin-3-one, and 2-methyl-4-isothiazolin-3-one 1.4–1.6% as a mixture in water (CMIT-MIT) were used as preservative systems.
Ethylenediaminetetraacetic acid disodium salt 100% (EDTA) was used as a chelating agent.
Sodium hydroxide at 10% in water and citric acid at 10% in water were used to adjust the pH of the formulations listed in Table 1.
Table 1.
Formulation details and % of the ingredients: (a) anionic-based emulsions, (b) cationic-based emulsions, and (c) non-ionic-based emulsions.
Carnauba wax 100%, Candelilla wax 100%, and Perfomalene 400 100% (polyethylene) were used for DSC analysis.
All the ingredients reported were directly supplied by Sharon Personal Care S.r.l.
N-Hexane ≥ 95%, used for UV analysis, was supplied by Carlo Erba Reagents.
2.2. Preparation of Emulsions
The ingredient list and percentages of tested emulsions are shown in Table 1.
Glyceryl Stearate Citrate, Behentrimonium Chloride, and Emulpharma 165 were used as emulsifiers to produce a set of three different oil-in-water emulsions with, respectively, negatively charged, cationic-charged, and not-charged surface droplets.
The oil-phase to water-phase ratio for the emulsions was 17.50:82.50.
All the tested emulsions were manufactured according to the following procedure: water and oil phases were put into two separate beakers and heated at 80 °C. The oil phase was poured into the water phase and homogenized with Silverson L5M-A (from (Silverson Machines Ltd., Chesham, UK) under high shear mixing at 3500 RPM for 10 min to obtain a homogeneous emulsion. After that, the emulsion was cooled at 50 °C, and the preservative system was added. Finally, the pH of the emulsions was adjusted to 4.90–5.10 with the citric acid solution at 10% or sodium hydroxide solution at 10% [11].
All the emulsions prepared showed good stability (no observed separations after centrifugation at 3500 rpm for 30 min and storage for 3 months at 4 °C, room temperature, and 45 °C).
2.3. Physical Properties
Considering the use of DS as a new emollient, its physical properties have been characterized. In particular, UV/IR analysis, density, dynamic viscosity, refractive index, surface tension, and contact angle were investigated.
2.3.1. IR and UV Analysis
IR analysis on pure emollients was performed by Spectrum Two™ (by Perkin Elmer, Waltham, MA, USA), while UV analysis was conducted by preparing a 1% w/w solution of each emollient in n-hexane and analyzed with V-650 spectrophotometer (by Jasco, Hachioji, Japan), using quartz cuvettes having a 1 cm path length and using pure n-hexane as reference.
2.3.2. Density
The density of pure emollients was determined at 25 °C, using a 50 cc stainless-steel pycnometer (by Neurtek Instruments, Eibar, Spain) and a Pioneer® PA214C (by Ohaus®, Parsippany, NJ, USA) analytical balance. The value was expressed as g/mL.
2.3.3. Dynamic Viscosity (Dyn. Visc.)
The dynamic viscosity of both pure emollients and emulsions was measured using a Brookfield viscometer DV2T-RV (AMETEK, Berwyn, IL, USA), with the proper RV spindles to obtain a percentage of torque between 40% and 60%.
For the pure emollients, the spindle used was RV-2, and two ramps of speed were performed, the first one from 1 round per minute (RPM) to 10 RPM with a gap of 1 RPM between measurements and the second ramp from 10 RPM to 100 RPM with a gap of 10 RPM between each measurement. The results obtained at 10 RPM for all pure emollients were expressed in milliPascals per second (mPa·s).
For the emulsions, ramp analyses were performed with a spindle of RV-5, and measurements were taken every 10 RPM from 10 RPM to 80 RPM. The results were expressed in Pascals per second (Pa·s).
2.3.4. Refractive Index
The refractive index was evaluated using a Refracto 30GS (by Mettler Toledo, Columbus, OH, USA) equipped with an LED emitting at 589.3 nm. The measurement was performed in triplicate (±SD) at 20 ± 0.5 °C and was carried out by determining the critical angle for total reflection.
2.3.5. Surface Tension
The surface tension of the pure emollients was measured using the Attension® Theta flow (by Biolin Scientific, Gothenburg, Sweden), performing the sessile drop method by capturing the drop images and analyzing their shape as a function of time using the Young–Laplace equation implemented in Attension® Theta Software V 4.3.0 (by Biolin Scientific, Gothenburg, Sweden). Each sample was subjected to two measurements.
2.3.6. Contact Angle
The contact angle of the pure emollients was measured using Attension® Theta flow (by Biolin Scientific, Gothenburg, Sweden) by sessile drop method. A droplet of each emollient (volume 3 μL) was placed on the Polymethylmethacrylate (PMMA) surface in the open air (25 °C). Polymethylmethacrylate (PMMA) plates were selected as the solid substrate as a commonly used material in cosmetics for in vitro SPF determination. The use of PMMA for research is more advantageous than artificial leather: it is cheaper, easier to use in terms of surface preparation and cleaning, repeatable in terms of chemical composition and surface roughness, and it is suitable for repeated use [12,13].
Both images, acquired at time 0 and after equilibrium of the deposited droplet, were recorded by a micro-camera device and elaborated with Attension® Theta software (by Biolin Scientific, Gothenburg, Sweden). For each emollient, two measurements were performed. The equilibrium was determined by the instrument for each emollient, comparing the left and right contact angles of the droplet at different frames until stabilization was achieved.
2.3.7. Molar Polarizability
Molar polarizability (α′), expressed in mL/mol, was calculated by applying the Lorentz–Lorenz equation as follows:
where n corresponds to the refractive index previously measured, M is the molecular weight (expressed in g/mol), and is the mass density (expressed in g/cm3).
2.4. TGA
Thermogravimetric analyses were carried out using Nexa STA200 (by Hitachi, Tokyo, Japan). We poured 15–30 mg of each sample into the alumina pan using an empty pan as a reference and working under continuous airflow. The ramp analysis was conducted by constant heating from room temperature to 400 °C at a rate of 20 °C/min and a subsequent isotherm at 400 °C for 1 min. The isothermal analysis was conducted by an initial ramp of 50 °C/min to 210 °C and following isotherm for 2 min.
2.5. Hair Care
To determine the capability of the emollient to protect hairs from dehydration, an ex-vivo test was carried out by an internal method, performed as described below:
Fifty hair strands (brown color and of Caucasian origin) of 1 g each were collected from the same sample of hair and divided into 5 groups.
The strands in Group 1 were directly treated thermally at 60 °C for 15 min by using a thermobalance to record the initial and final mass of each sample.
The strands in Group 2 were weighed and then hydrated by soaking in distilled water for 30 min; then, they were sponged up with absorbent paper until any halo was observed on the paper. The hydrated strands were then thermally treated as Group 1.
The strands in Group 3, Group 4, and Group 5 were hydrated like Group 2, and then an amount from 0.13 g to 0.15 g of one emollient (DS, OD, or SIL for Group 3, 4, and 5, respectively) was applied to the strands and gently massaged until all the product was homogenously dispersed on the hair surface. After that, each strand was thermally treated like the previous groups.
The thermal treatments were carried out by M5 Thermo (by BEL Engineering®, Monza, Italy) by setting the heating to reach 60 °C and holding the temperature for 15 min.
2.6. Viscoelastic Properties
To study and investigate the behavior of DS in oil-in-water (O/W) emulsions, a set of three emulsions was prepared, following the aforementioned formulation steps in Section 2.2.
Viscoelastic properties of emulsions were analyzed by using a HAAKE™ Mars™ 60 (by Thermo Fisher Scientific, Waltham, MA, USA) equipped with a P35/Ti corresponding to the parallel plate system, with a 0.5 mm gap and operating at 25 °C.
For amplitude sweep analysis, 1.0 Hz was set as the oscillatory frequency, while the range from 0.1 to 100.0 Pa was investigated for shear stress.
For frequency sweep analysis, 5.0 Pa was set as the constant shear stress, while the range from 0.1 to 10.0 Hz was investigated for the oscillatory frequency.
Each test was replicated twice, and for all measures, the storage module (G′) and loss module (G″) were measured. The angle phase was calculated as the arctan of the G″/G′ ratio.
2.7. Toxicity Tests
Three tests (performed by the accredited external laboratory COMPLIFE ITALIA S.r.l., Garbagnate Milanese, Italy) were conducted to evaluate the toxicity of the ingredient: (i) in vitro evaluation of the skin irritation potential on reconstructed epidermis, (ii) in vitro evaluation of ocular irritation potential on reconstructed corneal epithelium, and (iii) 48 h closed in vivo patch test under occlusion.
