Abstract
Hair straighteners are among the most technically complex products to be safely and effectively developed, and this challenge has increased even more with the higher incidence of resistant hair among consumers. This underscores the importance of studying new active ingredients, combinations and carrier formulations to improve performance without compromising safety. In this research, we compared eight hair-straightening formulations with different active ingredients and/or concentrations to develop new, safer and more effective texture modifiers. Eight formulations were developed and compared with each other and to controls (virgin and bleached hair) regarding mechanical and thermal resistance, cuticle morphology, hair shine and fiber diameter. Results showed that all formulations were safe and effective at straightening hair. Specifically, 13.3% and 9.4% ammonium thioglycolate (G03 and G04) were more suitable for wavy and curly hair, 12.5% and 7.9% amino methyl propanol thioglycolate (G05 and G06) for finer or chemically processed hair, 5% and 4% sodium cysteamine (G07 and G08) for curly and tight curly hair to control volume, and 2% and 1% of a combination of ammonium thioglycolate with sodium thioglycolate (G09 and G10) for more resistant wavy and curly hair.
1. Introduction
Hair has been long-considered important for consumers’ self-esteem, and the cosmetics industry has continuously worked to develop products to improve both hair scalp and fiber quality while ensuring they are safe and effective [1]. One of the most critical hair product categories are hair straighteners, a globally used product category that presents technical challenges related to tolerance levels and chemical compatibility when developed and applied to different hair fiber types and conditions. This highlights the importance of studying formulation approaches, including active ingredients and their free concentrations, carrier emulsions, pH ranges, viscosity control polymers and their effects on different hair types and conditions, mainly concerning safety and efficacy [2].
Hair straightener active components are divided into three main groups: lanthionizers, oxiredutors and organic acids. Lanthionizers correspond to hydroxides (sodium, guanidine, lithium and potassium), which convert cystine amino acids into lanthionines on the outermost portion of the hair. Oxireductors are salts or esters of thioglycolic acid. Organic acids (like formaldehyde, glutaraldehyde, glyoxylic acid and their compounds) are prohibited in some countries such as Brazil, as their improper use poses risks to consumers’ and professionals’ health; however, they are still available in some market products [3,4,5].
Relevant research involving combinations of texture-modifying active ingredients and polymeric associations enabled important improvements in active ingredients regarding straightening potential, better safety and hair resistance, and lower fiber wear, highlighting the importance of additional formulation components [6,7,8,9].
In the past decade, there has been a consumer movement to return to natural hair, which has increased the number of individuals with more resistant hair seeking texture modifications. This shift has presented technical challenges for salon professionals who use products with higher concentrations of ammonium thioglycolate. To address these challenges, combinations of ammonium thioglycolate with lower percentages of sodium thioglycolate have been suggested to enhance product penetration into resistant fibers, providing better release kinetics and more effective initial straightening. Although these combinations have not been used before, they have been mentioned in the literature as a technical possibility for improving straightening efficacy [10,11].
Based on the aforementioned considerations, this study evaluates eight hair straightening formulations, each featuring distinct active components, combinations and concentrations, in comparison to control treatments (virgin and bleached hair). The objective was to develop a new generation of hair texture modifiers that are both safer and more effective for use. Additionally, the study identified the most suitable formulations for hair exhibiting varying levels of resistance.
2. Materials and Methods
2.1. Formulations Development
Eight hair-straightening emulsions were developed according to Table 1. Four of these emulsions contained higher concentrations while the remaining four had lower concentrations of the same straighteners for comparison. Formulations’ stability was evaluated over 120 days in accordance with the Brazilian Stability Guideline prior to further testing [12]. Formulations’ specifications including pH ranges (measured by pHmetry) and viscosities (measured using a viscosimeter) are also presented. These parameters are crucial for determining product efficacy and permeation into hair fibers [2].
Table 1.
Hair-straightening formulations and treatment groups.
2.2. Preparation of Hair Locks Samples
Virgin, dark brown, naturally wavy, type 2 hair locks (considered as resistant) with roots’ extremities glued were obtained from De Meo Brothers Inc.® (New York, NY, USA), weighing 3 g and measuring 15 ± 2 cm long (per lock). They were prepared per assay, identified and treated as described in Table 1 (G01 to G10).
All locks samples (G01 to G10) were pre-washed with a 10% sodium lauryl ether sulfate solution at 0.5 mL/g hair, massaged for 1 min, totally rinsed off and completely dried with hot hair drier with 15 cm distance.
For G02 (bleached hair), the locks were pre-washed, completely dried with hot hair drier with 15 cm distance, bleached with commercial bleach and 40 V oxidizing cream according to manufacturer’s instructions with 60 min contact, and again dried with hot hair drier with 15 cm distance.
For G03 to G10 (straightened hair), the locks were pre-washed, dried with hot hair drier with 15 cm distance, then straightener was applied and left in contact for 60 min. After that, hair was completely rinsed with warm water, neutralizing shampoo was applied (0.5 mL/g) and left for 5 min, hair was rinsed with flowing water for 1 min, neutralizing shampoo was reapplied (0.5 mL/g) and left for 5 min, hair was rinsed with flowing water for 1 min, commercial product Complex Balm Neutralizer was applied (0.5 mL/g), massaged on hair for 1 min and left in contact for 15 min. Finally, hair was totally rinsed with flowing water, and locks were dried with hot hair drier with 15 cm distance.
2.3. Hair Diameter Measurement
One hundred fibers per group among triplicate locks were selected for diameter measurement using Mitutoyo® (Kanagawa, Japan) electronic micrometer IP54. Average diameter was compared between groups using variance statistical analysis (ANOVA) with Tukey post-test and a confidence interval of 95% using Minitab® 19.0.
2.4. Scanning Electronic Microscopy
We selected three fibers from one lock per group, which were cut to obtain a 5 cm portion from the central part. These samples were transferred to a sample-holder for sputtering (gold coating) to improve electron conductivity and were subjected to Scanning Electronic Microscopy (SEM) using JSM-6460LV (Jeol®—Tokyo, Japan) microscope to obtain 3 hair surface 1000X zoom images per sample for morphology integrity assessment [13].