- The in vitro evaluation of skin irritation on reconstructed epidermal tissues was performed using the alternative method “In Vitro Skin Irritation: Reconstructed Human Epidermis Test Method (OECD TG 439)” with references to the protocol proposed by MatTek Corporation’s In Vitro EpidermTM Skin Irritation Test (EPI-200-SIT). The classification was performed according to the following criteria: mean tissue viability ≤ 50% = irritant and mean tissue viability > 50% = non-irritant. This study was carried out for regulatory purposes according to Regulation (EC) N.1272/2008—classification, labeling, and packaging of substances and mixtures (CLP legislation) and its annexes.
- The in vitro evaluation of ocular irritation potential on reconstructed corneal epithelium was performed using the SkinEthicTM HCE TTT model following the SkinEthicTM HCE TTL protocol. This method provides a categorization for chemicals, such as not requiring classification (No Cat., mean values > 50%), requiring classification for eye irritation (Cat. 2, any combination of values), and requiring classification for serious eye damage (Cat. 1, mean values < 50%), according to the UN GHS ocular hazard categories. This study was carried out for regulatory purposes according to Regulation (EC) N.1272/2008 —classification, labeling, and packaging of substances and mixtures (CLP legislation) and its annexes.
- Regarding the 48 h closed in vivo patch test, the product was applied as is by using the Finn Chamber, an 8 mm diameter aluminum disk containing a blotting paper disk soaked with the sample to be tested. The Finn Chamber was affixed with tape to the surfaces of the back of 25 volunteers. The product had already been tested and defined as ‘non-irritant’ during the in vitro skin irritation test before application to the volunteers. The amount applied was sufficient to saturate the pad without overflowing once applied to the skin. The product was left in contact with the skin surface for 48 h. The cutaneous reactions were analyzed at 15 min, 60 min, and 24 h after Finn Chamber removal. A Finn Chamber containing a blotting paper disk soaked with demineralized water was contextually applied, in the described conditions, to the same volunteers and used as a negative control. For each experimental time, Mean Irritation Index (MII) was calculated by adding erythema mean value and edema mean value (not irritating for mean value < 0.5, slightly irritating 0.5 ≤ MII < 2.0, moderately irritating 2.0 ≤ MII < 5.0, and highly irritating 5.0 ≤ MII ≤ 8.0).
2.8. Skin Care: In Vivo Tests
Two in vivo studies were conducted on healthy adult participants (n = 10) with normal skin.
Test 1 was performed to assess the moisturization property of the pure DS in comparison with other emollients in their pure form: TGCC, OD, and INI. The areas tested were the right and left forearms. Before the test, the forearms were washed with demineralized water. One drop of each emollient was applied to the skin surface and spread in circular movements for 5 s. Data were collected immediately before the application of the treatment and at 1, 15, 30, and 60 min after the application. Even within the same body area, skin hydration levels can vary throughout different phases of the day. For this reason, the reported data were normalized to the measurements taken before the application of the emollient.
Skin hydration was measured as tissue dielectric constant (TDC) with the Multiprobe MoistureMeterD (traded by Delfin Technologies, Kuopio, Finland), equipped with the S probe, that measures skin hydration at a depth of 1.5 mm [8,14]. TDC is directly proportional to the amount of water in the skin tissue. The measurements were taken by only one operator to keep the operator error constant.
To evaluate the cosmetic sensorial performance, Test 2 was performed by comparing DS vs. the previous three emollients from Test 1; each one was vehiculated in a white oil-in-water emulsion. All formulations contained the emulsifier Emulpharma HP® at 7% (w/w), the emollients (DS, TGCC, OD, or INI) at 12% (w/w), and Sharomix 713® at 1% (w/w). The participants’ left forearm was rinsed with demineralized water and dried before the application. One gr of the emulsion was applied to the skin surface and spread by the participants themselves with circular movements for 5 s. To determine the cosmetic sensorial performance of the white emulsion, the participants completed a validated self-assessment questionnaire a few seconds after the application. The questionnaire was designed on the basis of the guidance provided by the American Society for Testing and Materials [15]. Participants rated all statements on a 5-point Likert scale, ranging from 1 (strongly disagree) to 5 (strongly agree). Cutaneous tolerability and adverse events were monitored throughout the study period.
2.9. Subjects and Assessments
The trials (reported in Section 2.8 and Section 2.9) were performed in accordance with ethical principles for medical research (Ethical Principles for Medical Research Involving Human Subjects, adopted by the 18th WMA General Assembly Helsinki, Finland, June 1964, and successive amendments). Written informed consent was obtained from the participants after being informed about the study procedures. The study was carried out in compliance with the following ethical requirements:
- All participants were healthy volunteers at least 18 years old.
- All participants were selected under the supervision of a dermatologist according to specific inclusion and exclusion criteria. The inclusion criterion was an age between 18 and 70 years. Exclusion criteria included being pregnant or breastfeeding, the presence of marks or dermatological conditions, the use of medication in the tested skin region, and undergoing pharmacological treatment.
- Volunteer participation in the study was entirely voluntary and free of any coercion, in accordance with the Helsinki Declaration.
- All the participants were informed of the aim and nature of the study and of the potential risks involved.
- All the participants signed the informed consent form prior to the beginning of the study.
- Before volunteers were exposed to the product to be tested, all relevant safety information about the product itself and each ingredient were collected and evaluated.
- All necessary precautions were taken to avoid adverse skin reactions.
The procedures used in the 48 h closed in vivo patch test were provided by COMPLIFE ITALIA S.r.l.; instead, the methods used in the skin-care trials were provided by Sharon Personal Care S.r.l.
2.10. DSC Analysis
DSC analysis was carried out on pure Carnauba wax, Candelilla wax, and polyethylene and on mixes of each wax with DS or OD. The mixtures were prepared by weighing 80 g of each emollient with 20 g of each wax, mixing them by magnetic stirring, and heating up to 80–90 °C until complete fusion of the waxes and homogeneity of the mass. Then, the mixes were poured into glass vials and cooled down in a freezer at −20 °C.
The analysis of the samples was carried out by NEXTA DSC600 from Hitachi, using an aluminum pan, in airflow, and following the programmed cycles of heating and cooling as reported in Table 2.
Table 2.
Summary of the heating and cooling cycles performed during DSC analysis.
3. Results
3.1. Characterization of DS
The physical properties of Sharofeel DS were characterized by spectroscopic analyses to confirm the ester’s structure, and subsequently, using various techniques (i.e., RI, contact angle, viscosity, etc.) to determine its properties for comparison with those of other emollients.
3.1.1. IR Spectroscopic Analysis
Figure 2a depicts the IR spectra of the ester Sharofeel DS (for IR spectra of the other emollients, see Figure S1 in Supplementary Materials). The acquired IR spectra showed bands at 2922, 2853, and 1466 cm−1 related to the C-H stretching and bending of the octyldodecyl branched chains. The bands at 1738 and 1158 cm−1 are related specifically to the C=O bending and C-O stretching of the esterified carboxylic groups of succinate.
Figure 2.
Spectroscopic analyses of DS: (a) IR spectra and (b) UV/VIS spectra. Transmittance (T) and Absorbance (Abs).
Notably, the absence of bands at 3600 and 3300 cm−1 related, respectively, to the free hydroxyl group of the octyldodecanol, and succinic acid confirmed the ester bond formation. No bands related to alkene groups were detected, indicating that dehydration of the alcohol into its corresponding alkene did not occur.
3.1.2. UV Spectrophotometry Analysis
Figure 2b depicts the UV/VIS spectra of DS (for UV spectra of other emollients, see Figure S2 in the Supplementary Materials) at 1% (w/w) in n-hexane. Below a wavelength of 250 nm, the ester’s UV absorbance increases, indicating an n→π* transition associated with the carboxylic group.
The spectrum does not show any specific absorption in the visible range, confirming the colorless property of the product.
3.1.3. Physical Properties
The physical properties of Sharofeel DS and other emollients are summarized in Table 3.
Table 3.
Summary of the physical properties of the DS and benchmarks.
As reported, DS showed a density value of 0.881 g/mL, higher with respect to OD and SAO and lower with respect to SIL, INI, and TGCC. DS showed a similar density value to DISM (0.907 g/mL).