Image Analysis of SEM Images
One SEM image per treatment was visually selected for mathematical image analysis of cuticle damage with Image Pro Premier software (Media Cybernetics®—Rockville, MD, USA). The selection was based on program’s requirements to obtain a reliable and coherent analysis, allowing the quantification of the percentage area of the cuticular shadow.
Cuticular shadow area can be related to hair porosity, as large shadow areas indicate greater damage points in hair morphology and more porous hair. The exception to this correlation is when cuticle damage is so extensive that it is removed from hair, causing total cortex exposure. In this situation, the observed %area will be lower than for intact hair [2].
Images were processed with the software to enhance highlighting of hair characteristic; cuticle shadow area was calculated (Pixels2); and %area was determined. The %area corresponds to the area affected by damage (cuticle cell edges’ openings promoted by morphology modification) in relation to the region of interest selected on the microscopy image [2].
We selected 3 fibers per group after treatment and took 3 images per fiber with 1000x zoom. We selected 1 of the 9 images per group for image analysis using visual selection criteria to choose the best image that would allow the most robust assessment by the software.
2.5. Hair Thermal Analysis
Hair fragments from one lock sample per treatment were cut from the central portion of the selected fibers to be weighted in crucibles using a Shimadzu AUW220D analytical balance (Kyoto, Japan). Thermogravimetry/Derived Thermogravimetry (TG/DTG) and Differential Scanning Calorimetry (DSC) analyses were performed as follows.
DSC: Around 2 mg of each hair sample was weighed and placed in pin hole aluminum crucibles (non-hermetic pan for dry analysis) and analyzed with Exstar DSC 7020 Differential Scanning Calorimeter (Hitachi, Tokyo, Japan), with a 25–300 °C heating ramp, 10 °C/min heating rate and inert dynamic atmosphere of nitrogen with 50 mL/min flow. Data were analyzed with TRIOS software version 5.5.1.5 (TA Instruments, New Castle, DE, USA) for hair dehydration (water loss) and denaturation of alpha-helix chains. In this methodology, pyrolysis occurs simultaneously with hair fiber structures’ pyrolysis [14].
TG/DTG: Around 2–5 mg of each hair sample was weighed and placed in to platinum hermetic crucibles and analyzed with TG/DTA Discovery TGA 5500 (TA Instruments, New Castle, DE, USA), with a 25–500 °C heating ramp, 10 °C/min heating rate and inert dynamic atmosphere of nitrogen with 100 mL/min flow. Data were analyzed with TRIOS software version 5.5.1.5 (TA Instruments) for mass loss determination [14].
2.6. Assessment of Hair Loss by Breakage
Treated hair locks were inserted in triplicates into the thermal cycle machine to be combed with rotating brushes while being subjected to a hot hair drier. Brushes passed through each lock 1500 times divided into 3 cycles of 500, with a standardized speed of 25 rpm and fixed drier distance. After each cycle, all fallen hair was manually counted and summed per treatment for comparison.
2.7. Mechanical Resistance
One treated hair lock per group was selected to cut 30 fibers for mechanical resistance assessment using Instron 4505 with 1.0 kgf load cell coupled with tensile grips probe and Tracomp Windows TRC v61288 software for data collection. The claws were positioned 5 cm apart, and the traction speed was set at 50 mm/min. We obtained stress–strain curves and calculated maximum force for each fiber (n = 30). Average force values were obtained, and groups’ data were statistically compared using Minitab 19.0 by ANOVA with Tukey post-test (alpha = 5%) [2].
2.8. Fluorescence Confocal Microscopy
For fluorescence confocal microscopy assessment, rhodamine fluorescent marker was added to the investigational products (hair straighteners) prior to locks’ treatments, aiming to verify/compare products’ penetration into hair fibers. Treatment groups G03 to G10 were divided into 2 subgroups:
- (a)
- “Virgin”: virgin locks were treated as described in Section 2.2 with straightener products (G03 to G10) impregnated with rhodamine.
- (b)
- “Bleached”: locks were previously bleached (as described for group G02 in Section 2.2) and then treated as described in Section 2.2 with straightener products (G03 to G10) impregnated with rhodamine.
All locks samples were kept under standardized environmental conditions during the whole assay, at 50 ± 5% relative humidity and 21 ± 2 °C temperature.
Thirty fibers of each subgroup were selected and cut to 10 cm length and then subjected to cross-sectional cuts with a razor. Cuts were transferred to slides and introduced in the fluorescence confocal microscope LSM 700 (Zeiss®—Oberkochen, Germany) for image capturing.
2.9. Hair Gloss Measurement
Hair gloss (luster values) was assessed in triplicate and at 10 reading points, using Samba Hair equipment (Bossa Nova Technologies®—Culver City, CA, USA), at room temperature (22 ± 2 °C and 55 ± 5% relative humidity). Luster values were calculated according to Equation (1) [15]. Data were statistically compared between groups using Minitab 19.0 by ANOVA with Tukey post-test (alpha = 5%).
where:
LBNT = Bossa Nova Technologies luster;
Sin = specular profile value in central light distribution;
Sout = specular profile value for extreme angle;
D = integral value of the diffuse profile;
Wvisual = average width of brightness band.
3. Results
3.1. Formulations’ Development and Straightening Efficacy
All eight straightening emulsion formulations were successfully developed and were stable during the whole stability assay (120 days) in all experimental environmental conditions (room temperature at 25 °C ± 2 °C, refrigerator at 5 °C ± 2 °C and stove at 45 °C ± 2 °C). Therefore, all of them were selected for further assessments. Table 2 presents the formulations’ obtained pH and viscosity values. All parameters varied within specifications during stability assays.
Table 2.
Formulations’ pH and viscosity values on initial measurements.
Figure 1 shows images of hair tresses after product application for each group.
Figure 1.
Hair tresses after product application per group (in left to right sequence: from G01 to G10).
When visually comparing treatments, we observed that straightening performance was directly proportional to active concentration. This was particularly noticeable in treatments G07 and G08, where the difference is more evident. The highest straightening potential was observed in treatments G03 and G09, while the lowest was found in G06 and G08.
3.2. Hair Diameter Measurement Results
The average hair fiber diameter results per group are presented in Figure 2.
Figure 2.
Hair fiber average diameter per treatment group and time. G01 = virgin hair; G02 = bleached hair; G03 = ammonium thioglycolate 13.3%; G04 = ammonium thioglycolate 9.4%; G05 = AMP thioglycolate 12.5%; G06 = AMP thioglycolate 7.9%; G07 = sodium cysteamine 5%; G08 = sodium cysteamine 4%; G09 = combination of ammonium thioglycolate with sodium thioglycolate 2%; G10 = combination of ammonium thioglycolate with sodium thioglycolate 1%. Groups that do not share a letter are significantly different.
Difference in diameter between times (delta before and after treatment) was calculated per group and in the results are as follows: G01 = 1.36; G02 = −10.18; G03 = 4.08; G04 = 5.07; G05 = 7.61; G06 = 4.06; G07 = 7.10; G08 = 8.47; G09 = 5.50; G10 = 7.39. These results show that only bleaching caused diameter reduction, and all straightening formulations increased diameter (positive delta values).
After statistical ANOVA analysis followed by Tukey post-test, treatments with no statistical difference were gathered under the same grouping letter as follows: variable “a”: G01, G05, G07, G08, G09, G10; variable “b”: G01, G04, G05, G07, G08, G09; variable “c”: G01, G03, G04, G05, G06, G07, G09; and variable “d”: G02. Groups that do not share a letter are significantly different.
3.3. Scanning Electronic Microscopy (SEM) with Image Analysis Results
The SEM technique enables detailed 3D-amplified imaging of hair fibers, allowing us to assess morphological integrity and cuticle damage [2,13]. Table 3 lists the selected fibers and images for each group and the image analysis results (area percentage). Figure 3 shows the analyzed SEM images.
Table 3.
Hair fibers and images selected and SEM image analysis results 1.
Figure 3.
Analyzed SEM images per group.
3.4. Hair Thermal Analysis Results
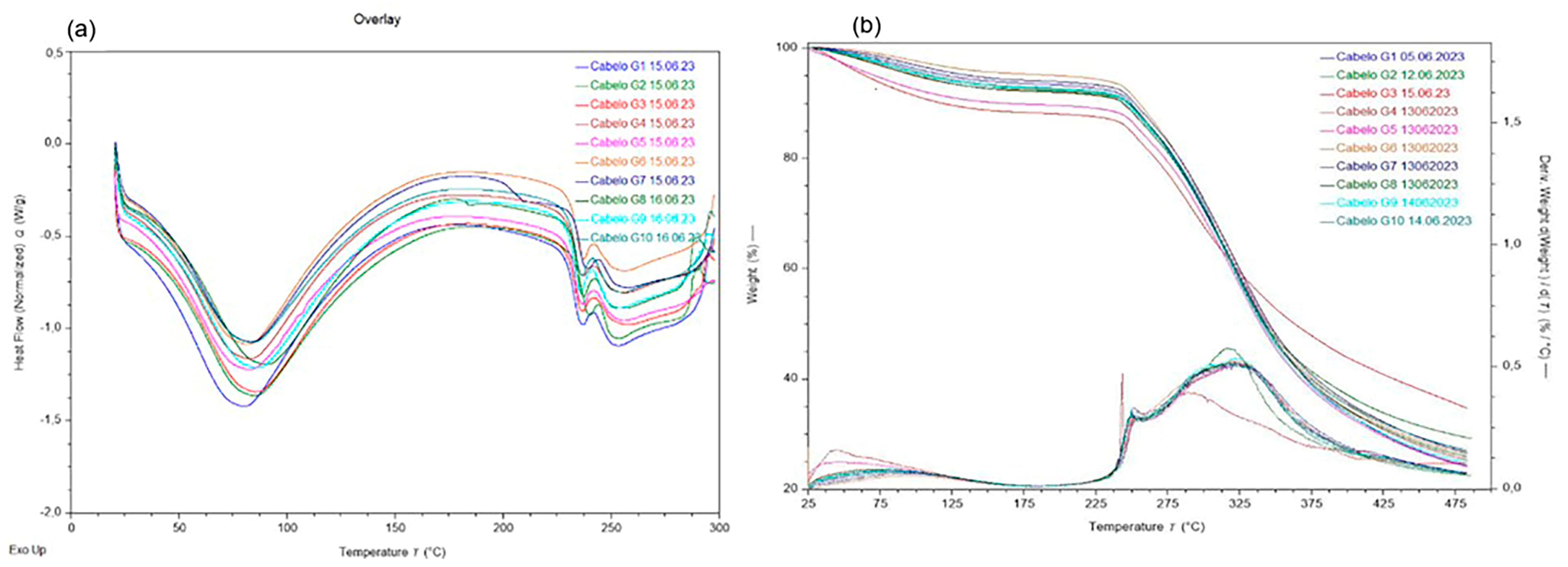
Thermal analysis was used to study samples’ behaviors after being subjected to a controlled temperature program to provide information about the physical–chemical characteristics of each material [14,16,17]. Using the DSC technique, we measure the energy difference between the sample and a reference material as a function of temperature, allowing us to identify specific thermal events.
Ascending peaks correspond to exothermic events and descending peaks to endothermic events. The TG/DTG analysis monitors mass variations as a function of temperature and/or time and provides mass data on mass loss events [14,16,17]. The resulting thermal curves are shown in Figure 4.
Figure 4.
Thermal analysis profiles of the hair samples per treatment group: (a) DSC; (b) TG/DTG.