As reported, significant differences in dynamic viscosity can be observed among the tested emollients. DS showed a viscosity value at 10 rpm (86 cPs), comparable to the OD (81 cPS), and both have a higher value with respect to SAO (68 cPs) and TGCC (32 cPs) and a lower one with respect to SIL (128 cPs). INI showed the lowest value (14 cPs), while DISM showed the highest one (2800 cPs), 20 times higher than DS (for all emollient behaviors, see the data in Figure S3 in Supplementary Materials).
These values can be attributed to both the molecular structure and the cohesive interaction forces, as well as to the presence of branched residues. Such factors are particularly important for viscosity. For example, when comparing OD and INI, which have similar molecular weights and a comparable number of carbon atoms, OD exhibited a viscosity more than five times higher than that of INI. This difference can be explained by the entanglements formed by the long branches in OD. Furthermore, the fact that DS and OD share the same viscosity suggests that the cohesive forces resulting from the branches play a more significant role than the presence of polar groups such as esters or hydroxylic acids.
The refractive indices (RI) of the emollients are reported in Table 3. This parameter plays a fundamental role in the cosmetic field because it is used to determine the optical properties of the final formulation, like glossiness, brightness, opacity, etc. [6].
SIL had the lowest value (1.402), while DS, INI, OD, and DISM had similar values (1.457, 1.437, 1.453, and 1.458, respectively). SAO showed the highest value (1.469). It is well-known that higher refractive indices enhance the shine or gloss effect of an emollient on the skin.
Polarizability is closely related to the molecular structure of the material, as it represents the system’s ability to interact with an applied electric field, leading to the formation of a dipole. According to the Lorentz–Lorenz equation (1), the refractive index (RI) is linked to the molecular structure through the molar volume (defined as the ratio of molecular weight—MW to density—ρ). All relevant data are presented in Table 1. Our results show that SIL has the highest molar polarizability; however, due to its having the highest molar volume, it also has the lowest RI.
Focusing on the behavior of the esters (DS, SAO, INI, TGCC, and DISM), a linear correlation between RI and Vm can be observed. This suggests that an increase in carbon chain length leads to higher molar polarizability of the molecules, which can reasonably be attributed to the enhanced ability of the electric field to induce a dipole within the structure.
The surface tension can predict the spreading behavior of a molecule. Usually, emollients with low surface tension spread easily, while emollients with high surface tension are more difficult to spread. As shown in Table 3, the diesters DS and DISM exhibited similar surface-tension values (22.53 mN/m and 22.05 mN/m, respectively). The smaller molecules, OD and INI, were slightly less spreadable, with surface-tension values of 25.57 mN/m and 24.49 mN/m, respectively. SIL, the most spreadable compound, displayed the lowest surface tension at 19.44 mN/m. Finally, the two triglycerides, TGCC and SAO, showed higher values than the other emollients (26.68 mN/m and 29.38 mN/m).
Another cosmetic parameter of relevance related to spreadability is the contact angle, i.e., the wettability of the product in contact with the skin. In general, molecules with a higher contact angle are less likely to wet the surface. The contact angle is influenced by the morphology of the surface, such as roughness, porosity, and surface energy. In this study, we mimicked the skin polarity using the PMMA [16]. As shown, the triglycerides, SAO and TGCC, had different behaviors: at t = 0, TGCC had a higher value (53.58°) compared to SAO (32.82°), while at equilibrium time, both presented quite similar values (15.38° and 8.97°, respectively). Within the diesters, DISM showed the highest value both at t = 0 and at the equilibrium, highlighting the high hydrophobicity of the emollient even in the presence of a free hydroxyl group. DS, on the other hand, showed a similar contact angle to INI at t = 0 but presented a higher value at the equilibrium (37.43° vs. 18.12°). This divergent behavior could derive from the different lengths of the alkyl chains. SIL showed a contact angle at t = 0 lower than DS (26.33° vs. 37.43°) but similar at the equilibrium (14.5° vs. 18.12°). This behavior is related to the methyl groups present in the siloxane chains that increase the interaction with PMMA.
OD showed a lower contact angle value at t = 0 (17.52°) due to the free hydroxyl group, but at the equilibrium, it reached a value (14.14°) close to DS and SIL. In this case, as observed with DS, the length and the branch of alkyl chains lead to a decrease in the interactions with the surface.
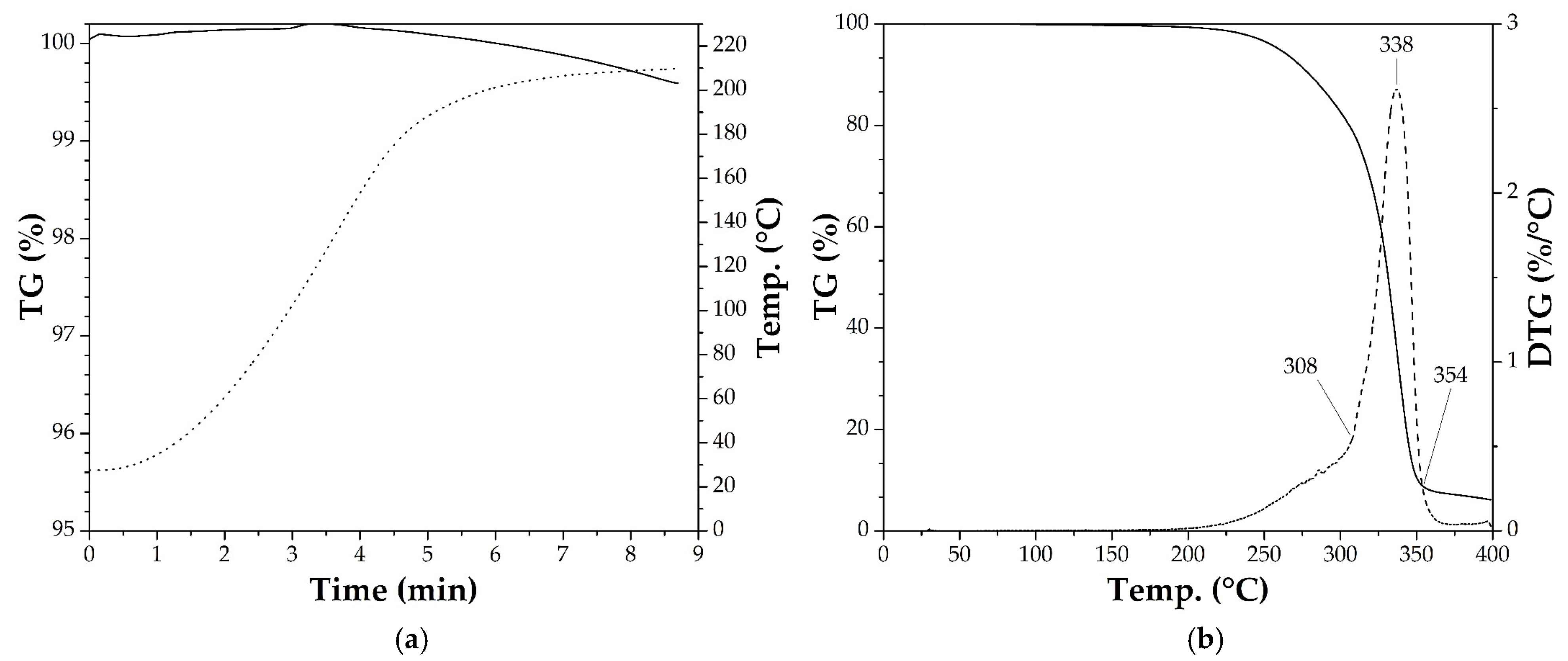
3.2. Thermogravimetric Analysis (TGA)
Figure 3a depicts the TGA (solid line) and its mathematical derivative (dashed line) for Sharofeel DS. The analysis was carried out with a temperature ramp and in the presence of air. At 308 °C, an increase in loss of weight was observed, suggesting the beginning of degradative processes, reaching the maximum speed at 338 °C and stopping at 354 °C.
Figure 3.
(a) TGA of DS: (solid line) and its mathematical derivative (dashed line) in temperature ramp and (b) in isothermal condition at 210 °C. The dotted line is the temperature ramp.
To better understand the degradative processes, similar TGAs have been carried out on all the tested emollients (see Figure S4 in Supplementary Materials). A similar behavior was observed between DS and OD in the region before 310 °C, where degradation began at 178 °C and was completed at 305 °C, reaching the maximum rate. It is possible that the degradative process of OD is related to the initial dehydration reaction of the hydroxyl group and the further oxidation of the double bond.