3.5. Hair Breakage Results
This analysis allows us to verify fragility points on hair fiber by counting the number of broken fibers after standardized cycles of hair combing and drying in a thermal cycling machine [18]. The higher the number of broken fibers, the more damage has been caused to the hair (i.e., more fragile hair). The sum of broken fibers per treatment are as follows: G01 = 99; G02 = 115; G03 = 85; G04 = 70; G05 = 93; G06 = 72; G07 = 67; G08 = 60; G09 = 103; G10 = 96.
When comparing these results, we noticed that bleached hair promoted the highest number of broken fibers, as expected (115 total). Also, some treatments promoted lower breakage than on virgin hair, with G04, G06, G07 and G08 having the lowest (best performance in this assay). Only G09 treatment led to more breakage than for virgin hair.
3.6. Mechanical Resistance Results
A dynamometer was used to measure the force (stress) required to deform hair fiber (strain) until rupture, obtaining a stress–strain curve. A typical hair fiber curve is composed of an elastic/Hookean region (0–2% deformation), a plastic region (2–30%), a post-plastic region (>30% deformation), and a breaking point. In the elastic region, deformation of the fiber increases proportionally with the applied force. In the plastic region, fiber elongation increases significantly without requiring a substantial increase in force. This is caused by the conversion of alpha-keratin to beta-keratin, offering less resistance to applied force. In the post-plastic region, the elongation becomes proportional to tension, with the resistance to deformation caused by the beta-keratin structure. Stretching continues until the fiber reaches the breaking point (fiber rupture) [18].
The average mechanical resistance results (maximum force) per treatment were as follows: G01 = 0.0664; G02 = 0.0520; G03 = 0.0600; G04 = 0.0765; G05 = 0.0799; G06 = 0.0903; G07 = 0.0711; G08 = 0.0615; G09 = 0.0672; G10 = 0.0843. Figure 5 represents the results’ interval graph.
Figure 5.
Mechanical resistance results per treatment—average maximum force values 1. 1 Letters a, b, c and d represent grouping variables of ANOVA analysis with Tukey post-test. Averages that do not share a letter are statistically different.
Letters represent grouping variables of ANOVA analysis with Tukey post-test. Averages that do not share a letter are statistically different. Variable “a”: G01, G04, G05, G06, G07, G08, G10; variable “b”: G01, G05, G06, G07, G08, G09, G10; variable “c”: G03, G05, G06, G07, G09, G10; and variable “d”: G02.
After ANOVA analysis (α = 0.05), G02 (bleached hair) was significantly different than all other groups, demonstrating force reduction, as expected. Hair bleaching knowingly fragilizes the hair fiber cuticle and cortex, thus negatively influencing its mechanical properties [2]. When comparing straighteners to virgin hair (G01), G03 was significantly different, with a lower force, unlike all other treatments. Still, G03 was better than bleached hair.
3.7. Fluorescence Confocal Microscopy Results
Fluorescence analysis was conducted to assess the extent of product penetration into hair fibers. Rhodamine, a fluorescent marker, was added prior to application of the treatment products. The fluorescence observed in the images indicates areas where the product reached after contact with hair. This allowed us to visualize whether each treatment successfully penetrated to the cortex [19]. Products (straighteners) were applied to both virgin and bleached hair to examine the influence of bleaching treatment on hair permeation to straighteners. As all treatments were in contact with hair for the same duration, this analysis enabled us to assess the intensity of product diffusion. Fluorescence microscopy images are listed in Figure 6.
Figure 6.
Fluorescence microscopy images of straightened bleached and virgin hair fibers.
Among the bleached straightened hair locks, no difference in diffusion was observed between treated groups. Differences in product diffusion were observed between groups on virgin hair. Specifically, G05 and G06 showed the lowest penetration, and G09 and G10 exhibited the highest fiber penetration.
3.8. Hair Gloss Results
The assessment of hair gloss (luster) serves as an indicator of cuticle integrity, which affects light reflection. Luster results obtained by Samba Hair equipment per group are described in Figure 7. The average values (G01 to G10) obtained were as follows: 24.52; 2.66; 27.93; 29.32; 29.21; 27.71; 23.91; 29.03; 29.48; 28.02.
Figure 7.
Hair gloss values (average and interval—BNT luster) per treatment group.
In the statistical analysis, G02 luster values were significantly lower than all other groups, as expected due to damage from the treatment process. Compared to virgin hair (G01), G07 showed no statistically significant difference in luster indicating neither improvement nor substantial worsening in hair shine. However, G07 did differ significantly in luster compared to all other groups. Overall, all straightened hair groups, except G07, showed significantly improved shine compared to virgin hair.
4. Discussion
In this study, we developed hair straighteners with different active ingredients for evaluation. Each selected active ingredient was incorporated into a cosmetic emulsion with a standardized polymeric association to enhance performance.
Ammonium thioglycolate has been widely used as hair straightener since 1932, and formulations with this active ingredient have been progressively improving over time. While olfactory discomfort during application was once considered an issue, it has improved considerably over the last decade. New research on polymeric associations combined with active fiber modifiers has also allowed significant improvement in ammonium thioglycolate’s performance regarding straightening potential, reducing mechanical resistance loss and improving compatibility with colored hair by lowering oxidation levels [3,20].
Amino methyl propanol (AMP) thioglycolate, patented as BR 10 2013 017,342 8–INPI, is an option for reshaping and texturizing hair that has already undergone chemical processing, such as in cases of hair transitioning. AMP thioglycolate operates within lower pH ranges, resulting in a reduced cuticle dilation and minimal permeation, making it gentler and more suitable for fine and more sensitive hair. On the other hand, it is less effective in resistant hair [2,20].
Sodium cysteamine, patented as BR 102022004790-1, is a straightening agent designed to modify the texture of curly and tight curly hair. It is formed by the combination of L-cystine (weak acid) with sodium hydroxide (strong base) with a pH range of 11.00–12.50 due to the base strength predominance in its reaction [3,20].
The combination of ammonium thioglycolate with lower percentages of sodium thioglycolate was designed to enhance permeation into more resistant hair, which exhibits higher release kinetics and more intense effects during the beginning of the straightening process. While this specific association is novel in practice, it has been mentioned in literature [10].
All formulations have been assessed and proved to be safe and effective for hair straightening, with different behaviors concerning some assessed parameters, and differences in straightening performance. These differences are the basis of decisions about applications directed to different hair types/conditions.
Average diameter may reflect product deposition and/or hair swelling, and a correlation between the diameter, the level of chemical interference of the proposed formulas and their concentrations was determined. This parameter tends to directly correlate with hair mechanical resistance: the larger the diameter, the greater the hair tensile strength [2,21]. Among all groups, bleached hair presented the smallest diameter with a statistically significant difference compared to all other groups (p > 0.05). Also, bleached hair caused a significant decrease in hair strength after stress–strain assessment, and fluorescence microscopy showed that it drastically increased hair permeation. This was expected and corroborates findings in the literature, as bleaching fragilizes hair and wears the cuticle [3]. Discoloration can modify around 20% of hair fiber structure, compromising up to 45% of the mechanical resistance, associated with the denaturation of the sulfur bridges of the external structure (cuticle layers), increasing the permeation of cosmetics [3]. When comparing straightened to virgin hair (G01), there was no statistically significant difference for any of the treatments, with some showing a slight increase in average diameter (mainly G08 and G10).
Hair diameter results can be correlated with hair force results, as a higher diameter value tends to increase force. Concerning mechanical properties’ assessment among straighteners, G03 promoted the highest damage to hair fiber (force reduction). As in diameter assessment, hair force (tensile strength) can also be correlated to the polymeric association added to the formulations, which can be used to control active liberation kinetics [22,23,24].
Results concerning hair loss by breakage also corroborate hair diameter and force results. In this assay, we can highlight the good performances of G04, G06 and G08, all of which had lower concentrations of active ingredients, thus evidencing a smoother active force and the exceeding polymeric association in formulations, which protected the hair.
Hair morphology, cuticle damage and porosity were assessed using SEM combined with image analysis. The cuticle shadow area in image analysis can be related to hair porosity: the larger the cuticle shadow area, the larger the damage points observed in hair tress morphology and, consequently, the more porous the hair. The exception to this condition occurs when the damage to the cuticle is so extensive that it is removed from the hair, causing total cortex exposure. In this case, the percentage area observed will be lower than that of intact hair [2]. This assay allows us to analyze the hair surface damage level by evaluating the sum of the area occupied by the openings at the edges of the cuticular cells, caused by the morphological change due to chemical procedures, also simulating the potential for contraction and reorganization of the hair structure, indirectly determining the level of damage for each group [2]. The SEM images were selected for image analysis based on software’s requirements to achieve a more robust and coherent analysis concerning visual morphology.
After analyzing SEM images, we observed good surface uniformity with more preserved cuticles for virgin hair. However, some porosity was observed in G01 probably due to pre-washing with sodium laurate sulfate. Bleached hair (G02), as expected, presented intense wear and lixiviation of cuticle layer, corroborating diameter and mechanical resistance findings. In addition, no significant alterations were observed for hair straightener groups, with porosity values occurring in accordance with literature [3]. This demonstrated that all formulations reached an adequate balance level for hair shape and texture modification without excessive damage.
The lowest porosity results were found in groups with higher active ingredient concentrations such as G03 and G05 (ammonium thioglycolate and amino methyl propanol thioglycolate). This may be explained by a better polymeric coverage in these formulations, which might contribute to controlled release kinetics of these active ingredients. On the other hand, other groups with high active ingredient concentrations presented the highest porosity values, such as G07 (sodium cysteamine) and G09 (combination of ammonium thioglycolate and sodium thioglycolate). For G07 and G09, slightly higher porosity was expected, as these active ingredients are known to promote greater hair permeation and hair structure modification induction. A more pronounced difference in cuticle wear is expected for more alkaline straighteners (sodium cysteamine and hydroxides) and oxidizing agents (thioglycolic acid salts and esters) [3].
Another parameter that reflects cuticle integrity is hair gloss/luster, which was measured with Samba Hair [25]. In our findings, we observed that straightened hair samples, except for G07, showed significantly improved luster compared to virgin hair. This result supports the findings of Bloch and coworkers in 2021, in which hair straightened with ammonium thioglycolate demonstrated better hair shine results after sensory analysis by trained panelists compared to virgin hair. The authors concluded that this improvement could be attributed to the greater alignment of fibers after straightening, enhancing light reflection [26]. Goshiyama (2019) also evaluated hair luster by Samba Hair of locks straightened at different acid pH values (pH 1.00 and pH 2.00), comparing them to each other and to virgin hair, and concluded that “the higher the shine, the more aligned the thread”. The author also mentioned the interference of different shades and curl level on this parameter [27].
As for the thermal analysis results for DSC (dry methodology—pin hole crucible), all samples exhibited similar thermal profiles composed of three endothermic events: water loss between 30 °C and 160 °C, denaturation and pyrolysis of intermediate keratin fibers between 229 °C and 236 °C. In the DSC curves, we also observed a third peak around 250 °C for all samples. Wortmann and Deutz (1998) attributed this peak to ortho-cortex cells, which have lower melting temperature than the para-cortex. This difference may be due to the varying cysteine contents and disulfate bonds between these cortex cell types: ortho-cortex cells have a lower number of disulfate bonds than para-cortex cells [28]. Our findings also support the work of Popescu and Gummer (2016), who reported that keratin fibers present a typical endothermic peak around 230 °C, which was attributed to thermal denaturation of the keratin alpha-helixes [29].
When analyzing our Dry-DSC results comparing treatments, we observed that thermal denaturation peaks for G02 and G07 occurred at higher temperatures than G01—increasing from 235 °C to 239 and 238 °C, respectively. Other straighteners behaved similarly to G01. This suggests that G02 and G07 produced more significant alteration in the organization of intermediate fibers. Wortmann and coworkers (2020) attribute an increase in hair denaturation temperature to a reorganization of organic chains after denaturation and the reduction in denaturation enthalpy to the disorganization of the keratin structure after bleaching [30]. We could also attribute this result to the considerable difference in pH range for sodium cysteamine (G07 and G08—pH around 4 points more alkaline), which increases its protein-denaturing capacity. These endothermal events for sodium cysteamine suggest a greater potential for hair structure modification, indicating the beginning of the transformation of crystalline proteins into amorphous and more flexible forms, with a reduction in peripheral disulfate bonds. From a practical marketing perspective, this implies less need for thermal interferences (such as hair dryers and ironing) in procedures that aim to modify hair texture with this active ingredient.