The TGA of DISM showed two distinctive degradative processes: the first one in the region of 201–288 °C and the second in the region of 288–350 °C. These two different events can be related to the degradation process of the unreacted alcohol (first region) and the degradation of the diester molecules [17,18].
The degradation temperature is strictly related to the length of the chains [19]. TGCC and SAO showed quite different behavior; in particular, SAO showed a very high thermal stability because the degradative processes start at 366 °C, while for TGCC, it started at 256 °C and almost concluded at 327 °C.
INI showed lower thermal stability: in fact, at 238 °C, the degradation processes can be considered concluded.
On the other hand, SIL showed comparable thermal stability to SAO: in fact, the processes that led to the loss of methyl groups started at 341 °C and continued at temperatures higher than 400 °C.
These results underline that DS had high stability at temperatures below 308 °C: this suggests that it can have protective properties on the hair against heat treatments (drying or ironing processes whose working temperature is about 185 °C).
The second TGA showed that thermal treatment did not affect the stability of the product because of the negligible loss of weight. For this reason, we decided to investigate the interaction between DS and hair to test whether this emollient exhibits a moisturizing effect on hair.
3.3. Hair Care
The study on hair strands was carried out with the aim of investigating the capability of DS, OD, and SIL to protect the hydration of hair and avoid the loss of water after a thermal treatment, mimicking the hair washing and drying process.
In Table 4, the average weights of all hair strands for all steps are reported.
Table 4.
Average weights of all hair strands during the thermal treatment in the absence of and in the presence of the emollients (mean ± standard deviation).
After the first preliminary analysis, a 10% reduction in weight was registered in Group 1.
The test was performed using wetted hair strands that showed a high level of initial hydration with an absorption of 30% of their weight. After the heat treatment, the hair strands showed a loss of weight higher than the water absorbed, and it confirmed that the thermal treatment was capable of removing both the outer and the inner water in the hairs. In particular, the reduction of the inner water was 7.5% (w/w), as reported in Figure 4.
Figure 4.
Comparison of inner water loss (%) in the presence or absence of the emollients. * For all groups, comparison p value < 0.05.
The following analysis was performed by adding the emollients (DS, OD, or SIL) to the hair strands, and a reduction in the loss of inner water was obtained; in particular, DS and SIL showed a higher capacity to avoid the loss of inner water of 3 and 4%, respectively, while OD showed a limited ability to save the inner water (1%).
This might be due to the different interactions between the emollients and the hair surface, which is composed of hydrophobic cuticles.
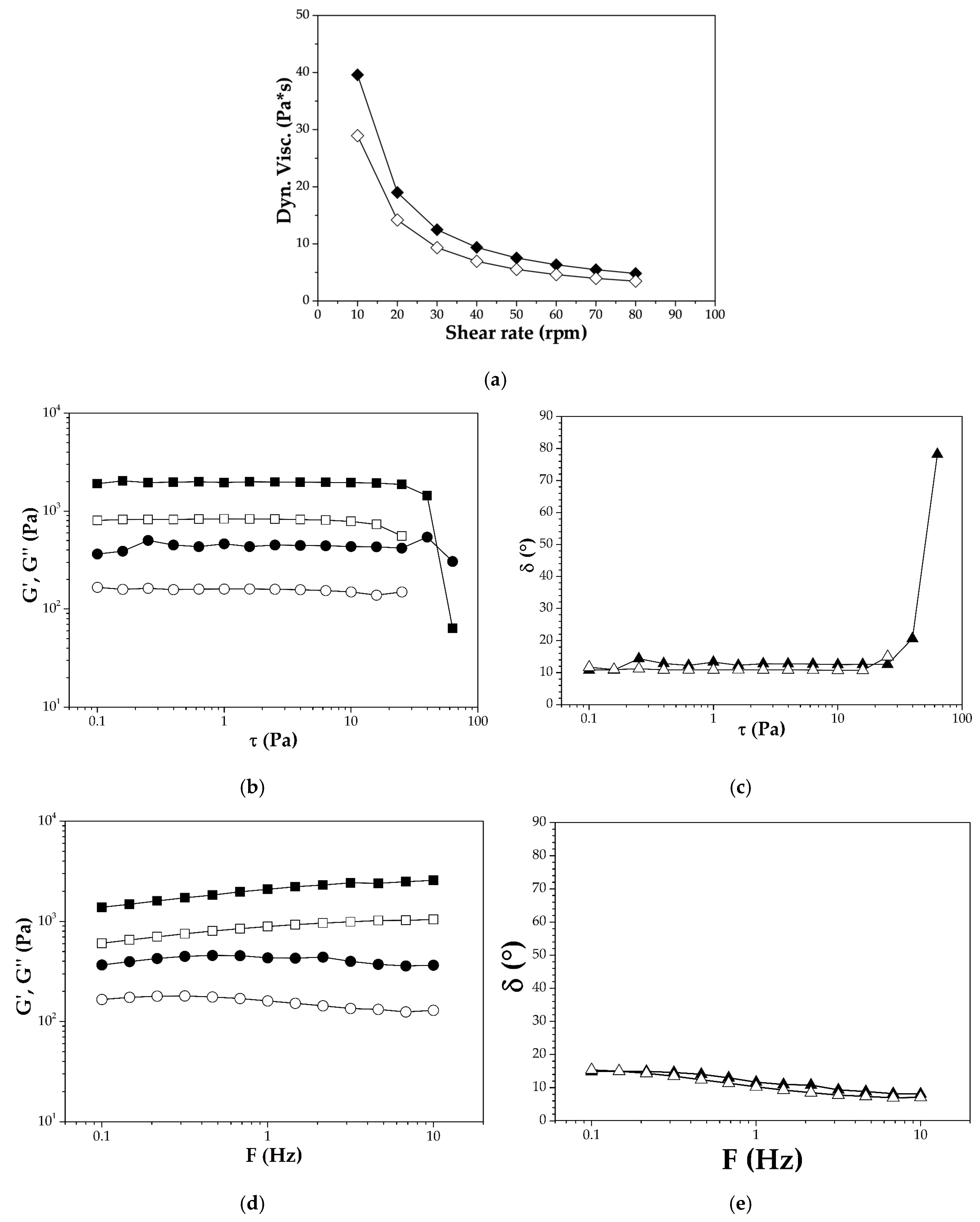
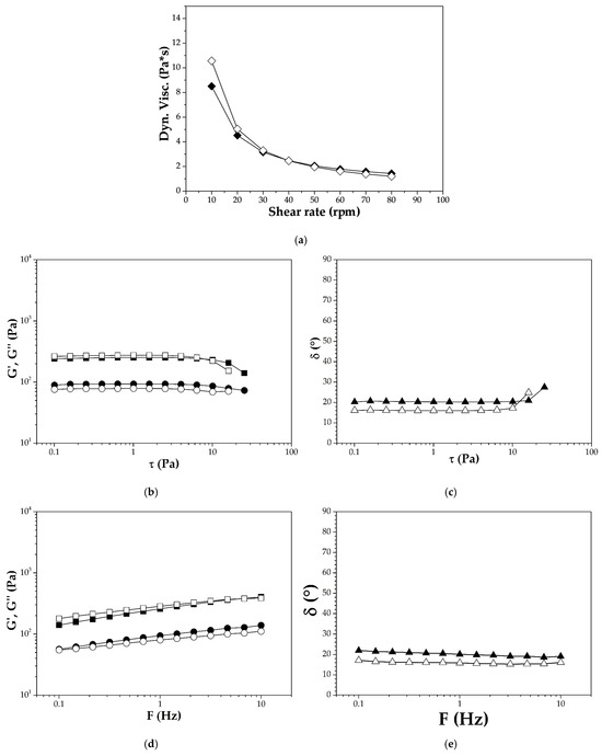
3.4. Viscoelastic Properties
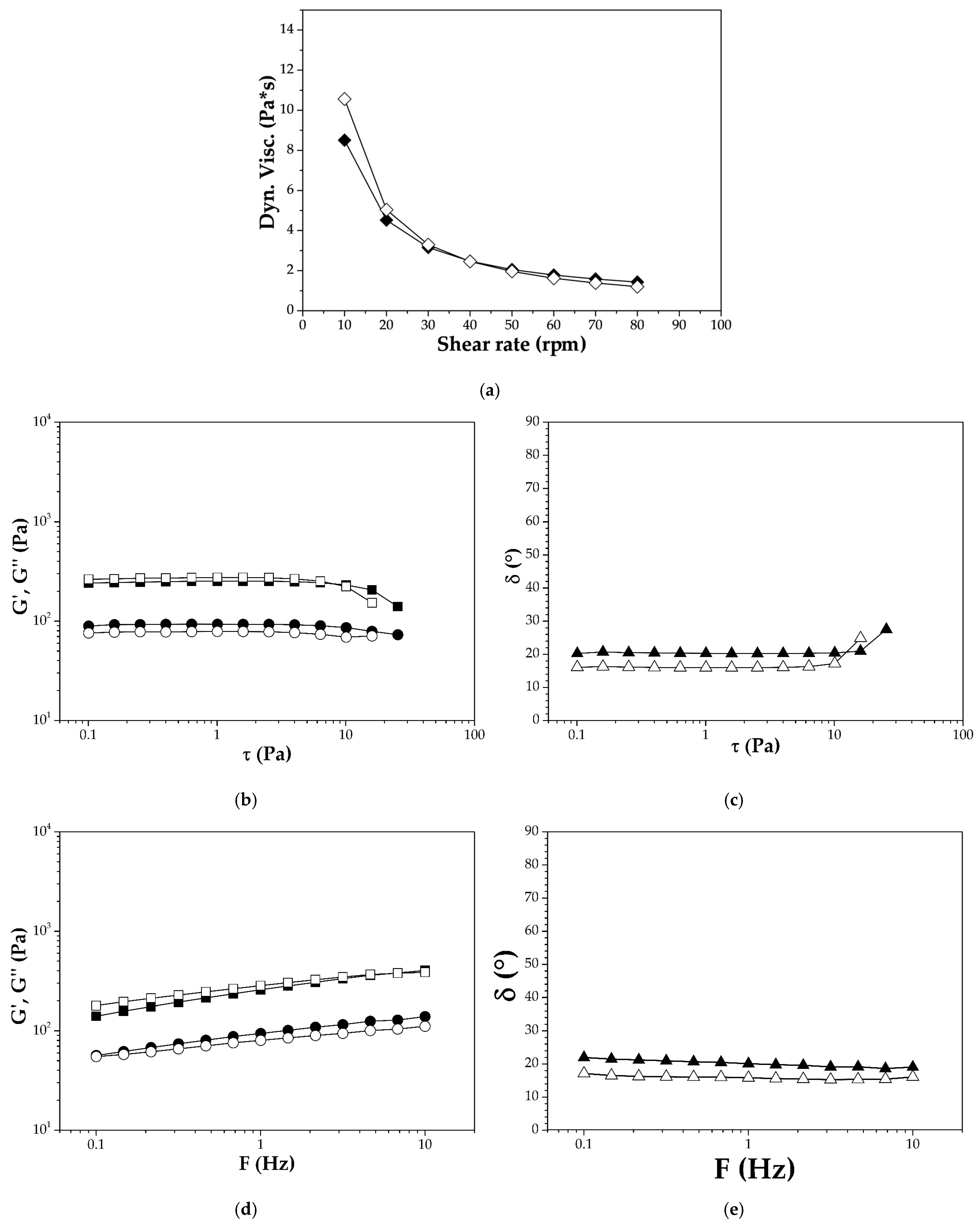
Figure 5 shows the values of viscosity obtained at different shear rates for emulsions containing an anionic emulsifier and DS or OD. The decrease in viscosity values at higher shear rates can be related to a pseudo-plastic behavior with shear-thinning properties for both emulsions.
Figure 5.
Viscoelastic properties of an anionic emulsion with DS (full symbols) and OD (open symbols). (a) Dynamic viscosity, (b) amplitude sweep, (c) phase angle of amplitude sweep, (d) frequency sweep, and (e) phase angle of frequency sweep. The squares represent G′, and the circles represent G″.
The anionic emulsion containing DS showed a higher viscosity at all shear rates when compared to the emulsion containing OD, suggesting a more structured system. In the amplitude sweep (AS) analysis, both emulsions showed a value for the elastic module (G′) that was higher than the value of the viscous module (G″). The emulsion formulated with DS showed an extended Linear ViscoElastic (LVE) region in comparison to the emulsion with OD. These results confirm the others obtained by the dynamic viscosity analysis. Based on the angle phase values shown in Table 5, a similar value in the LVE region of the phase angle was reported (12.6° vs. 10.9°), suggesting that both systems responded in a similar way to oscillations.
Table 5.
Summary of the main results obtained from the viscoelastic properties.
In the results obtained from the Frequency Sweep (FS) analysis, DS showed higher elastic and viscous modules in comparison to OD. Both emollients showed a similar behavior in function of the oscillatory frequency. In particular, their elastic module became even higher while the viscous module continued to decrease.
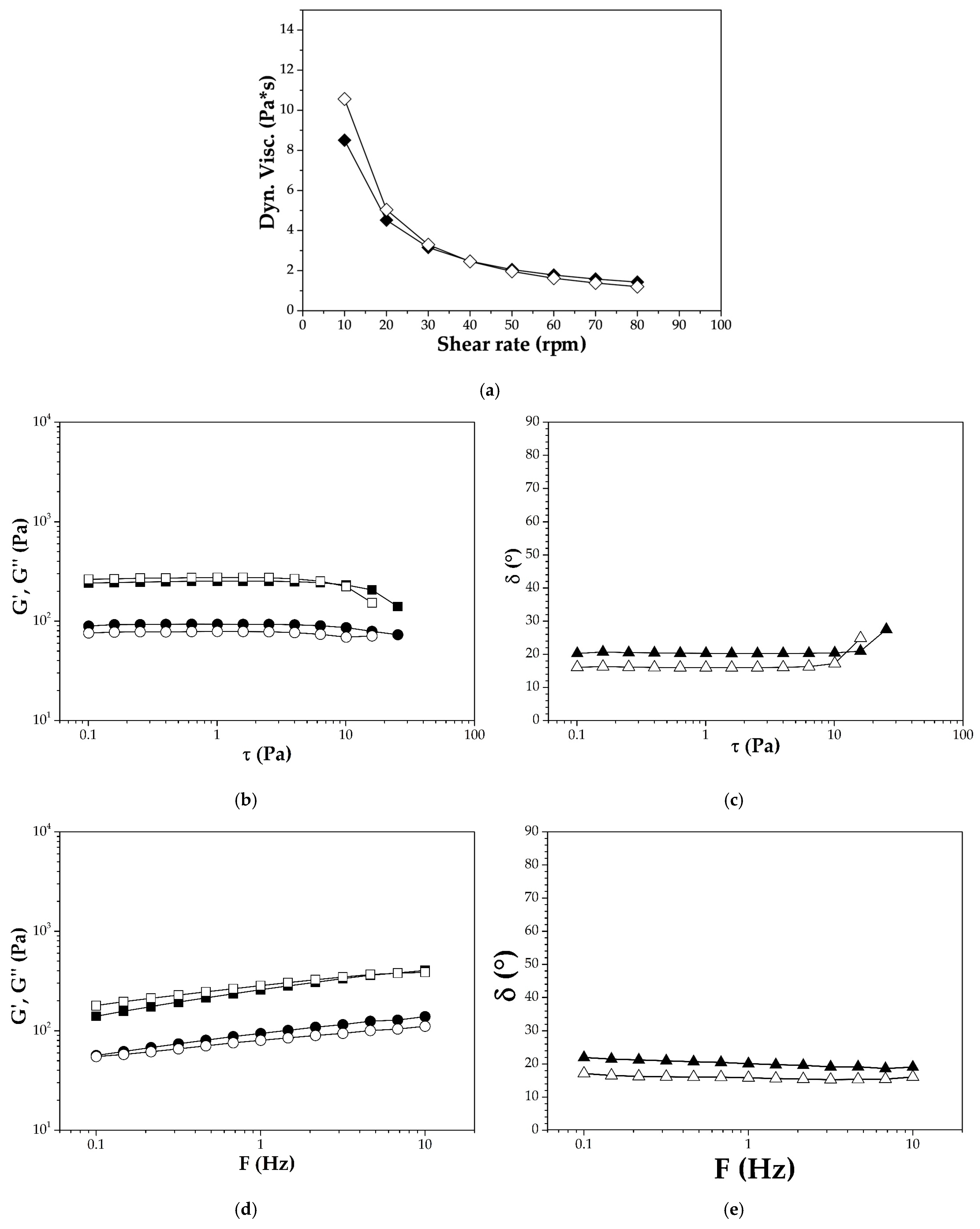
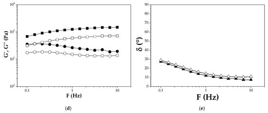
Figure 6 shows the results for the cationic emulsions. Emulsions containing DS and OD had similar viscosity values, suggesting comparable structures.