For the TG results, we observed that all samples presented thermogravimetric profiles typical of hair samples, with three thermal events:
- First event (peak 1): water loss at 50–150 °C;
- Second event (peaks 2 and 3): onset of matrix pyrolysis and disorganization of the keratin structure at 250–350 °C;
- Third event (peak 4): degradation of keratin’s carbon structure until 500 °C.
These findings support the findings in the literature. Monteiro and coworkers (2005) tested virgin hair and observed a first mass loss event at 25–131 °C attributed to water liberation, a second and a third mass loss event attributed to keratin denaturation with degradation of macrofibrils and matrices at 280–350 °C, and an event attributed to total degradation of hair keratin carbonic chains at 350–550 °C. The authors also observed different behavior for bleached hair, with complete protein degradation at higher temperatures [31]. Lima (2016) compared thermal events of Caucasian, Asian and Afro-ethnic hair and observed three thermal events: a water loss event at lower temperatures (25–200 °C for Caucasian hair; 25–195 °C for Asian; and 25–170 °C for Afro-ethnic hair); a thermal keratin degradation/decomposition at intermediate temperatures (200–460 °C, 200–460 °C and 170–432 °C, respectively, for Caucasian, Asian and Afro-ethnic hair); and a complete degradation of keratin carbonic chains event (460–690 °C, 460–685 °C and 432–650 °C, respectively, for Caucasian, Asian and Afro-ethnic hair) [14].
In our work, when comparing mass loss temperatures between treatments, there was a significant difference between G01 (virgin hair) and G02 (bleached hair) concerning degradation events (specifically peak 3), which corroborates findings from Monteiro and coworkers (2005). According to the authors, damage to Caucasian hair causes a reduction in the number of mass loss stages, which is compatible with the DTG peak softening in degradation onset of G02 compared to G01. Also for G02, degradation occurred at a lower temperature (317 °C) than G01 (329.3 °C), indicating hair damage [31]. Regarding straighteners, most samples behaved similarly in terms of degradation events (peak 3), except for G03 and G07. Only G03 presented a degradation peak (peak 3) lower than G02, with a 47.1% mass loss at 294 °C for G03 versus a 54.5% mass loss at 317 °C for G02.
The lowest observed mass loss and consequently largest residue at the end of the assay were groups G02 and G03, likely due to the complex hair cortical and cuticular structures. Treatments may have caused a reduction in cuticle, matrix or other components, which contributed to the lower mass loss in degradation events (peaks 2 and 3), leading to a greater residue after 500 °C [2].
G03 and G05 presented the highest mass loss percentages due to evaporation under lower temperatures (11.8% at 43 °C and 10.8% at 49 °C, respectively), which could be considered proportional to their strength in dilating cuticle and facilitating permeability of thioglycolic acid. They also reduced onset temperature of mass loss by dehydration, which could be attributed to increased fiber porosity given by these dilators. This may result in a greater potential for hair dryness after straightening, highlighting the need for additional products for hair maintenance such as shampoos, conditioners and modelling products to compensate for this increased water loss [2].
All performed assessments highlighted damages and structure alterations caused by bleaching to fiber, and fluorescence microscopy reinforced this fact, as expected. Bleaching makes hair more permeable to substances, as observed in the bleached groups for all treatments. This pre-treatment significantly increased permeability of all straighteners compared to virgin hair. When comparing straighteners on virgin hair regarding permeation in cortex by fluorescence microscopy we observed that the following:
- G03 permeated slightly more than G04, which was favored by the higher pH range and higher ammonium hydroxide (dilator) concentration.
- G05 and G06 penetrated the least among all treatments and had a very smooth action, which was expected, as they act at the lowest pH values (7.5–8.5) and their dilator (amino methyl propanol) is softer.
- When comparing G07 and G08, G07 permeated more, which could be attributed to the difference in active ingredients available in free form as well as a difference in active ingredient’s release kinetics due to the polymeric associations.
- G09 permeated slightly more than G10, which was probably favored by the increased pH range and higher amount of the dilator ammonium hydroxide. In these groups, sodium thioglycolate acted as a permeation accelerator and increased the liberation kinetics of the reductor active—thioglycolic acid.
Based on all obtained results, we can infer that all assessed straighteners proved to be safe and effective on wavy hair. Each formulation showed optimal performance for specific hair condition.
Ammonium thioglycolate (G03 and G04) presented good straightening potential and permeability as shown in fluorescence microscopy. The formulations were well-balanced in their proportion of active ingredient concentrations and are suitable for type 2 hair with marked waves [2,5].
Amino methyl propanol thioglycolate (G05 and G06) showed a milder straightening effect compared to other groups, remained effective and induced the least alterations to the hair fiber. Therefore, these formulations are best suited for finer type 2, hair oxidized with 30 or 40 volumes (9% or 12% H2O2, respectively) or chemically processed hair [2].
Sodium cysteamine (G07 and G08) proved to be ideal for more rigid structures with more need of modifications on external structures, such as in hair types 3 and 4 (curly and tight curly hair). The observed anticipation of thermal events in DSC along with increased diameter and resistance, luster improvement and improved structural flexibility (resulting in reduced breakage) suggest that these formulations are best suited for these hair types [11].
The combination of ammonium and sodium thioglycolates (G09 and G10) led to stable and safe results with well-controlled straightening strength, mainly for G09, which presented greater straightening efficacy. This combination is most appropriate for type 2 hair with average to thick textures, higher resistance and more pronounced waves [2,11].