Figure 6.
Viscoelastic properties of the cationic emulsion with DS (full symbols) and OD (open symbols). (a) Dynamic viscosity, (b) amplitude sweep, (c) phase angle of amplitude sweep, (d) frequency sweep, and (e) phase angle of frequency sweep. The squares represent G′, and the circles represent G″.
In the AS analysis, it was possible to note that, as observed for the anionic emulsions, DS increased the LVE region and the viscous modules. These results led DS to gain a higher phase angle compared to OD (20.1° vs. 16.2°), implying a higher contribution of the viscous module in the emulsion with DS than the one with OD.
In the FS analysis, the results showed that the emulsions increased their elastic and viscous modules. This behavior can be associated with the behentrimonium chloride and is not influenced by the nature of the emollient.
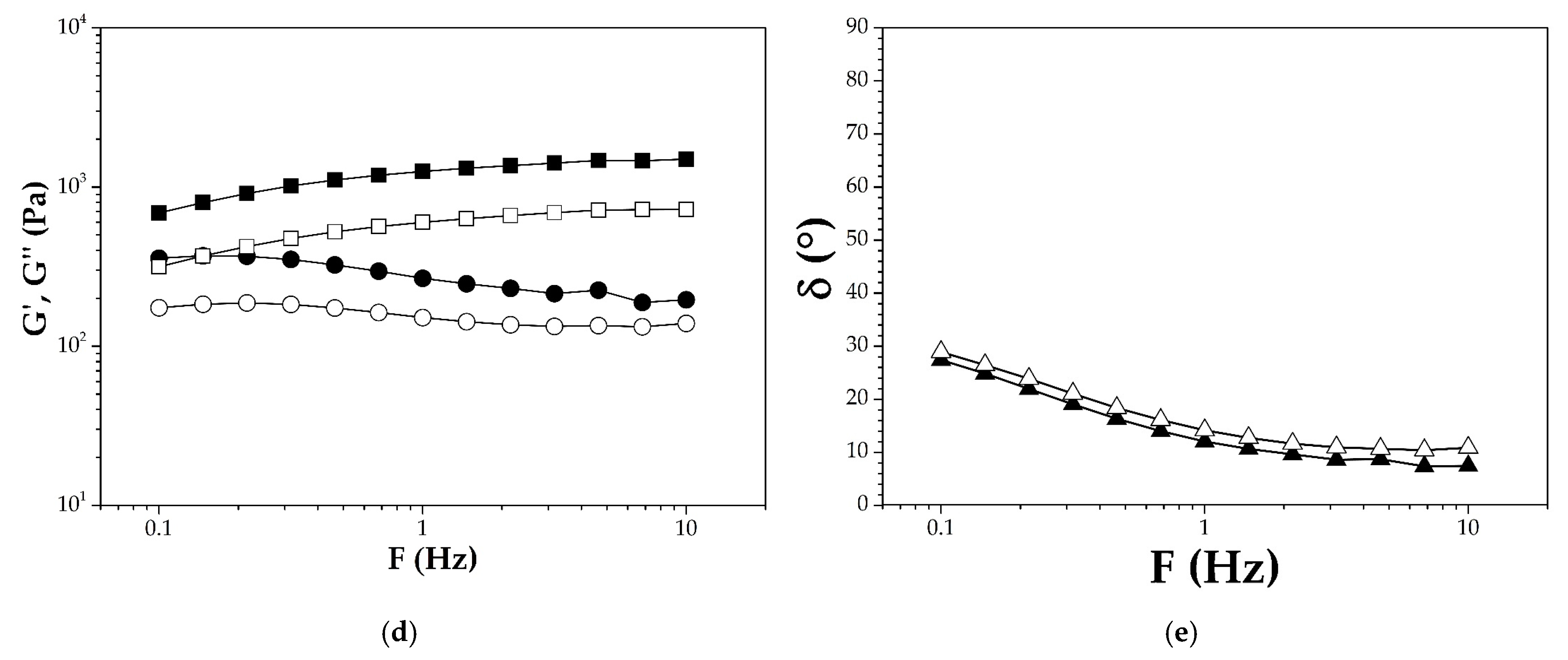
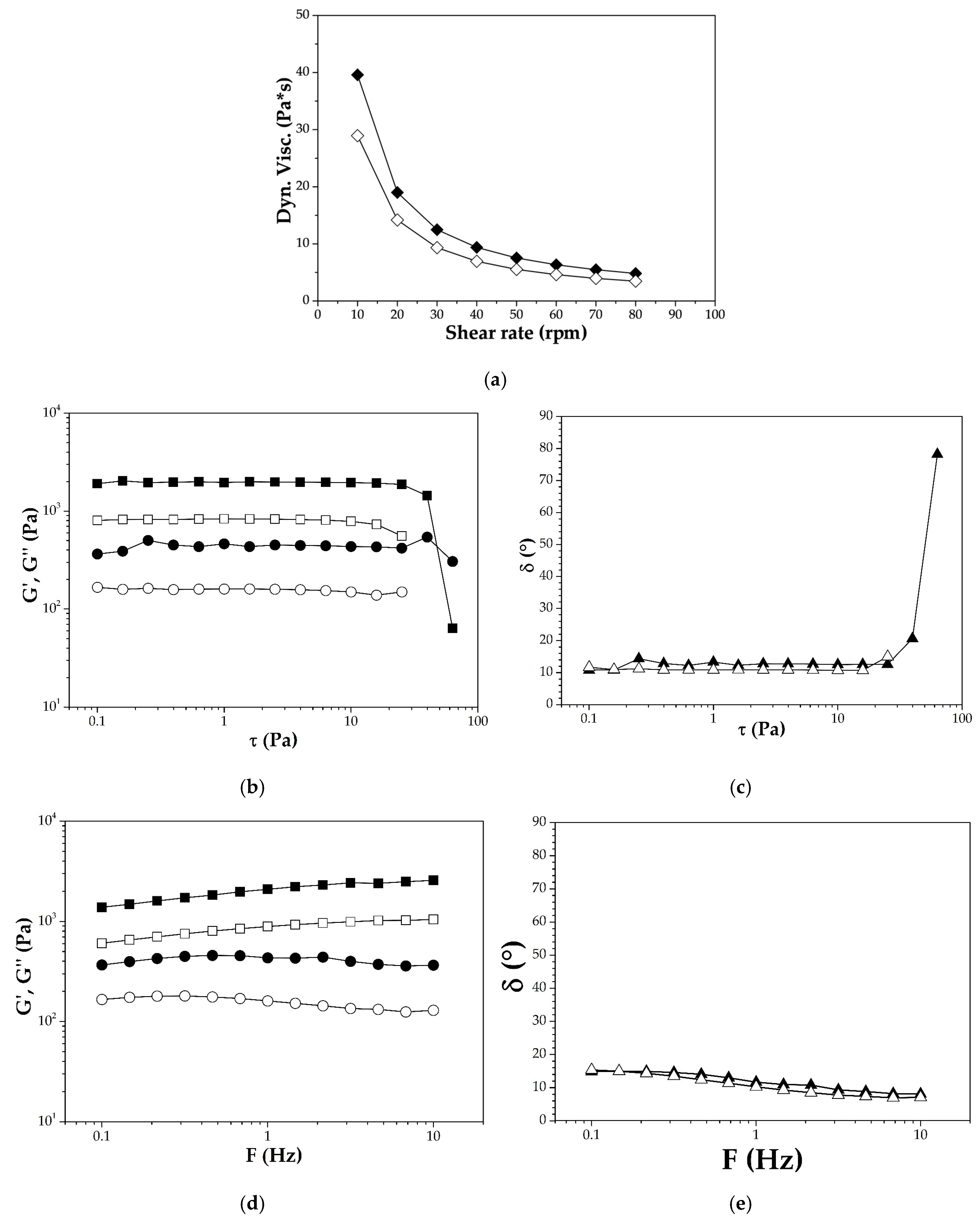
In Figure 7, we report the results obtained from non-ionic emulsions. The emulsion with DS showed a higher dynamic viscosity at a low shear rate compared to OD, but at high shear rates, DS- and OD-based emulsions had similar values.

Figure 7.
Viscoelastic properties of nonionic emulsion with DS (full symbols) and OD (open symbols). (a) Dynamic viscosity, (b) amplitude sweep, (c) phase angle of amplitude sweep, (d) frequency sweep, and (e) phase angle of frequency sweep. The squares represent G′, and the circles represent G″.
In the AS analysis, both the G′ and G″ modules of the DS-based emulsion are higher than the modules of the OD-based emulsion, and also, an extended LVE region was recorded. The increase in the DS modules did not affect its phase angle, whose values are similar for both emulsions, indicating that the presence of emollients of different natures did not affect the rheological behavior deriving from the emulsifier.
In conclusion, the FS analysis revealed that both modules of the emulsion with DS were higher than the ones of the emulsion with OD. The frequency increase led to a net increase of G′ and a net decrease of G″, suggesting an increase in the elastic contribution to the rheology behavior of the emulsions.
Based on the previous results, DS demonstrated an improvement in the elastic modulus and the extension of the LVE region in emulsions with anionic and non-ionic emulsifiers. However, for the cationic emulsifier, the contribution of the emollient to these parameters was significantly reduced.
3.5. Toxicity Test
- The in vitro evaluation of skin irritation potential on reconstructed epidermis tissues assessed DS as non-irritant (Mean Value ± SD 98.8% ± 2.1%).
- The in vitro evaluation of ocular irritation potential on reconstructed corneal epithelium assessed DS as no category (Mean Value ± SD 96.38% ± 9.68%), resulting in not requiring classification (the product is not an ocular irritant).
- On the basis of data obtained from the 48 h closed in vivo patch test, the product was assessed as non-irritant and safe for dermatological use (mean irritation index < 0.5).
3.6. Skin Care: In Vivo Tests
3.6.1. Test 1
The results of the moisturizing evaluation of the emollients are shown in Figure 8.
Figure 8.
Relative TCD (normalized) variation vs. time after application of emollients. Square: DS; circle: OD; up triangle: INI; down triangle: TGCC.
As shown, all emollients tested reduced the TCD right after the application. This effect can be explained by the absorption of the oils, which, upon becoming part of the composition of the skin, reduce the relative amount of water content. TGCC and OD produced a peak in the TCD 15 min after application, which decreased after 60 min (presumably, the loss of film activity is determined by the spreading rate of the emollient). INI achieved its maximum after 30 min and obtained the smallest values in comparison, probably for its low viscosity and high spreading rate. DS was able to maintain the TCD of the skin for 60 min, demonstrating long-lasting moisturizing activity with respect to the other tested substances. Therefore, DS was able to physically block trans-epidermal water loss (TEWL) in the epithelium, creating a hydrophobic barrier over the skin that was maintained for a longer time than the other testers, resulting in an increase in TCD in the skin.
3.6.2. Test 2
The results of the cosmetic sensorial performance test of the white emulsions are reported in Table 6 and graphically summarized in Figure 9. Interestingly, the cream containing DS showed a skin texture comparable to the classes of triglycerides, esters, and long-chain fatty alcohols. In detail, DS showed a velvetiness comparable to the long-chain fatty alcohols as well as resultant spreadability comparable to the ester classes, and its skin absorption was superimposable to that of triglycerides and ester structures. It is interesting to note that DS showed the lowest greasiness value (despite the high permanence above reported on the skin to maintain hydration), while INI showed the highest one. In summary, the results showed that 33.33% of the volunteers considered DS velvety and 16.67% considered the product greasy, while 66.67% gave the product a cushion effect of softness. Finally, 91.67% and 41.67% of the volunteers considered DS as very absorbable and spreadable, respectively.
Table 6.
Subjective cosmetic sensorial evaluation of different classes of emollients formulated in a white emulsion (means values) (n = 10 volunteers).
Figure 9.
Graphical summary (radar graph) of texture parameters. Square: DS; circle: OD; up triangle: INI; down triangle: TGCC.
3.7. DSC Analysis
The six mixtures and three solid waxes were analyzed by DSC. The onset and maximum temperatures recorded for all the transition phases are reported in Table 7 (with the maximum temperature of the main peak in bold).
Table 7.
The onset and maximum temperatures recorded for all the transition phases.
All the thermograms are reported in the Supplementary Materials (see Figures S5–S7 in Supplementary Materials).
Analyzing the behavior of the mixtures, the presence of DS or OD led to a decrease in the melting point in comparison with the pure waxes.
For each wax used, a different behavior for DS and OD was observed: the Carnauba/OD mix showed a reduction of 13 °C for both the first and the second peak with respect to Carnauba (48.78 °C vs. 62.5 °C and 44.25 °C vs. 57.8 °C). The Carnauba/DS mix showed a reduction of 8–9 °C for both peaks with respect to the reference wax (55.59 °C vs. 62.5 °C and 49.53 °C vs. 57.8 °C).
The pure Carnauba and Candelilla waxes showed two close transition phases related to the presence of two different crystalline structures and derived from the high complexity of their composition. Carnauba showed the highest melting point, followed by polyethylene and Candelilla. It is necessary to point out that the cooling was carried out at a speed four times higher than the heating to mimic the industrial cooling phase during the formation of the lipsticks. Obviously, this high speed could affect the formation and organization of the crystalline structures.
From the obtained results, it is possible to argue that OD intercalates and interacts better with the molecules of Carnauba due to the conformation of the molecular composition of this naturally derived wax. The main components of the Carnauba wax are linear esters, free fatty alcohols, and hydroxy acids, which show higher similarity with the OD than the DS [20,21].
The difference between DS and OD is reduced when mixed with Candelilla: both decreased the melting point by a range of 17–18 °C. This suggests a stronger interaction between the emollients (DS and OD) and the molecules that compose Candelilla wax, especially alkane chains and esters, which results in the creation of a homogeneous crystalline phase.
About the polyethylene-based mixes, both emollients show the same behavior, leading to a reduction of the melting point by 7–10 degrees. In this case, the lowest interaction between the emollients and the wax is recorded and is related to the presence of only apolar alkyl chains.
4. Conclusions
Firstly, DS was physically characterized by spectroscopic analysis to confirm its ester structure. For example, IR analysis showed the ester bond formation between the octyldodecanol and succinic acid. The properties of the material were compared to other emollients from different chemical classes. Our results for DS show a density value of 0.881 g/mL and a viscosity value of 86 cPs, similar to the tested fatty alcohol (OD); an RI of 1.457 (that plays a role in the optical properties of the final cosmetic formulation, like glossy, brightness, opacity, etc.) comparable to INI, OD, and DISM; and a surface tension of 22.53 mN/m ± 0.11 mN/m comparable to DISM, which indicates easy spreadability properties in comparison with other emollients tested.
Moreover, our results on calorimetric properties suggest that DS might be used in hair care applications. In fact, DS demonstrated the capability to protect the hydration of hair and avoid the loss of water after a thermal treatment in comparison to OD and SIL (tested on hair strands). Also, the TGA results underline that DS has high stability at temperatures up to 308 °C.
Based on our viscoelastic analysis, DS showed a better affinity with the anionic and the non-ionic emulsifiers, leading to an improved viscosity and rheological behavior when compared to OD, while with the cationic emulsifier, the difference between the emollients is reduced.
Importantly, according to the in vitro and in vivo toxicity tests, DS has been proven to be a safe cosmetic ingredient.
DS was able to maintain the hydration of the skin for 60 min, as shown in Test 1, demonstrating that it is the only emollient able to guarantee a long-lasting occlusive activity with respect to the other tested substances. Further, as demonstrated in Test 2, DS confers emulsion sensory properties comparable to the ones given by triglycerides, esters, and long-chain fatty alcohols.
DS was also capable of being incorporated into both natural and synthetic waxes, reducing their melting point, maintaining a homogeneous crystalline phase, and avoiding separation processes, particularly during the cooling steps.
Supplementary Materials
The following supporting information can be downloaded at: https://www.mdpi.com/article/10.3390/cosmetics12020058/s1, Figure S1: Ir spectra of pure emollients; Figure S2: UV spectra of 1% n-hexane of emollients; Figure S3: Dynamic viscosity measured pure emollients in ramp of shear rate; Figure S4: TGA of pure emollients in ramp of temperature; Figure S5: DSC analysis on carnauba-based waxes; Figure S6: DSC analysis on candelilla-based waxes; Figure S7: DSC analysis on polyethylene-based waxes.