5. Conclusions
In conclusion, developing safe and effective hair straighteners is a significant challenge for the cosmetic industry, as these products must modify hair texture with minimal damage. Given the diversity in hair types, each with unique resistance levels and responses to straighteners, there is a need for products with varied kinetics, behavior, and intensity. This study successfully developed texture-modifying formulations with different active ingredient combinations, each tailored to specific hair types and conditions, and all of which demonstrated safety, low damage potential, and efficacy.
The results indicate that ammonium thioglycolate (G03 and G04) is well-suited for type 2 wavy hair, while amino methyl propanol thioglycolate (G05 and G06) is optimal for finer type 2 wavy hair and chemically processed hair. Sodium cysteamine (G07 and G08) is ideal for tight curly (Type 4) and curly (Type 3) hair, and the combination of ammonium thioglycolate with sodium thioglycolate (G09 and G10) is best suited for type 2 wavy hair with medium-to-coarse textures with higher resistance and pronounced waves.
Furthermore, the results underscore the importance of polymeric associations in the preparation of emulsions, which played a decisive role in achieving the ideal viscosity and controlled release kinetics of the active ingredients. These findings contribute to the development of targeted, safe, and effective hair straighteners for diverse hair types, meeting the industry’s demand for products with specialized performance.
Author Contributions
Conceptualization, C.M.J. and C.M.C.; methodology, C.M.J., F.D.S., C.C.L. and U.S.A.; Validation, C.M.J. and C.C.L.; formal analysis, C.M.J. and F.D.S.; investigation, C.M.J., M.H.V. and É.S.P.C.; resources, C.M.J.; data curation, C.M.J., F.D.S., C.C.L. and U.S.A.; writing—original draft preparation, C.M.J. and F.D.S.; writing—review and editing, all authors; visualization, C.M.J.; supervision, C.M.C. and C.C.L.; project administration and funding acquisition, C.M.J. All authors have read and agreed to the published version of the manuscript.
Funding
This research received no external funding.
Institutional Review Board Statement
Not applicable.
Informed Consent Statement
Not applicable.
Data Availability Statement
The raw data supporting the conclusions of this article will be made available by the authors on request.
Acknowledgments
The authors acknowledge Grandha Professional Hair Care (Brazil) for donating materials and resources for this research work; the IPclin Group—Integrated Clinical Research Institute Ltd. (Brazil)–and DEINFAR—Pharmacotechnical development and innovation laboratory—University of São Paulo (Brazil)–for helping to conduct part of the assays; and the National Council for Scientific and Technological Development (CNPq) for the productivity fellowship level 2, 306009/2022-6 (C.M.C.)
Conflicts of Interest
The authors declare no conflicts of interest.
References
- Fink, B.; Hufschmidt, C.; Hirn, T.; Will, S.; McKelvey, G.; Lankhof, J. Age, health and attractiveness perception of virtual (rendered) human hair. Front. Psychol. 2016, 7, 1893. [Google Scholar] [CrossRef] [PubMed]
- Junior, C.M. Desenvolvimento de uma Nova Geração de Produtos para Alisamento Capilar Contendo Diferentes Associações de Ingredientes Ativos. Ph.D. Thesis, Universidade Estadual Paulista, Faculdade de Ciências Farmacêuticas, Araraquara, Brazil, 2024. [Google Scholar]
- Robbins, C.R. Chemical and Physical Behavior of Human Hair, 5th ed.; Springer: Berlin/Heidelberg, Germany, 2012. [Google Scholar]
- Colenci, A.V. Degradação do Cabelo Humano Causada Pelo uso de Alisantes Contemporâneos e Outros Processos Químicos. Ph.D. Thesis, Centro de Ciências Exatas e de Tecnologia, Universidade Federal de São Carlos, São Carlos, Brazil, 2017. [Google Scholar]
- Barreto, T.; Weffort, F.; Frattini, S.; Pinto, G.; Damasco, P.; Melo, D. Straight to the point: What do we know so far on hair straightening? Ski. Appendage Disord. 2021, 7, 265–271. [Google Scholar] [CrossRef] [PubMed]
- De Labbey, A. Composicion Cosmetica Reductora para la Deformación Permanente de los Cabellos, a Base de un Éster de Ácido Tioglicólico y de N-acil (C2-C4) Cisteamina y su Procedimiento de Realización. Spain Patent ES 2 057 791, 7 August 1991. [Google Scholar]
- De Labbey, A.Y.; Pataut, F. Composición Reductora que Comprende un Ácido Aminado Básico y un Polímero Catiónico. Spain Patent 2 116 132, 31 July 1996. [Google Scholar]
- Johnson, B.; Fournier, C.; Carsten, D.; Lavinaro, G.; Puthenmadom, D. Long-Lasting Care and Protection for Damaged Hair Help Restore Hair’s Hydrophobic State Featured DOWSILTM Brand Silicones; Dow: Midland, MI, USA, 2018; p. 7081. [Google Scholar]
- Neill, P.; Brandt, L.; Walling, P.; Nandagiri, A.; Meltzer, N. Composición de Ondulación Permanente y Procedimiento. Spain Patent 2 204 928, 16 August 1995. [Google Scholar]
- Leonardi, G.R.; Elias, V.R.S. Cosmetologia e Empreendedorismo: Perspectivas para a Criação de Novos Negócios; Editora Pharmabooks: São Paulo, Brazil, 2015. [Google Scholar]
- Quadflieg, J.M. Fundamental Properties of Afro-American Hair as Related to Their Straightening/Relaxing Behaviour. Ph.D. Thesis, Fakultät für Mathematik, Informatik und Naturwissenschaften der Rheinisch-Westfälischen Technischen Hochschule Aachen, Dortmund, Germany, 2003. [Google Scholar]
- National Health Surveillance Agency (ANVISA). Guia de Estabilidade de Produtos Cosméticos, 1st ed.; Série Qualidade em Cosméticos; ANVISA: Brasília, Brazil, 2004; 54p, ISBN 85-88233-15-0.