Author Contributions
Conceptualization: F.P. and R.M.D.; methodology, F.P., M.D.L., G.V. and F.G.; validation, F.P., M.D.L., G.V., R.M.D. and F.G.; formal analysis, F.P., M.D.L. and G.V.; investigation, G.V., M.D.L., G.B. and F.G.; resources, F.P. and M.D.L.; data curation, F.P.; writing—original draft preparation, F.P. and M.D.L.; writing—review and editing, M.D.L. and F.G.; visualization, F.P.; supervision, F.G. and R.M.D.; project administration, R.M.D. All authors have read and agreed to the published version of the manuscript.
Funding
This research received no external funding.
Institutional Review Board Statement
The tests conducted were not sent for approval to a Ethics committee because they are routinely performed for the market approval of a cosmetic ingredient as In-Use test and Patch test under the Reg. 1223/2009. The study was conducted in accordance with ethical principles for medical research (Ethical Principles for Medical Research Involving Human Subjects, adopted by the 18th WMA General Assembly Helsinki, Finland, June 1964, and successive amendments).
Informed Consent Statement
Written informed consent was obtained from all the subjects involved in the study.
Data Availability Statement
The original contributions presented in this study are included in the Supplementary Materials; further inquiries can be directed to the corresponding author.
Acknowledgments
We acknowledge the support of Eylon Naama for keeping the team focused on this project and of our colleagues Anna Aharoni and Pascal Yvon for the important revisioning done.
Conflicts of Interest
The authors declare the following conflicts of interest: Donadelli Roberta, Puzzo Francesco, Di Liberto Melania, and Valente Gabriele are employed by Sharon Personal Care, the supplier of the ingredient Sharofeel DS used in the study. The authors declare a conflict of interest for Gelmini Fabrizio as a consultant for Sharon Personal Care during the study. For Beretta Giangiacomo, the authors declare no conflicts of interest.
References
- Gore, E.; Picard, C.; Savary, G. Spreading Behavior of Cosmetic Emulsions: Impact of the Oil Phase. Biotribology 2018, 16, 17–24. [Google Scholar] [CrossRef]
- Alander, J.T. Chemical and Physical Properties of Emollients. In Treatment of Dry Skin Syndrome; Springer: Berlin/Heidelberg, Germany, 2012; Volume 9783642276057, pp. 399–417. ISBN 9783642276064. [Google Scholar]
- Wenninger, J.A.M.G.N. International Cosmetic Ingredient Dictionary; Cosmetic, Toiletry and Fragrance Association: Washington, DC, USA, 1993. [Google Scholar]
- Terescenco, D.; Savary, G.; Picard, C.; Clemenceau, F.; Merat, E.; Grisel, M. Influence of the Emollient on Emulsions Containing Lamellar Liquid Crystals: From Molecular Organization towards Applicative Properties. Int. J. Cosmet. Sci. 2018, 40, 565–574. [Google Scholar] [CrossRef] [PubMed]
- Araviiskaia, E.; Pincelli, C.; Sparavigna, A.; Luger, T. The Role of a Novel Generation of Emollients, “Emollients Plus”, in Atopic Dermatitis. Clin. Cosmet. Investig. Dermatol. 2022, 15, 2705–2719. [Google Scholar] [CrossRef] [PubMed]
- Chao, C.; Génot, C.; Rodriguez, C.; Magniez, H.; Lacourt, S.; Fievez, A.; Len, C.; Pezron, I.; Luart, D.; van Hecke, E. Emollients for Cosmetic Formulations: Towards Relationships between Physico-Chemical Properties and Sensory Perceptions. Colloids Surfaces A Physicochem. Eng. Asp. 2018, 536, 156–164. [Google Scholar] [CrossRef]
- Fabbron-Appas, C.T.; Pandey, P.; Parekh, H.S.; Sales, C.C.; Duque, M.D.; Andréo-Filho, N.; Lopes, P.S.; de Noronha, R.L.F.; Leite-Silva, V.R. Impact of Different Emollient Esters on Body Emulsions: Sensory, Physicochemical, and Biometrological Characterization. J. Sens. Stud. 2021, 36, e12660. [Google Scholar] [CrossRef]
- Mayrovitz, H.N.; Shams, E.; Astudillo, A.; Jain, A. Tissue Dielectric Constant and Skin Stiffness Relationships in Lower Extremity Lymphedema. Lymphat. Res. Biol. 2023, 21, 439–446. [Google Scholar] [CrossRef] [PubMed]
- De Clermont-Gallerande, H. Functional Roles of Lipids in Make-up Products. OCL Oilseeds Fats Crop. Lipids 2020, 27, 33. [Google Scholar] [CrossRef]
- Liu, Z.; Graf, K.; Hub, J.; Kellermeier, M. Effects of Cosmetic Emulsions on the Surface Properties of Mongolian Hair. ACS Omega 2022, 7, 10910–10920. [Google Scholar] [CrossRef] [PubMed]
- Calvo, F.; Gómez, J.M.; Alvarez, O.; Ricardez-Sandoval, L. Effect of Emulsification Parameters on the Rheology, Texture, and Physical Stability of Cosmetic Emulsions: A Multiscale Approach. Chem. Eng. Res. Des. 2022, 186, 407–415. [Google Scholar] [CrossRef]
- Ogorzałek, M.; Klimaszewska, E.; Mirowski, M.; Kulawik-Pióro, A.; Tomasiuk, R. Natural or Synthetic Emollients? Physicochemical Properties of Body Oils in Relation to Selected Parameters of Epidermal Barrier Function. Appl. Sci. 2024, 14, 2783. [Google Scholar] [CrossRef]
- Savary, G.; Grisel, M.; Picard, C. Impact of emollients on the spreading properties of cosmetic products: A combined sensory and instrumental characterization. Colloids Surf. B Biointerfaces 2013, 102, 371–378. [Google Scholar] [CrossRef] [PubMed]
- August, S.; Granier, S.; Tighe, M.P.; Tbaily, L.W.; Ahlbom, H. A Clinical Investigation of the Performance and Safety of Epaderm®, an Emollient Cream. Clin. Cosmet. Investig. Dermatol. 2021, 14, 909–920. [Google Scholar] [CrossRef] [PubMed]
- ASTM E1958-22; Standard Guide for Sensory Claim Substantiation. ASTM International: West Conshohocken, PA, USA, 2022.
- Goussard, V.; Aubry, J.-M.; Nardello-Rataj, V. Bio-Based Alternatives to Volatile Silicones: Relationships between Chemical Structure, Physicochemical Properties and Functional Performances. Adv. Colloid Interface Sci. 2022, 304, 102679. [Google Scholar] [CrossRef] [PubMed]
- Ravotti, R.; Fellmann, O.; Lardon, N.; Fischer, L.J.; Stamatiou, A.; Worlitschek, J. Analysis of Bio-Based Fatty Esters PCM’s Thermal Properties and Investigation of Trends in Relation to Chemical Structures. Appl. Sci. 2019, 9, 225. [Google Scholar] [CrossRef]
- Ravotti, R.; Fellmann, O.; Lardon, N.; Fischer, L.J.; Stamatiou, A.; Worlitschek, J. Synthesis and Investigation of Thermal Properties of Highly Pure Carboxylic Fatty Esters to Be Used as PCM. Appl. Sci. 2018, 8, 1069. [Google Scholar] [CrossRef]
- Ravotti, R.; Fellmann, O.; Fischer, L.J.; Worlitschek, J.; Stamatiou, A. Investigation of the Thermal Properties of Diesters from Methanol, 1-Pentanol, and 1-Decanol as Sustainable Phase Change Materials. Materials 2020, 13, 810. [Google Scholar] [CrossRef] [PubMed]
- Tinto, W.F.; Elufioye, T.O.; Roach, J. Waxes. In Pharmacognosy; Elsevier: Amsterdam, The Netherlands, 2017; pp. 443–455. ISBN 9780128020999. [Google Scholar]
- Bucio, A.; Moreno-Tovar, R.; Bucio, L.; Espinosa-Dávila, J.; Anguebes-franceschi, F. Characterization of Beeswax, Candelilla Wax and Paraffin Wax for Coating Cheeses. Coatings 2021, 11, 261. [Google Scholar] [CrossRef]
Disclaimer/Publisher’s Note: The statements, opinions and data contained in all publications are solely those of the individual author(s) and contributor(s) and not of MDPI and/or the editor(s). MDPI and/or the editor(s) disclaim responsibility for any injury to people or property resulting from any ideas, methods, instructions or products referred to in the content. |
© 2025 by the authors. Licensee MDPI, Basel, Switzerland. This article is an open access article distributed under the terms and conditions of the Creative Commons Attribution (CC BY) license (https://creativecommons.org/licenses/by/4.0/).