- Velasco, M.V.R.; De Sá Dias, T.C.; De Freitas, A.Z.; Júnior, N.D.V.; Pinto, C.A.S.O.; Kaneko, T.M.; Baby, A.R. Hair fiber characteristics and methods to evaluate hair physical and mechanical properties. Braz. J. Pharm. Sci. 2009, 45, 153–162. [Google Scholar] [CrossRef]
- Lima, C.R.R.C. Caracterização Físico-Química e Analítica de Fibras Capilares e Ingredientes Cosméticos para Proteção. Ph.D. Thesis, Faculdade de Ciências Farmacêuticas, Universidade de São Paulo, São Paulo, Brazil, 2016. [Google Scholar]
- Bossa Nova Vision. Samba Hair: Hair Shine Measurements for Claims and Research. Bossa Nova Vision: Los Angeles. Available online: https://www.bossanovavision.com/homepage/cosmetic-testing/samba-hair/ (accessed on 7 June 2023).
- Bretzke, P.E. Caracterizacão e Disponibilidade Biológica In Vitro e Ex Vivo de Argilominerais Utilizados como Insumos Farmacêuticos e Cosméticos. Master’s Thesis, Universidade do Vale do Itajaí (UNIVALI), Itajaí, Brazil, 2015. [Google Scholar]
- Lima, C.R.R.C.; Lima, R.J.S.; Bandeira, A.C.C.; Couto, R.A.A.; Velasco, M.V.R.; Bordallo, H.N.; Oliveira, C.L.P. Alterations promoted by acid straightening and/or bleaching in hair microstructures. J. Appl. Crystallogr. 2023, 56, 1002–1014. [Google Scholar] [CrossRef] [PubMed]
- Damazio, M.G.; De Makino, R.F.L. Terapia Capilar: Uma Abordagem Inter e Multidisciplinar, 1st ed.; RED Publicações: São Paulo, Brazil, 2017. [Google Scholar]
- Lourenço, C.B.; Fava, A.L.M.; dos Santos, M.; de Macedo, L.M.; Tundisi, L.L.; Ataide, J.A.; Mazzola, P.G. Brief descriptions of the principles of prominent methods used to study the penetration of materials into human hair and a review of examples of their use. Int. J. Cosmet. Sci. 2021, 43, 113–122. [Google Scholar] [CrossRef]
- Frangie, C.M.; Botero, A.R.; Hennessey, C.; Lees, M. Milady Standard Cosmetology, 12th ed.; Cengage Learning: Clifton Park, NY, USA, 2012. [Google Scholar]
- Fellows, A.P.; Casford, M.T.L.; Davies, P.B. Nanoscale Molecular Characterization of Hair Cuticle Cells Using Integrated Atomic Force Microscopy–Infrared Laser Spectroscopy. Appl. Spectrosc. 2020, 74, 1540–1550. [Google Scholar] [CrossRef] [PubMed]
- Wang, L.; Chen, L.; Han, L.; Lian, G. Kinetics and Equilibrium of Solute Diffusion into Human Hair. Ann. Biomed. Eng. 2012, 40, 2719–2726. [Google Scholar] [CrossRef] [PubMed]
- Wortmann, F.J.; Hardie, K.; Schellenberg, N.; Jones, C.; Wortmann, G.; Zur Wiesche, E.S. pH-equilibration of human hair: Kinetics and pH-dependence of the partition ratios for H+ − and OH− -ions based on a Freundlich isotherm. Biophys. Chem. 2023, 297, 107010. [Google Scholar] [CrossRef] [PubMed]
- Wortmann, F.J.; Popescu, C.; Sendelbach, G. Effects of reduction on the denaturation kinetics of human hair. Biopolymers 2008, 89, 600–605. [Google Scholar] [CrossRef]
- Gao, T.; Pereira, A.; Zhu, S. Study of hair shine and hair surface smoothness. J. Cosmet. Sci. 2009, 60, 187–197. [Google Scholar] [CrossRef]
- Bloch, L.D.; Valente, N.Y.S.; Escudeiro, C.C.; Sarruf, F.D.; Velasco, M.V.R. Chemical and physical damage affect the perceptions of hair attributes: A quantitative sensory assessment by a trained panel. J. Sens. Stud. 2021, 36, 12621. [Google Scholar] [CrossRef]
- Goshima, A.M. Avaliação das Propriedades das Fibras Capilares Tratadas com Alisante Ácido com Diferentes Valores de pH. Master’s Thesis, Faculdade de Ciências Farmacêuticas, Universidade de São Paulo, São Paulo, Brazil, 2019. [Google Scholar]
- Wortmann, F.J.; Deutz, H. Thermal-analysis of ortho-cortical and para-cortical cells isolated from wool fibers. J. Appl. Polym. Sci. 1998, 68, 1991–1995. [Google Scholar] [CrossRef]
- Popescu, C.; Gummer, C. DSC of human hair: A tool for claim support or incorrect data analysis? Int. J. Cosmet. Sci. 2016, 38, 433–439. [Google Scholar] [CrossRef] [PubMed]
- Wortmann, F.J.; Wortmann, G.; Popescu, C. Linear and nonlinear relations between DSC parameters and elastic moduli for chemically and thermally treated human hair. J. Therm. Anal. Calorim. 2020, 140, 2171–2178. [Google Scholar] [CrossRef]
- Monteiro, V.F.; Maciel, A.P.; Longo, E. Thermal analysis of caucasian human hair. J. Therm. Anal. Calorim. 2005, 79, 289–293. [Google Scholar] [CrossRef]
Disclaimer/Publisher’s Note: The statements, opinions and data contained in all publications are solely those of the individual author(s) and contributor(s) and not of MDPI and/or the editor(s). MDPI and/or the editor(s) disclaim responsibility for any injury to people or property resulting from any ideas, methods, instructions or products referred to in the content. |
© 2024 by the authors. Licensee MDPI, Basel, Switzerland. This article is an open access article distributed under the terms and conditions of the Creative Commons Attribution (CC BY) license (https://creativecommons.org/licenses/by/4.0/).






